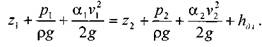
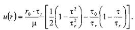
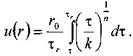
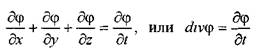
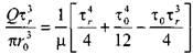
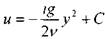
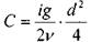
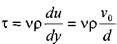
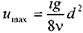
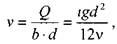
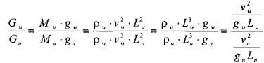
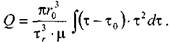
принятых обозначений:
![]()
9.4. Методы предотвращения негативных явлений гидравлического удара и его использование
Резкое увеличение давления, сопровождающее гидравлический удар - явление крайне негативное, т. к. гидравлический удар может разрушить трубопровод или какие-либо элементы гидравлических машин, испытывающие эффекты гидравлического удара. По этой причине разрабатываются методы предотвращения гидравлических ударов или уменьшить его негативное влияние. Поскольку мощность гидравлического удара напрямую зависит от массы движущийся жидкости, то для предотвращения гидравлического удара следует максимально уменьшить массу жидкости, которая будет участвовать в гидравлическом ударе. Для этого необходимо запорную арматуру монтировать в непосредственной близости к резервуару. В качестве меры уменьшения негативных последствий гидравлического удара используют замену прямого гидравлического удара на непрямой. Для этого достаточно запорную арматуру на напорных трубопроводах сделать медленно закрывающейся, что позволит уменьшить силу удара. Другой мерой борьбы с явлением гидравлического удара является установка на напорных линиях, работающих в условиях
циклической нагрузки специальных компенсаторов с воздушной подушкой, которая принимает на себя удар
Однако в ряде случаев явление гидравлического удара успешно используется. К таким случаям использования гидравлического удара относятся производственные процессы по разрушению материалов и др. Известна специальная конструкция водоподъёмника, базирующаяся на использовании гидравлического удара.
10. Движкние газа по трубам 10.1. Основные положения и задачи
Основной отличительной особенностью движения газа по трубам от движения капельных жидкостей заключается в том, что капельные жидкости характеризуются весьма малой сжимаемостью, а их вязкость практически не зависит от давления. По этой причине для решения большинства практических задач капельные жидкости можно считать не сжимаемыми, что позволяет значительно упростить уравнения движения такой жидкости. При движении газа таких допущений делать нельзя. Поскольку изучение общих решений уравнений газодинамики не является предметом настоящего курса, рассмотрим лишь частные задачи, встречающиеся в практике работы специалистов горных отраслей промышленности. К числу таких первоочередных задач относится изучение движения газов, включая воздух по газопроводам (воздуховодам).
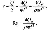
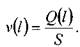
Газ двигается по газопроводу при переменном давлении, т. к. давление изменяется вдоль длины газопровода из-за неизбежных потерь напора по длине трубопровода. По этой причине плотность газа и его вязкость являются величинами переменными и неодинаковы в различных сечениях газопровода. Рассмотрим наиболее простой случай газопровода (воздуховода) собранного из труб одинакового диаметра (простой газопровод S = const) при установившемся движении газа. Тогда в соответствии с уравнением неразрывности потока газа массовый расход газа вдоль газопровода является величиной постоянной
= const. При этом объёмный расход газа будет меняться от одного сечения газопровода к другому, т. к. плотность газа зависит от давления, которое по длине газопровода меняется.
![]()
Тогда скорость движения газа также будет меняться вдоль длины газопровода:
![]()
При этом должна изменяться и температура газа по длине газопровода, и, как следствие, также и вязкость газа. Однако для решения практических задач движение газа по трубопроводу можно считать изотермическим (небольшие скорости движения, теплоизоляция газопровода, небольшие перепады давления). Это допущение не приведет к серьёзным погрешностям в расчётах, но оно позволяет пренебречь изменением вязкости газа при незначительных колебаниях температуры газа в газопроводе. Т. е. полагаем, что в газопроводе соблюдается условие: Т = const и
= const. При таких условиях будет посто-
янным для всего потока и число Рейнольдса, и как следствие будут одинаковым коэффициенты трения и гидравлических сопротивлений по длине потока.

