; t* 3. Элементы кинематики жидкости
Кинематикой называют раздел механики, изучающий движение физических тел вообще, вне связи с источником движения (силами). Это определение справедливо и для кинематики жидкости как отдельного раздела гидравлики. 3.1. Методы изучения движения жидкости.
Жидкость представляет собой физическое тело, состоящее из бесконечно большого числа бесконечно малых частиц. С большой степенью точности мы можем рассматривать жидкое тело как сплошную среду, эта модель позволяет значительно упростить решение большинства гидравлических задач. Тем не менее, нередки случаи, когда уровень исследования движения жидкого тела требует глубокого знания физических процессов происходящих в движущейся жидкости на молекулярном уровне. В таких случаях вполне удобная модель сплошной среды может оказаться неприемлемой.
Исходя из практики изучения гидравлики как прикладной дисциплины, можно упомянуть два метода изучения движения жидкости: метод Лагранжа и метод Эйлера.
Описание движения жидкости методом Лагранжа сводится к рассмотрению положения частиц жидкости (в полном смысле слова) в любой момент времени. Так в начальный момент времени частицы находились в точках 1, 2, 3 и 4. По истечении некоторого времени они переместились в точки: Г, 2',3'и4', причём это перемещение сопровождалось изменением объёмов и форм частиц (упругой деформацией). Тогда можно утверждать, что частицы жидкости при
своём движении участвуют в трёх видах движения (поступательном, вращательном и деформации). Для описания такого сложного движения жидкости необходимо, таким образом, определить как траектории частиц, так и гидравлические характеристики частиц (плотность р, температуру Т и скорость и) в функции времени и координат.

Переменные а, Ь, с, и / носят название переменных Лагранжа. Задача сводится к решению систем дифференциальных уравнений в частных производных для каждой части-
цы жидкости. Метод Лагранжа ввиду громоздкости и трудности решения может использоваться в случаях детального изучения поведения лишь отдельных частиц жидкости. Использование этого метода для инженерных расчётов не рентабельно.
Суть другого метода, метода Эйлера заключается в том, что движение жидкости подменяется изменением поля скоростей. Под полем скоростей понимают некоторую достаточно большую совокупность точек бесконечного пространства занятого движущейся жидкостью, когда в каждой точке пространства в каждый момент времени находится частица жидкости с определённой скоростью (вектором скорости). Припишем неподвижным точкам пространства скорость частиц жидкости, которые в данный момент времени находятся в этих точках. Поскольку пространство бесконечно и непрерывно, то мы имеем массив данных о скоростях достаточно полный, чтобы определить (задать) поле в каждой его точке. Условно, нос достаточной точностью такое поле можно считать непрерывным.
Несмотря на то, что исходные условия создания модели движущийся жидкости довольно сложные, тем не менее, метод Эйлера весьма удобен для расчётов.
Построение поля скоростей осуществляется следующим образом:
На некоторый момент времени (например, to) произвольным образом выберем необходимое число точек, в которых находятся частицы жидкости. Приписав их скорости
точкам неподвижного пространства (1, 2, 3, 4, 5 и 6) мы сделаем «моментальную фотографию» поля скоростей на выбранный момент времени. В следующий момент времени
в тех же выбранных точках
неподвижного пространства будут находиться другие частицы жидкости, имеющие другие скорости
. Выполнив уже
известную процедуру второй раз, получим но
вую «моментальную фотографию» поля скоростей на момент времени
. Теперь вместо изучения траекторий частиц жидкости
будем сравнивать поля скоростей. Тогда система уравнений примет вид:

Поле скоростей движения жидкости иногда называют гидродинамическим полем по аналогии с электромагнитным, тепловым и др. полями. Это определение не противоречит физической стороне процесса движения жидкости. Анализируя состояние гидродинамического поля на разные моменты времени
, можно отметить, что с течением времени поле изменилось, несмотря на то, что в отдельных точках 5 и 6 скорости остались постоянными
Такое поле называют нестационарным гидродинамическим полем. В частном случае, когда во всех точках неподвижного пространства с течением времени предыдущие частицы жидкости сменяются другими с такими же скоростями, то поле скоростей во времени не меняется. Такое гидродинамическое поле называют стационарным. В соответствии с этим различают и два вида движения жидкости: установившееся, когда поле скоростей является стационарным и неустановившееся при нестационарном гидродинамическом поле.
3.2.Кинематические элементы движущейся жидкости
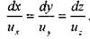
Основной кинематической характеристикой гидродинамического поля является линия тока - кривая, в каждой точке которой вектор скорости направлен по касательной к кривой. И ходя из данного определения можно записать дифференциальное уравнение линии
тока:
![]()
Если через некоторую неподвижную в пространстве кривую провести линии тока, то полученная поверхность называется поверхностью тока, а образованное этой поверхностью тело будет называться трубкой тока. Жидкость, наполняющая трубку тока, называется элементарной струйкой. Поскольку линии тока никогда не пересекаются, то поверхность трубки тока является непроницаемой
внешней границей для элементарной струйки жидкости. Сечение трубки тока, нормальное к линиям тока называется живым сечением элементарной струйки dS. При установившемся движении жидкости понятия линии тока и траектории движения частицы жидкости совпадают. Объём жидкости протекающий через живое
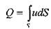
сечение элементарной струйки в единицу времени называется расходом элементарной струйки.
,
где:
объём жидкости, протекающий через живое сечение трубки тока за
время![]()
расход жидкости в живом сечении трубки тока. Размерность расхода жидкости в системе СИ -м/с.
Гидродинамическое поле считается потенциальным (безвихревым), если в этом поле отсутствует вихревое движение жидкости. В потенциальном поле может существовать лишь поступательное или криволинейное движение жидкости.
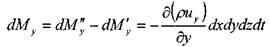
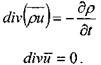
3.3 Уравнение неразрывности жидкости
Если в гидродинамическом поле отсутствуют вихри, то; для такого поля можно записать уравнение, связывающее параметры движущейся жидкости (плотность жидкости) с
параметрами, характеризующими условия движения жидкости. Вывод такого уравнения основан на представлении жидкости как сплошной непрерывной среды, в силу чего такое уравнение получило название уравнения неразрывности.
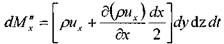
Для этой цели выделим в пространстве малый элемент жидкой среды в виде па
раллелепипеда, стороны которого будут равны соответственно.
. Грани
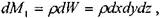
параллелепипеда пусть будут параллельны координатным плоскостям. В центре элемента в данный момент времени будет находиться частица жидкости, плотность которой равна р, а вектор скорости движения и направлен таким образом, что жидкость втекает внутрь элемента через левую, нижнюю и переднюю грани элемента и вытекает через противоположные грани. Будем считать также, что размер элемента достаточно мал, и можно допустить, что в пределах этого элемента изменение плотности жидкости и скорости её движения будет прямо пропорционально расстоянию от центра элемента. Одновременно размеры граней будут достаточно велики по сравнению с точкой, что позволит утверждать, что плотность жидкости и скорость во всех точках граней будут одинаковыми, как и плотность жидкости в пределах соответствующих граней. Тогда произведение плотности жидкости на вектор скорости (импульс) в специальной литературе часто называют вектором
массовой скорости ри.
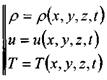
В таком случае проекция вектора массовой скорости в центре левой грани элемента на ось ОХ будет равна:
![]()
а проекция вектора массовой скорости в центре правой грани элемента на ось ОХ:
&
Масса жидкости, поступившая через левую грань элемента за малый интервал времени dt\

масса жидкости, вытекшая через правую грань элемента за малый интервал времени dt:
![]()
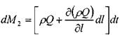
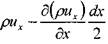
Изменение массы жидкости внутри элемента при движении жидкости вдоль оси ОХ:
![]()
Аналогично, изменение массы жидкости внутри элемента при движении жидкости вдоль оси OY: 1,
![]()
и вдоль оси OZ:
![]()
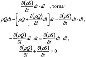
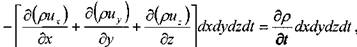
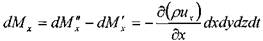
Окончательно, изменение массы жидкости внутри элемента при движении жидкости в произвольном направлении:
? или

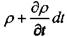
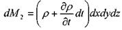
Величина плотности жидкости в начальный момент (до начала движения жидкости t = Q) - р, а по истечении бесконечно малого интервала времени (т. е.![]()

