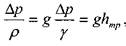
Внезапное расширение русла. Внезапное расширение русла чаще всего наблюдается
на стыке участков трубопроводов, когда один трубопровод сочленяется с магистральным трубопроводом большего диаметра. Величина коэффициента потерь напора в данном случае определяется с достаточной точностью на теоретическом уровне. Поток жидкости движущейся в трубопроводе меньшего диаметра d, попадая в трубу
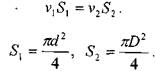
большего диаметра, касается стенок нового участка трубопровода не сразу, а лишь в сечении 2-2'. На участке между сечениями 1 - Г и 2-2' образуется зона, в которой жидкость практически не участвует в движении по трубам, образуя локальный вихревой поток, где претерпевает деформацию. По этой причине часть кинетической энергии движущейся жидкости тратиться на поддержание «паразитного» сращения и деформации жидкости. Величины средних скоростей жидкости в сечениях можно определить из условия неразрывности.

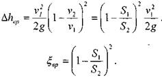
Тогда величина потерь напора при внезапном расширении русла определится:

Таким образом, можно сказать, что потеря напора при внезапном расширении потока равна скоростному напору, соответствующему потерянной скорости.
![]()
Плавное расширение русла (диффузор). Плавное расширение русла называется диффузором. Течение жидкости в диффузоре име-
'ет сложный характер. Поскольку живое сече-
ние потока постепенно увеличивается, то, соответственно, снижается скорость движения
жидкости и увеличивается давление. Поскольку, в этом случае, в слоях жидкости у стенок
диффузора кинетическая энергия минимальна (мала скорость), то возможна остановка жидкости и интенсивное вихреобразование. По этой причине потери энергии напора в диффузоре будут зависеть от потерь напора на трение и за счёт потерь при расширении:
![]()
2
где:
- площадь живого сечения на входе в диффузор,
S2 - площадь живого сечения на выходе из диффузора, а - угол конусности диффузора,
- поправочный коэффициент, зависящий от условий расширения потока в диффузоре.
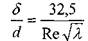
Внезапное сужение канала. При внезапном сужении канала поток жидкости отрывается от стенок входного участка и лишь затем (в сечении 2 - 2)касается стенок канала
меньшего размера. В этой области потока — * образуются две зоны интенсивного вихре-образования (как в широком участке трубы, так и в узком), в результате чего, как и в предыдущем случае, потери напора скла
дываются из двух составляющих (потерь на трение и при сужении). Коэффициент
потерь напора при гидравлическом сопротивлении внезапного сужения потока можно определить по эмпирической зависимости, предложенной :
![]()
или взять по таблице:
Плавное
сужение канала. Плавное сужение канала достигается с помощью конического участка называемого конфузором. Потери напора в конфузоре образуются практически за счёт трения, т. к. вихреобразование в конфузоре практически отсутствует. Коэффициент потерь напора в конфузоре можно определить по формуле:
, t f ~ *
При большом угле конусности а >50° коэффициент потерь напора можно определять по формуле с внесением поправочного коэффициента.![]()
Нормальный вход в трубу. Из резервуаров, где хранятся жидкости вход в выкидной трубопровод осуществляется в так называемом нормальном исполнении, т. е. когда осевая линия патрубка трубопровода располагается по нормали к боковой стенку резервуара. Этот вид гидравлических сопротивлений также можно отнести к сопротивлениям связанным с изменением размеров русла, просто здесь размеры нового русла
бесконечно малы по сравнению с размерами исходного русла с сечением резервуара. В этом случае внутри выкидного патрубка вытекающая из резервуара жидкость заполняет всё сечение трубы не сразу, а лишь на некотором расстоянии от входа. В этой области в застойной зоне часть жидкости совершает вращательное движение и созданный таким образом вихрь порождает дополнительные г
гидравлические сопротивления. Коэффициент потерь напора при этом приблизительно составляет половину скоростного напора:

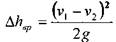
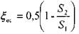
Выход из трубы в покоящуюся жидкость. Это обычный элемент стыковки напорной части трубопровода с резервуаром. Входной патрубок трубопровода располагается нормально к боковой
стенке резервуара. Этот вид гидравлических сопротивлений также можно рассматривать как разновидность внезапного расширения потока жидкости до бесконечно большого сечения. Величина коэффициента потерь напора, в большинстве случаев, принимается равной одному скоростному напору.
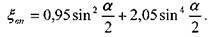
Внезапный поворот канала. Под таким гидравлическим сопротивлением будем понимать место соединения
трубопроводов одинакового
диаметра, при котором осевые линии трубопроводов не совпадают, т. е. составляют между
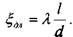
собой некоторый угол а Этот угол называется углом поворота русла, т. к. здесь изменяется направление движения жидкости. Физические основы процесса преобразования кинетической энергии при повороте потока достаточно сложны и следует рассмотреть лишь результат этих процессов. Так при прохождении участка внезапного поворота образуется сложная форма потока с двумя зонами вихревого движения жидкости На практике такие элементы соединения трубопроводов называют коленами. Следует отметить, что колено как соединительный элемент является крайне нежелательным ввиду значительных потерь напора в данном виде соединения. Величина коэффициента потерь напора будет, в первую очередь, зависеть от угла поворота русла и может быть определена по эмпирической формуле или по таблице:
![]()

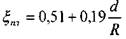
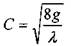
Плавный поворот канала Этот вид гидравлических сопротивлений можно считать более благоприятным (экономичным) с точки зрения величины потерь напора, т. к. в данном случае опасных зон для образования интенсивного вихревого движения жидкости практически нет. Тем не менее, под действием того, что при повороте потока возникают центробежные силы, способствующие отрыву частиц жидкости от стенки трубы, вихревые зоны всё же возникают. Кроме того, при этом возникают встречные потоки жидкости
направленные от внутренней стенки трубы к внешней стенке трубы. Коэффициент потерь
напора определяется по эмпирическим формулам или по
таблицам. При угле поворота русла на 90° и
:
При угле поворота русла а)100° :
i
![]()
при а = 90°

Здесь: R - радиус закругления трубы, г - радиус трубы.
Если
, то данные таблицы следует умножать на коэффициент:![]()
Кроме приведённых зависимостей имеются и другие справочные сведения. Наличие обширного набора сведений по этим вопросам объясняется тем, что колена в закруглённом исполнении весьма широко применяются в строительстве трубопроводов и в различных гидравлических системах.
Задвижки. Задвижки часто используют как средство регулирования характеристик потока жидкости (расход, напор, скорость). При наличии задвижки в трубопроводе поток обтекает находящиеся в трубе плашки
задвижки, наличие которых ограничивает живое сечение потока, а также приводит к возникновению вихревых
потоков жидкости около плашек задвижки. Коэффициент потерь напора зависит от степени закрытия задвижки![]()

Краны. Краны также могут использоваться в качестве средств регулирования параметров потока. В этих случаях коэффициент потерь напора зависит от степени закрытия крана (угла поворота).

Обратные клапаны и фильтры. Коэффициенты потерь напора определяются, как правило, экспериментально.
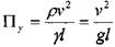
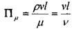
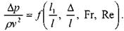
5.6. Потери напора по длине
При установившемся движении реальной жидкости основные параметры потока: величина средней скорости в живом сечении (v) и величина перепада давления
зависят от физических свойств, движущейся жидкости и от размеров пространства, в котором жидкость движется. В целом, физические свойства жидкости определяются через размерные величины, называемые физическими параметрами жидкости.
Можно установить взаимосвязь между всеми параметрами, от которых зависит движение жидкости. Условно эту зависимость можно записать как некоторую функцию в неявном виде.
![]()
где:
- линейные величины, характеризующие трёхмерное
пространство,
- линейная величина, характеризующая состояние стенок канала (шероховатость), величина выступов,
- средняя скорость движения жидкости в живом сечении потока,
- разность давления между начальным и конечном живыми сечениями потока (перепад давления),
- удельный вес жидкости,
- плотность жидкости,
- динамический коэффициент вязкости жидкости,
- поверхностное натяжение жидкости, К - модуль упругости жидкости.
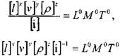
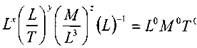
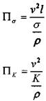
Для установления зависимости воспользуемся выводами так называемой
-теоремы. Суть её заключается в том, что написанную выше зависимость, выраженную в неявном виде, можно представить в виде взаимозависимых безразмерных комплексов. Выберем
три основных параметра с независимыми размерностями
, остальные парамет-
ры выразим через размерности основных параметров.
Эта операция выполняется следующим образом: пусть имеется некоторый параметр i, выразим его размерность через размерности основных параметров; это будет означать:
?
т. е. размерности левой и правой частей равенства должны быть одинаковыми. Тогда можно записать:

Полученные в результате такой операции безразмерные параметры будут называться пи-членами. Эти безразмерные комплексы имеют глубокий физический смысл, они представляют собой критерии подобия различных сил, действующих в тех или иных процессах.
Проделаем такую операцию с некоторыми из параметров.
Параметр А.
i
Теперь запишем показательные уравнения по размерностям последовательно в следующем порядке: L (длина), М (масса), и Т (время):

Из этой системы уравнений:
Таким образом, безразмерным
комплексом по этому параметру может быть:
Параметр у.
>* ' откуда получим:

и найдём:
. Таким образом, безразмерным комплексом по
этому параметру может быть:
. Эта безразмерная величина называется
числом Фруда, Fr. Параметр /и.
![]()

и найдём:
![]()
Полученный безразмерный комплекс называется числом Рейнольдса, Re. Выполняя аналогичные операции с остальными параметрами можно найти:
число Эйлера, число Вебера, We.
число Коши, Са. В итоге получим как результат:

Поскольку, в большинстве случаев силами поверхностного натяжения можно пренебречь, а жидкость считать несжимаемой средой, можно упростить запись предыдущего выражения, решив последнее уравнение относительно Ей:
![]()
Считая канал круглой цилиндрической трубой, и принимая
, получим:

Множитель был вынесен за скобки ввиду того, что потери напора по длине пропорциональны длине канала конечных размеров. Далее учитывая, что:
, получим:
![]()
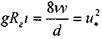
Обозначим:
Эту величину принято называть коэффициен-
том сопротивления трения по длине или коэффициентом Дарси. Окончательно для круглых труб, учитывая, что
:
![]()
Эта формула носит название формулы Дарси-Вейсбаха и является одной из основных формул гидродинамики.
Коэффициент потерь напора по длине будет равен:
![]()
Запишем формулу Дарси-Вейсбаха в виде:
![]()
Величину
называют гидравлическим уклоном, а величину
называ-
ют коэффициентом Шези.
![]()
Величина
имеет размерность скорости и носит название динамической
скорости жидкости.
Тогда коэффициент трения (коэффициент Дарси):![]()
' ' 6. Режимы движения жидкости
6.1. Экспериментальное изучение движения жидкости
При проведении многочисленных экспериментов с потоками движущейся жидкости было неоднократно подмечено, что на величину гидравлических сопротивлений кроме физических свойств самой жидкости, формы и размеров каналов, состояния их стенок, существенное влияние
оказывает особенности движения частиц жидкости в потоке. Впервые дал теоретическое обоснование этой зависимости английский физик Осборн Рейнольде. Суть его эксперимента заключалась в следующем.
В ёмкость А достаточного большого объёма была вставлена длинная (не менее 20 диаметров) стеклянная трубка Г. На конце этой трубки устанавливался кран Д для регулирования расхода жидкости. Измерение расхода жидкости осуществлялось с помощью мерной ёмкости Б, расположенной в конце трубки. Из малого бачка В с помощью тонкой изогнутой трубки Е по центру основной трубки вводилась подкрашенная жидкость. Её расход также регулировался с помощью краника. Уровень жидкости в основном баке А поддерживался постоянным. Плавно меняя расход жидкости в трубке, Рейнольде отметил, что при малых скоростях движения жидкости подкрашенная струйка жидкости текла по центру потока жидкости, не смешиваясь с остальной жидкостью потока. Однако при определённой скорости жидкости подкрашенная струйка жидкости теряла свою устойчивость и, в конечном итоге, частицы окрашенной жидкости перемешивались с остальной жидкостью. При снижении скорости движения жидкости положение восстанавливалось: хаотичное движение частиц жидкости снова становилось упорядоченным. Рейнольде менял длину и диаметр трубки, вязкость жидкости, количество подкрашенных струек жидкости и установил, что эффект перемешивания (смена режима течения жидкости) зависит от скорости движения жидкости, её вязкости и от диаметра трубки, причём при увеличении вязкости жидкости для смены режима течения жидкости требовалась большая скорость. Отсюда Рейнольде сделал вывод, что смена режима движения жидкости зависит от целого комплекса параметров потока, а именно от соотношения:

которое получило название числа Рейнольдса. Число Рейнольдса оказалось безразмерной величиной, представлявшей собой отношение сил инерции к силам вязкостного
трения. Была установлена и критическая величина числа Рейнольдса, при котором происходила смена режима движения жидкости R.eKp, она оказалась равной 2320.
Режим движения жидкости, при котором наблюдалось плавное, слоистое движение жидкости был назван ламинарным (слоистым) режимом движения жидкости. Режим движения жидкости сопровождавшийся хаотическим движением частиц жидкости в потоке был назван турбулентным (беспо
рядочным). Важным оказалось то обстоятельство, что при смене режима движения существенно менялась зависимость величины гидравлических сопротивлений от скорости движения жидкости. Этот факт можно проиллюстрировать на графике зависимости потерь напора от скорости, построенных в билогарифмической системе координат.
![]()
Зависимость состоит из двух участков: ламинарного (АВ) и турбулентного (ВС} режимов движения жидкости. Каждому из участков соответствует уравнение:
![]()
Для ламинарного участка (АВ) наклон линии к оси абсцисс k = tg45° = 1, для турбулентного участка (ВС) наклон линии превышает 1 и изменяется в пределах 1,75 - 2,0. 6.2. Ламинарное движение жидкости
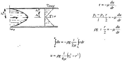
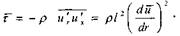
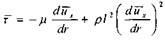
Касательные напряжения. Рассмотрим правила определения величины касательных
напряжений на примере потока жидкости в круглой цилиндрической трубе. Двумя сечениями выделим в потоке жидкости отсек длиной /. На данный отсек жидкости будут действовать силы давления, приложенные к площадям жи
вых сечений потока жидкости слева и справа и сила трения, направленная в сторону обратную движению жидкости. Поскольку движение жидкости установившееся, то все действующие на отсек жидкости силы должны быть уравновешены. < • -

где: г0 - касательные напряжения на боковой поверхности отсека жидкости.
Касательные напряжения на периферии отсека жидкости (у стенки трубы) будут равны:
![]()
Очевидно, это будут максимальная величина касательных напряжений в отсеке жидкости. Вычислим величину касательных напряжений на расстоянии г от оси трубы.

Таким образом, касательные напряжения по сечению трубы изменяются по линейному закону; в центре потока (на оси трубы) г=0 касательные напряжения т= 0.
Распределение скоростей в ламинарном потоке. Поскольку ламинарный поток жидкости в круглой цилиндрической трубе является осе симметричным, рассмотрим, как и ранее, лишь одно (вертикальное сечение трубы). Тогда, согласно гипотезе Ньютона:

Отсюда видно, что распределение скоростей в круглой цилиндрической трубе соответствует параболическому закону. Максимальная величина скорости будет в центре трубы, где
= О
![]()
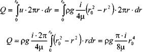
Средняя скорость движения жидкости в ламинарном потоке. Для определения величины средней скорости рассмотрим живое сечение потока жидкости в трубе Затем проведём в сечении потока две концентрические окружности, отстоящие друг от друга на бесконечно малое расстояние dr. Между этими окружностями мы, таким образом, выделили
малую кольцевую зону, малую часть живого сечения потока жидкости. Расход жидкости через выделенную кольцевую зону:
![]()
Расход жидкости
через полное живое сечение трубы:
величина средней скорости в сечении:
![]()
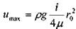
Потери напора в ламинарном потоке жидкости. Для ламинарного потока жидкости в круглой трубе можно определить коэффициент трения через число Рейнольдса. Вычислим величину гидравлического уклона из средней скорости жидкости.
![]()
Отсюда:
![]()
Тогда:

Окончательно потери напора при ламинарном движении жидкости в трубе:
j
Несколько преобразовав формулу для определения потерь напора, получим формулу Пуазейля:
![]()
6.3. Турбулентное движение жидкости
Структура турбулентного потока. Отличительной особенностью турбулентного движения жидкости является хаотическое движение частиц в потоке. Однако при этом часто можно на
блюдать и некоторую закономерность в таком
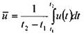
движении. С помощью термогидрометра, прибора позволяющего фиксировать изменение скорости в точке замера, можно снять кривую скорости. Если выбрать интервал времени достаточной продолжительности, то окажется, что колебания скорости наблюдаются около некоторого уровня и этот уровень сохраняется постоянным при выборе различных интервалов времени. Величина скорости в данной точке в данный момент времени носит название мгновенной скорости. График изменения мгновенной скорости во времени u(t) представлена на рисунке. Если выбрать на кривой скоростей некоторый интервал времени и провести интегрирование кривой скоростей, а затем найти среднюю величину, то такая величина носит название осреднённой скорости![]()

Разница между мнгновенной и осреднённой скоростью называется скоростью пульсации и'.
![]()
Если величины осреднённых скоростей в различные интервалы времени будут оставаться постоянными, то такое турбулентное движение жидкости будет установившемся.
При неустановившемся турбулентном движении
жидкости величины щсреднённых скоростей меняются во времени
Пульсация жидкости является причиной перемешивания жидкости в потоке. Интенсивность перемешивания зависит, как известно, от числа Рейнольдса, т. е. при сохранении прочих условий от скорости движения жидкости. Таким образом, в конкретном потоке
жидкости (вязкость жидкости и размеры сечения определены первичными условиями) характер её движения зависит от скорости. Для турбулентного потока это имеет решающее значение. Так в периферийных слоях жидкости скорости всегда будут минимальными, и режим движения в этих слоях естественно будет
ламинарным. Увеличение скорости до критического значения приведёт к смене режима движения жидкости с ламинарного режима на турбулентный режим. Т. е. в реальном потоке присутствуют оба режима как ламинарный, так и турбулентный.
Таким образом, поток жидкости состоит из ламинарной зоны (у стенки канала) и турбулентного ядра течения (в центре) и, поскольку скорость к центру турбулентного по-
тока нарастает интенсивно, то толщина периферийного ламинарного слоя чаще всего незначительна, и, естественно, сам слой называется ламинарной плёнкой, толщина которой
зависит от скорости движения жидкости.
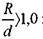
Гидравлически гладкие и шероховатые трубы. Состояние стенок трубы в значительной мере влияет на поведение жидкости в турбулентном потоке. Так при ламинарном движении
жидкость движется медленно и плавно, спокойно обтекая на своём пути незначительные препятствия. Возникающие при этом местные сопротивления настолько ничтожны, что их величиной можно пренебречь. В турбулентном же потоке такие малые препятствия служат источником вихревого движения жидкости, что приводит к возрастанию этих малых местных гидравлических сопротивлений, которыми мы в ламинарном потоке пренебрегли. Такими малыми препятствиями на стенке трубы являются её неровности. Абсолютная величина таких неровностей зависит от качества обработки трубы. В гидравлике эти неровности называются выступами шероховатости, они обозначаются литерой
.
В зависимости от соотношения толщины ламинарной плёнки и величины выступов шероховатости будет меняться характер движения жидкости в потоке. В случае, когда толщина ламинарной плёнки велика по сравнению с величиной выступов шероховатости (