Отметим, что в последнем выражении все величины, входящие в правую часть равенства являются величинами постоянными, отсюда: Re = const и /I = const. По этой причине для определения величины потерь напора и расхода газа можно воспользоваться обычным уравнением Бернулли.
i %
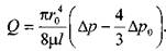
10.2. Основные уравнения газодинамики для установившегося движения газа в простом газопроводе
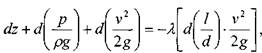
Запишем уравнение Бернулли в дифференциальной форме:

![]()
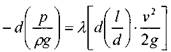
Последний член уравнения весь мал и его величиной можно пренебречь, тогда для горизонтального газопровода (z = const) можно записать:

Подставив в последнее уравнение значение средней скорости движения газа, выразив её через массовый расход, получим:
![]()
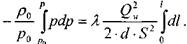
По принятым выше условиям процесс движения газа по газопроводу является изотермическим, тогда подставив в последнее уравнение значение
из уравнения Бойля-Мариотта:
, получим:

Решая последнее уравнение, получим основные расчётные формулу для определения потерь давления в газопроводе и формулу для определения массового расхода газа в газопроводе.
>
.я
Величина коэффициента трения Л определяется по формулам для жидкости в зависимости от режима её движения или же можно воспользоваться эмпирической формулой ВННИИГаза:
* ^
*
где d- диаметр газопровода в сантиметрах.
11. Безнапорное движение жидкости
При безнапорном движении жидкости часть периметра живого сечения потока жидкости ограничивается газовой средой, давление в которой равно атмосферному давлению. Типов безнапорных потоков достаточно много, это и безнапорное движение жидкости в трубах, и потоки жидкости в открытых руслах, и т. д. Тем не менее, несмотря на разнообразие таких потоков, с точки зрения гидравлики их можно разделить на установившиеся потоки с равномерным движением жидкости и неустановившиеся потоки, часто называемые быстротоками. Наибольший интерес для нас играют потоки первой группы, с которыми чаще всего приходится встречаться специалистам горной промышленности. Быстротоки, как правило, являются предметом изучения для специальных дисциплин гидротехнического профиля. Поскольку установившиеся потоки жидкости, независимо от их вида совершенно одинаковы, то расчёты параметров таких потоков общие и могут быть продемонстрированы на простом примере.
11.1. Классификация безнапорных потоков
Прежде всего, следует отметить, что сколь-нибудь совершенной и законченной классификации безнапорных потоков отвечающей их многообразию не существует, попытаемся выделить некоторые типы потоков по их основным признакам.
На начальной стадии разделим все потоки по их происхождению на две группы: естественные (природные) и искусственные (созданные человеком). К потокам первой группы будут относиться все реки и другие природные русла, отличающиеся от рек чаще всего лишь по названию, а не по своей сути.
Аналогичные две группы потоков можно выделить и по роли и назначению потоков: потоки жидкости, используемые как средство транспорта (естественные русла - реки и искусственные русла - каналы) и потоки жидкости как средство транспорта самой же жидкости (водоводы и др. гидротехнические сооружения).
Безнапорные потоки также можно разделить на заглублённые и наземные. К категории заглублённых относятся все виды безнапорных трубопроводов. Среди безнапорных трубопроводов можно выделить трубопроводы из стальных, бетонных, асбоцементных и другого типа труб; по сечению безнапорные трубопроводы можно разделить на круглые,
некруглые и трубопроводы специального сечения.
Среди наземных безнапорных потоков можно вы
делить гидротехнические системы, сооружаемые из
готовых элементов, когда водовод монтируется на трассе и обсаживаемые. При сооружении последних, как правило, предварительно сооружается земляное русло бедующего водовода (траншея, канава и др.), после чего такое русло обсаживается водоизоляционным материалом во избежание потерь при инфильтрации жидкости в почву. Наиболее часто встечающимися формами сечения таких водоводов являются водоводы трапециевидного (1), треугольного (2) и, реже всего, прямоугольного форм сечения (3).
Подавляющее число наземных потоков являются открытыми, т. е. сообщаются с атмосферой, однако, в тех случаях, когда необходимо предотвратить потери транспортируемой жидкости от испарения (в странах с жарким климатом), водоводы перекрывают. В ряде случаев водоводы монтируются над поверхностью земли на специальных опорах и мостовых переходах, создавая тем самым акведуки.
И, наконец, можно разделить безнапорные потоки на постоянно действующие и работающие в сезонном режиме.
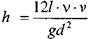
11.2. Основные методы гидравлического расчёта безнапорных потоков Равномерное движение жидкости в безнапорном потоке поддерживается за счёт разницы в уровне свободной поверхности между начальным и конечным живыми сечениями потока. Чтобы движение жидкости в потоке было равномерным, должны быть выполнены следующие необходимые условия:
живые сечения потока вдоль всего русла должны быть одинаковыми как по размеру, так и по форме,
уровень свободной поверхности жидкости должен быть параллелен профилю дна русла,
шероховатость стенок русла должна быть одинакова по всей длине русла. При выполнении этих условий гидравлический расчёт сводится в основном к определению расхода в потоке жидкости, а также некоторых параметров потока.
Выделим в потоке жидкости двумя живыми сечениями (1-1 и отсек потока длиной /. Центры тяжести сечений будут находиться соответственно на уровнях
и
от произвольно выбранной плоскости сравне
ния О - О и на глубинах соответственно
и
под уровнем свободной поверхности жидкости. Тогда запишем уравнение Бернулли для этих двух сечений потока.