, выступы шероховатости погружены в ламинарную плёнку и турбулентному ядру течения они недоступны (их наличие не сказывается на потоке). Такие трубы называются гидравлически гладкими (схема 1 на рисунке). Когда размер выступов шероховатости превышает толщину ламинарной плёнки, то плёнка теряет свою сплошность, и выступы шероховатости становятся источником многочисленных вихрей, что существенно сказывается на потоке жидкости в целом. Такие трубы называются гидравлически шероховатыми (или просто шероховатыми) (схема 3 на рисунке). Естественно, существует и промежуточный вид шероховатости стенки трубы, когда выступы шероховатости становятся соизмеримыми с толщиной ламинарной плёнки
(схема 2 на рисунке). Толщину ла-
минарной плёнки можно оценить исходя из эмпирического уравнения
![]()
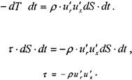
Касательные напряжения в турбулентном потоке. В турбулентном потоке величина касательных напряжений должна быть больше, чем в ламинарном, т. к. к касательным напряжениям, определяемым при перемещении вязкой жидкости вдоль трубы следует добавить дополнительные касательные напряжения, вызываемые перемешиванием жидкости.
Рассмотрим этот процесс подробнее. В турбулентном потоке вместе с перемещением частицы жидкости вдоль оси трубы со скоростью и эта же частица жидкости одновременно переносятся в перпендикулярном направлении из одного слоя жидкости в другой со скоростью равной скорости пульсации и. Выделим элементарную площадку dS, расположенную параллельно оси трубы. Через эту площадку из одного слоя в другой будет перемещаться жидкость со скоростью пульсации
при этом расход жидкости составит:
![]()
Масса жидкости dMr, переместившаяся через площадку за время dt будет:
![]()
За счёт горизонтальной составляющей скорости пульсации и'х эта масса получит в новом слое жидкости приращение количества движения dM,![]()
Если
переток жидкости осуществлялся в слой, двигающийся с большей скоростью, то, следовательно, приращение количества движения будет соответствовать импульсу силы dT, направленной в сторону противоположную движению жидкости, т. е. скорости и'х:
Тогда:
^
Для осреднённых значений скорости:
Следует отметить, что при перемещении частиц жидкости из одного слоя в другой они не мгновенно приобретают скорость нового слоя, а лишь через некоторое время; за это время частицы успеют углубиться в новый слой на некоторое расстояние /, называемое длиной пути перемешивания.
Теперь рассмотрим некоторую частицу жидкости находящуюся в точке А Пусть эта частица переместилась в соседний слой жидкости и углубилась в него на длину пути перемешивания, т. е. оказалась в точке В. Тогда расстояние между этими точками будет равно /. Если скорость жидкости в точке А будет равна и, тогда скорость в точке
В будет равна.![]()
![]()
Сделаем допущения, что пульсации скорости пропорциональны приращению скорости объёма жидкости. Тогда:
![]()
Полученная зависимость носит название формулы Прандтля и является законом в теории турбулентного трения так же как закон вязкостного трения для ламинарного движения жидкости. , Перепишем последнюю зависимость в форме:
![]()
Здесь коэффициент
, называемый коэффициентом турбулентного обмена
играет роль динамического коэффициента вязкости, что подчёркивает общность основ теории Ньютона и Прандтля. Теоретически полное касательное напряжение должно быть равно:
*
'
но первое слагаемое в правой части равенства мало по сравнению со вторым и его величиной можно пренебречь
Распределение скоростей по сечению турбулентного потока. Наблюдения за величинами осреднённых скоростей в турбулентном потоке жидкости показали, что эпюра осреднённых скоростей в турбулентном потоке в значительной степени сглажена и практически скорости в разных точках живого
сечения равны средней скорости. Сопоставляя эпюры скоростей турбулентного потока (эпюра 1) и ламинарного потока позволяют сделать вывод о практически равномерном распределении скоростей в живом сечении. Работами Прандтля было установлено, что закон изменения касательных напряжений по сечению потока близок к логарифмическому закону. При некоторых допущениях: течение вдоль бесконечной плоскости и равенстве касательных напряжений во всех точках на поверхности![]()
|
Из за большого объема этот материал размещен на нескольких страницах:
1 2 3 4 5 6 7 8 |