Поскольку по условиям равномерности потока
и
, то уравнение
Бернулли примет вид:
t
?
где:![]()
- потери напора по длине отсека потока /. Согласно известному уравнению Шези средняя скорость в живом сечении потока:
![]()
![]()
Величина скоростного коэффициента Шези С определяется по экспериментальной формуле Маннинга:
![]()
где: п - величина шероховатости стенок русла. Или по формуле Павловского:
![]()
где:
при![]()
при
11.3. Движение жидкости в безнапорных (самотёчных) трубопроводах
Безнапорные самотёчные трубопроводы прокладываются, как правило, в заглублённом исполнении. Для строительства таких трубопроводов помимо труб круглого сечения (1) часто используются трубы овоидального (2) и лоткового (3) сечений.
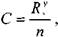
При гидравлическом расчёте безнапорных трубопроводов независимо от вида их сечения при
ходится решать задачи трёх основных типов:
определение расхода жидкости, пропускаемого данным трубопроводом,
определение уклона дна, необходимого для пропуска заданного расхода жидкости при заданном заполнении сечения,
определение степени наполнения трубопровода для пропуска заданного расхода жидкости при известном уклоне дна.
Решение всех этих задач сводится к решению уравнения Шези при различных вариантах задания исходных данных Анализируя результаты решения таких задач нетрудно обнаружить, что для каждого сечения трубопровода существует так называемая эффективная степень заполнения русла, при которой достигается максимальный расход при условии минимальо возможных потерях напора Это объясняется тем, что при увеличении площади живого сечения потока увеличивается также и длина смоченного периметра Начиная с некоторой величины (соответствующей эффективной степени заполнения русла), увеличение длины смоченного периметра начинает «обгонять» рост площади живого сечения. При этом дальнейшее увеличение расхода жидкости в трубопроводе будет сопряжено со значительными потерями напора.
12. Движение неньютоновских жидкостей 12.1. Некоторые характеристики и реограммы неньютоновских жидкостей.
Изучение процесса движения неньютоновских жидкостей является весьма трудоёмкой задачеё как с точки зрения полноты понимания всех физико-химических процессов сопровождающих такое движение сложного физического тела, так и с точки зрения математического описания этого явления. Как известно, все неньютоновские жидкости отличаются от классической ньютоновской жидкости видом зависимости градиента давления
от величины касательного напряжения. Графики таких зависимостей
носят на-
звание кривых течения неньютоновских жидкостей или реограмм. На рисунке представлены реограммы различных типов неньютоновских жидкостей (1 - дилатантная жидкость, 3 - псевдопластическая жидкость, 4 - вязкопластическая жидкость) по сравнению с аналогичной характеристикой классической ньютоновской жидкостью (линейная зависимость - 2).
Первые два вида неньютоновских жидкостей: дилатантные и псевдопластические описываются одинаковыми уравнениями реограмм с различными характеристиками коэффициентов k -меры консистенции жидкости и п - меры степени отличия поведения неньютоновской жидкости от классической ньютоновской жидкости.
Для характеристики
названных выше типов неньютоновских жидкостей часто используется ещё одна дополнительная мера - эффективная кажущаяся вязкость жидкости. Суть этой меры состоит в том, что для любой конкретной величины касательного напряжения в неньютоновской жидкости можно поставить в соответствии величину вязкости ньютоновской жидкости с одинаковой величиной касательных напряжений, т. е. реограмма реальной неньютоновской жидкости заменяется линейной зависимостью:

Естественно, что величина эффективной кажущейся вязкости жидкости будет зависеть от интервала значений касательного напряжения, на котором эта величина вычисляется.
Вязкопластические (бингамовские) жидкости обладают как свойствами твёрдого тела (при напряжениях меньших величины статического напряжения сдвига
), так и
свойствами жидкости (при касательных напряжениях в жидкости
). Когда вязкопла-
стическая жидкость проявляет свойства твёрдого пластичного тела, то роль кристаллической решётки в вязкопластической жидкости осуществляет образующаяся в ней жёсткая

пространственная структура, приводящая к полной неподвижности жидкости. Поэтому реограмму вязкопластических жидкостей (в) принято рассматривать как некоторую сумму реограмм твёрдого пластичного тела (а) и классической ньютоновской жидкости (б). Уравнение такой реограммы можно представить в следующем виде:
![]()
Вид реограмм неньютоновских жидкостей, в том числе и вязкопластичных жидкостей, осложняется проявлением тиксотропных свойств таких жидкостей. Принято считать, что величина статического напряжения сдвига вязкопластичных жидкостей зависит от продолжитнльности нахождения такой жидкости в состоянии покоя, другими словами, прочность образующейся структурной решётки в вязкопластичной жидкости увеличивается со временем. Повторное приведение жидкости в состояние движения происходит при значительно более низком статическом напряжении сдвига. Поэтому принято различать величину начального статического напряжения сдвига (после длительной остановки жидкости) и динамическую величину (после кратковременных перерывов в работе). Тиксо-тропные свойства жидкостей обратимы, т. е. при восстановлении существовавшего ранее режима течения жидкости их действие прекращается.
Следует также отметить тот факт, что на величину статического напряжения сдвига в значительной степени влияет вибрация, разрушающая образующуюся в жидкости пространственную структуру. При этом величина т0 может быть снижена практически до 0, и
поведение такой жидкости не будет отличаться от классической ньютоновской жидкости. Особенности строения вязкопластических жидкостей приводят к некоторым парадоксам. Так, к примеру, в сообщающихся сосудах с вязкопластической жидкостью уровни в коленах сосудов устанаыливаются на разных высотах, зависящих от свойств жидкости и
у
размеров сосудов. ! *
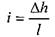
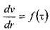
12.2. Движение вязкопластических жидкостей в трубах.
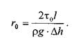
Для того, чтобы вязкопластичная жидкость начала перемещаться необходимо создать между начальным и конечным сечениями участка трубы длиной / некотурую разность напоров, при которой будет преодолена величина начального статического напряжения сдвига
. При этом жидкость отрывается от стенок трубы и первоначально движется на подвижном ламинарном слое, сохраняя свою прежнюю пространственную структуру, т. е. с одинаковыми скоростями по всему отсеку потока. Разрушение этой структуры происходит позже и при некотором превышении напора.
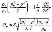
Поскольку в начальный момент времени силы трения будут возникать только у стенок трубы, то уравнения равновесия можно запмсать в следующем виде:

Необходимая разность напоров между началом и концом участка трубы определится следующим образом:
![]()
Таким образом, при превышении разности напоров расчётную величину жидкость начнёт двигаться по трубе, причём характер (режим) её движения будет зависеть от величины
. При движении вязкопластичной жидкости возможны три режима течения её: структурный, ламинарный и тутбулентный.
Условие
является необходимым для начала движения жидкости
в структурном режиме, при этом под величиной статического напряжения сдвига следует понимать величину соответствующую длительному покою жидкости, т. е. с учётом проявления тиксотропных свойств жидкости.
Структурный режим течения жидкости предполагает наличие вдоль стенок трубы сплошного ламинарного слоя жидкости; в центральной части трубы наблюдается ядро те-
чения, где жидкость движется, сохраняя прежнюю свою структуру, т. е. как твёрдое тело. Размеры центрального ядра течения (радиус
) может быть определён исходя из следующего соотношения:
При увеличении А/г размеры ламинарной зоны будут постепенно увеличиваться за счёт уменьшения размеров ядра течения пока структурный режим не перейдёт в полностью ламинарный режим движения жидкости. В дальнейшем ламинарный режим постепенно сменится турбулентным режимом движения жидкости.
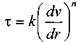
Для определения закона распределения скоростей по сечению потока при структурном режиме движения жидкости запишем некоторую функцию для касательных напряжений в соответствии с
формулой Бингама:
![]()
Тогда распределение скоростей по сечению трубы можно выразить следующим образом:
?
где:
- касательное напряжение на стенке трубы радиуса
,
- скорость жидкости на расстоянии
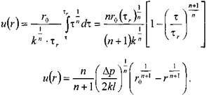
от центра трубы. После интегрирования этого уравнения получим:

И окончательно:

Для определения скорости в ядре течения примем
, где
- радиус ядра течения
(структурной части потока жидкости). Тогда величина скорости в этом ядре течения (скорости в ядре течения одинаковые равны)
: '
![]()
Расход жидкости при структурном движении можно определить, используя известные соотношения дл круглой трубы:
![]()
Интегрируя уравнение в пределах от
до
, получим:
5 f

Последнее уравнение, известное как формула Букингама, можно упростить:

где:
- разность давлений при начале движения жидкости, когда каса-
тельнве напряжения в ней достигают величины касательного напряжения сдвига. Если пренебречь величиной второго члена ввиду его малости, получим:
![]()
![]()
* где:
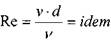
- обобщённый критерий Рейнольдса.

Комплексный параметр
= Sen носит название числа Сен-Венана.
Таким образом, при расчётах движения вязкопластических жидкостей можно пользоваться уравнениями для ньютоновских жидкостей, заменяя в уравнениях величину числа Рейнольдса Re на обобщённый критерий Рейнольдса![]()
Турбулентный режим течения жидкости. Характер течения вязкопластических жидкостей существенно не отличается от турбулентного потока ньютоновских жидкостей. Отличие состоит в количественных соотношениях между величинами коэффициентов трения и числом Рейнольдса. Так коэффициент трения может быть выражен как функция обобщённого числа Рейнольдса (в общем виде) следующим образом:
![]()
где: В и п - некоторые параметры, устанавливаемые по данным экспериментов. Так по данным экспериментов величины коэффициентов В и п принимаются следующими:
- для неутяжелённого глинистого раствора В = 0,1 и п = 0,15,
- для утяжелённого глинистого раствора В = 0,0025 и п = -0,2.
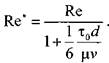
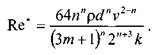
Для расчёта трубопроводов при ждижении по ним глинистых и цементных растворов можно пользоваться формулой :
при: Re* =. 12.3. Движение вязкопластичных жидкостей в открытых каналах
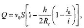
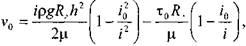
В практике работы горных предприятий не редки случаи, когда приходится транспортировать неньютоновские жидкости в безнапорных потоках (самотёком), в лотках, по желобным системам. Характер течения вязкопластичных жидкостей в открытых каналах при структурном режиме идентичен аналогичному и напорному потокам такой жидкости в круглых трубах. Т. е. при структурном режиме течения жидкости также выделяется центральное ядро течения, где жидкость движется как твёрдое тело, сохраняя свою первонв-чальную структуру. Ядро течения подстилается непрерывным ламинарным слоем жидкости. Течению таких жидкостей по открытым каналам прямоугольного профиля посвящены работы . По данным его исследований расход вязкопластичной жидкости при структурном режиме движения может быть определён по приближённой формуле:

где:
- скорость течения ядра потока
- площадь живого сечения канала шириной b и глубиной заполнения h,
- гидравлический уклон, соответствующий началу течения жидкости,
/ - уклон дна канала,
- гидравлический радиус живого сечения потока. 12.4. Движение неньютоновских жидкостей, подчиняющихся степенному реологическому закону, по трубам
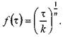
Для жидкостей, подчиняющихся степенному реологическому закону, функция напряжения сдвига будет иметь следующий вид:

Тогда распределение скоростей в сечение потока будет соответствовать следующей зависимости:

Интегрируя это уравнение, найдём:
, или:
Отсюда можно получить выражение для расхода жидкости:

Отсюда определим величину перепада давления, обеспечивающую движение жидкости и соответствующую величину потерь напора на трение.

Сопоставляя полученное выражение с формулой Дарси-Вейсбаха, найдём величину коэффициента трения и обобщённый критерий Рейнольдса:


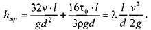
13. Гидравлическая теория смазки 13.1. Ламинарное движение жидкости в узких щелях
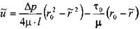
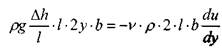
В большинстве машин и механизмов с целью снижения трения между движущимися узлами используются принципы гидравлической смазки, когда малые зазоры между соприкасающимися элементами заполняются низковязкой или другой жидкостью. В данном случае процесс сухого трения между твердыми движущимися телами заменяется скольжением. Гидравлическая смазка используется также и в случаях, когда необходимо выполнить изоляцию зазоров от проникновения через них жидкостей. Эти чисто практические задачи связаны с теорией течения жидкости в узких щелях, разработанных Буссинэ и .
Эту задачу рассмотрим на классическом уровне. Возьмём две плоские одинаковые

пластины, расположенные параллельно друг другу на малом расстоянии друг от друга. Эти пластины образуют межды собой тонкую щель (зазор) d.
Щель будет считаться тонкой, если её ширина d во много раз меньше размеров пластин
и
, где L и В - размеры пластины. Проведем в потоке щели два параллельных друг другу сечения на расстоянии / и выделим малый отсек жидкости в виде параллелепипеда со сторонами:
и 2у. Жидкость движется вдоль оси ОХ (на рисунке 2 слева на право). Грани, через которые жидкость втекает внутрь выделенного отсека и вытекает из него, имеют площадь
. К этим граням приложены силы давления равные:
![]()
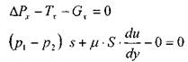
Гогда выделенный отсек жидкости будет находиться в состоянии равновесия под действием сил давления трения и силы тяжести.

где:
- площадь верхней и нижней граней отсека жидкости.
Подставив в уравнение величины площади пластин и граней, и преобразовав уравнение, получим:
![]()
Тогда:
5
где:
- гидравлический уклон.
13.2. Распределение скоростей и касательных напряжений в щелевом зазоре
После интегрирования полученного дифференциального уравнения получим:
![]()
Величина постоянной интегрирования может быть получена исходя из условия, что скорость на гране пластины равна 0, т. е. при
, и = 0 . ^
5

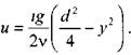
В центре потока скорость будет максимальной, т. е. при у = О
![]()
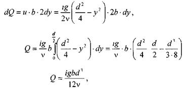
Вычислим величину средней скорости потока, для чего найдём величину расхода через щель. Элементарный поток жидкости dQ в тонком слое dy будет равен:
откуда:
откуда средняя скорость в потоке.
![]()
т. е. для потока в тонкой щели соотношение между средней скоростью и максимальной иное, чем в круглой трубе:
Потери напора будут равны.
3
Если одна из пластин будет двигаться относительно другой неподвижной пластины с постоянной скоростью, а давление в щели будет постоянным по всей длине, то при таком параллельном перемещении движущаяся пластина будет увлекать за собой жидкость. Такое перемещение жидкости называется безнапорным фрикционным движением. Выделим
в этом потоке элементарный объём жидкости также в виде параллелепипеда.
![]()
Поскольку величины сил давления на левую и правую боковые грани одинаковы, то для равновесия необходимо, чтобы и силы трения, действующие
вдоль верхней и нижней граней выделенного отсека тоже были одинаковыми.
![]()
f
j
После интегрирования получим:
![]()
Величины постоянных интегрирования получим при следующих условиях:
при у = О и - 0 , при![]()
Следовательно:
и,
т. е. будем иметь закон распределения
скоростей по сечению зазора

Таким образом, скорость по сечению зазора распределяется по линейному закону. Величина касательных напряжений постоянна по сечению зазора:
![]()
Тогда сила трения, действующая на пластину, будет равна:
![]()
расход жидкости через зазор:
![]()
т. е. средняя скорость фрикционного потока равна половине максимальной скорости:
![]()
Выводы, полученные для плоских пластин легко перенести на криволинейные поверхности, если допустить, что радиус кривизны такой поверхности бесконечно велик по сравнению с шириной зазора, что соответствует действительности.
В то время, когда жидкость проникает в узкую щель между неподвижными стенками зазора, на поверхности стенок происходит адсорбция поляризованных молекул жидкости, обусловленная силами межмолекулярного взаимодействия. В результате этого на поверхности стенок образуется фиксированный слой жидкости, обладающий значительной прочностью на сдвиг, а живое сечение щели уменьшается. Это явление носит название облитерации Интенсивность облитерации зависит от свойств жидкости. Сложные по строению высокомолекулярные жидкости обладают значительно большей степенью облитерации, по этой причине разного рода смазки являются подходящим средством для уплотнения соединений и устранения возможных утечек.
Явление облитерации необходимо учитывать при запуске оборудования, когда приходится преодолевать дополнительные усилия на страгивание простаивающих элементов оборудования.
14. Элементы теории подобия
Решение задач гидравлики аналитическими методами на базе дифференциальных уравнений и различных методов математического анализа не нашло широкого применения для практических целей. Необходимость ввода различных допущений и ограничений позволяют использовать полученные строгие решения лишь как качественные оценки изучаемых процессов. Практические же результаты, как правило, достигаются экспериментальными методами исследований. Построение модели того или иного процесса также связано с немалыми трудностями. Это, прежде всего, необходимость точного знания физической стороны изучаемого процесса, умение выделить существенные стороны и факторы, добиться полной аналогии построенной модели с натурой и т. д. Поэтому даже всестороннее знание природы изучаемого процесса не гарантирует абсолютный успех.
При решении практических задач в гидравлике пользуются обеими известными методами построения моделей как физическим, так и математическим моделированием.
При физическом моделировании модель, как и натура, имеют одинаковую физическую природу и отличаются друг от друга лишь размерами. При математическом моделировании модель имеет иное, чем натура, физическое содержание: общими у них являются лишь одинаковые дифференциальные уравнения, описывающие сходные физические процессы, протекающие в модели и натуре.
Подробное изучение методов моделирования не является задачей настоящего курса, эти вопросы рассматриваются в специальных дисциплинах. В настоящем курсе мы лишь назовём некоторые положения касающиеся основ построения таких моделей
14.1. Физическое моделирование
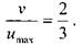
Физическая модель отличается от натуры лишь размерами, т. е. модель по своим размерам может быть, чаще всего лишь уменьшенной копией натуры, либо она может (в некоторых случаях) превосходить по своим размерам натуру. И в том и другом случае, для успешного и правильного построения модели необходимо, прежде всего, знать основные законы подобия. Модель и натура будут адекватны между собой, если при построении модели будут выполнены все основные элементы подобия. К таким условиям относятся критерии геометрического, кинематического и динамического подобия.
Для геометрического подобия необходимо, чтобы отношение любых сопоставляемых линейных размеров модели и натуры были бы одинаковыми. Так протяжённость модели и натуры, а также и другие прочие размеры должны находится между собой в пропорциональной зависимости:

где:
и
- линейный размер соответственно на модели и на натуре,
- коэффициент геометрического подобия, масштаб моделирования.
В таком случае, при сопоставлении размеров площадей на модели и натуре должен соблюдаться такой же масштабный множитель, но с учётом порядка мерности величины:

Т. е. при сопоставлении размеров площадей на модели и на натуре соотношение этих величин будет равно квадрату масштабного линейного множителя. Соответственно для сопоставления объёмов:
![]()
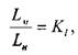
Для кинематического подобия необходимо, чтобы траектории всех сопоставимых частиц были геометрически подобны, т. е. при этом кроме геометрического подобия сопоставимых криволинейных отрезков модели и натуры выполнялось ещё подобие сопоставимых интервалов временни в моделе и натуре.
![]()
Тогда величины скоростей движения частиц в модели и натуре будут относиться между собой как:
5 - величины расходов жидкости: '
![]()
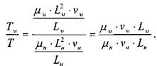
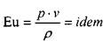
Для динамического подобия сравниваемых потоков необходимо, чтобы в соответствующих местах потоков были подобны действующие в них одноимённые силы. Пусть в сопоставимых точках потока жидкости и строящейся модели этого потока действует некоторая инерциальная сила F. Тогда при соблюдении геометрического и кинематического подобия, критерий динамического подобия может быть выражен следующим образом:
![]()
Величина
носит название масштаба сил.
Рассмотрим критерии подобия отдельных сил действующих в жидкости.
Сила внутреннего трения в жидкости.

Заменив
мы получим основное условие подобия потоков, в которых ос-
новную роль играют силы внутреннего трения жидкости. Для подобия таких потоков необходимо равенство чисел Рейнольдса.![]()
Определяющей в потоке является сила тяжести.
j
Таким образом, если определяющей силой в потоке является сила тяжести, то для подобия таких потоков необходимо постоянство числа Фруда![]()
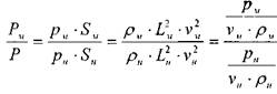
Для потока жидкости, в котором определяющей силой является сила давления:

Если определяющей в потоке жидкости является сила давления, то для подобия таких потоков обязательным условием является равенство критерия Эйлера
![]()
14.2. Математическое моделирование
Для построения математических моделей в гидравлике могут быть использованы процессы, имеющие единую с гидравликой природу взаимодействия физических тел. Т. е. моделями для процессов, протекающих в жидкостях и газах, могут служить лишь те физические процессы, которые относятся к группе электромагнитных взаимодействий, имеющих одного и того же переносчика взаимодействия - фотон. В таком случае основные процессы, протекающие в модели и натуре, будут иметь одинаковые уравнения, описывающие сходственные процессы.
Так для моделирования гидродинамического поля (поля скоростей движения жидкости и газа) могут быть использованы электрическое и тепловое поля.
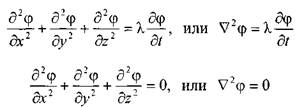
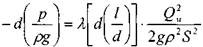
Из курса физики известны общие уравнения, характеризующие сплошность поля и его изменение. Это известное уравнение неразрывности:

и так называемые уравнения неустановившегося (уравнение Фурье) и установившегося (уравнение Лапласа) движения:

Наиболее удобным для целей моделирования процессов протекающих в жидкостях и газах являются процессы, протекающие в электрическом поле, поскольку последние отличаются компактностью, доступностью для измерения и, что самое главное, высокой скоростью протекания. Такие особенности электрического поля сделали его популярным для моделирования различных процессов, был разработан специальный аппарат для построения электрических моделей процессов протекающих в жидкостях и газах, - метод электрогидродинамической аналогии (ЭГДА). Построенные на его базе серийные моделирующие комплексы вплоть до появления цифровых ЭВМ широко использовались в практике научных исследований и на прямом производстве. При решении ряда задач актуальность этого метода остаётся поныне.
Модели, строящиеся на базе теплового поля, используются крайне редко из-за трудоёмкости их создания и реализации.
Литература
1. И, , Пикалов . М., Госэнергоиздат, 1964
2. , , Иванов и аэродинамика - М Строй-издат. 1987,4Юс.
3. ,. С,. Б и др. Гидравлика, гидромашины и гидроприводы.. «Машиностроение», 1982, 433с.
4. , Дулин B. C., Заря и гидропривод. М.
5. и др. Гидравлика и гидравлические машины. Баку, 1955
6. Некрасов и её применение в летательных аппаратах. М. Машиностроение, 19с.
7. Орлов жидкости, гидравлические машины и основы гидропривода. Учебное пособие. Пермь, 20с.
8. Рабинович - М. «Недра» 1980,278 с.
9. Сборник задач по машиностроительной гидравлике: Учебное пособие для машиностроительных ВУЗов\ , , и др. Под редакцией и Л. Г Подвидза.-4-е изд., перераб.-М: Машиностроение, 1981.-464 с. ил.
|
Из за большого объема этот материал размещен на нескольких страницах:
1 2 3 4 5 6 7 8 |