Масса жидкости в объёме выделенного элемента в начальный момент времени:
![]()
для времени
:
![]()
Изменение массы жидкости за бесконечно малый интервал времени dt:
•> или:
i
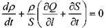
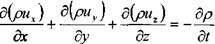
откуда для наиболее общего случая нестационарного поля
дифференциальное
уравнение неразрывности запишется в следующем виде:
![]()
и для частного случая - стационарного поля
:
«
В векторной форме уравнения неразрывности жидкости запишутся в следующем виде:
?
3.4 Уравнение неразрывности для элементарной струйки жидкости
Выделим в элементарной струйке жидкости двумя сечениями 1 - Г и 2 - 2' малый отсек жидкости длиной dl. Объём жидкости внутри выделенного отсека![]()
Масса жидкости, вошедшая в элементарную трубку тока за временной интервал dt, будет равна:
![]()
Масса жидкости, вытекшая за это же время через противоположное сечение отсека:
1 В данном разделе для удобства записи вместо принятых ранее обозначений площади сечения элементарной струйки жидкости dS и элементарного расхода жидкости dQ используются обозначения: S и Q.

За тот же интервал времени масса жидкости внутри отсека изменится на величину:
^ * откуда
*
Окончательно формула может быть представлена в виде
![]()
При установившемся движении жидкости (р = const) уравнение неразрывности примет вид:
![]()
3.5 Элементы кинематики вихревого движения жидкости
Поступательному движению жидкости часто сопутствует вихревое движение, вызванное вращением элементарного объёма жидкости вокруг некоторой оси Такое вращение жидкости называется вихрем; угловая скорость этого элементарного объёма является основной характеристикой вихря Касательная в любой точке вектора вихря - вихревая линия Поверхность образованная вихревыми линиями, проведенными через точки замкнутого контура, называется вихревой трубкой Прямолинейную вихревую трубку с бесконечно малой площадью сечения можно рассматривать как вращающийся твердый цилиндр, окружная скорость которого пропорциональна радиусу. Кинематической характеристикой вихревого течения жидкости является циркуляция скорости, которая служит мерой завихренности. '
5
где: Г - циркуляция вектора скорости,
- проекция вектора скорости на касательную к этому контуру в i-той точ-
ке
- элемент длины контура
В тех случаях, когда вращение жидкости в определённых точках пространства происходит с постоянной скоростью и положение вихря с течением времени не меняется, то такое вихревое движение принято называть стационарным вихрем В иных случаях вихревое движение следует считать не стационарным.
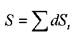
3.6. Поток жидкости
Поток жидкости представляет собой совокупность элементарных струек жидкости. По этой причине основные кинематические характеристики потока во многом совпадают по своему смыслу с аналогичными характеристиками для элементарной струйки жидкости. Тем не менее, различия всё же имеются. Так в отличие от элементарной струйки, которая отделена от остальной жидкости поверхностью трубки тока, образованной линиями тока, поток жидкости имеет реальные границы в виде твёрдой среды, газообразной или жидкой сред. По типу границ потоки можно разделить на следующие виды:
напорные, когда поток ограничен твёрдой средой по всему периметру сечения,
безнапорные, когда часть сечения потока представляет собой свободную поверхность жидкости,
гидравлические струи, когда поток ограничен только жидкой или газообразной средой. Если гидравлическая струя ограничена со всех сторон жидкостью, то она называется затопленной гидравлической струёй, если гидравлическая струя ограничена со всех сторон газовой средой, то такая струя называется незатопленной.
Поперечное сечение потока, расположенное нормально к линиям тока, называется живым сечением потока. Площадь живого сечения потока определяется соотношением:
![]()
Расход жидкости в потоке определяется как отношение объёма жидкости протекающее через живое сечение потока к интервалу времени или определяется следующим соотношением:
![]()
Кроме известной размерности расхода в системе СИ м3/с имеется целый набор внесистемных единиц для измерения расхода жидкости в потоке: м3/сут, л/чс, л/с, и др.
Средней скоростью в живом сечении потока называется величина:
![]()
Смоченным периметром живого сечения потока П называется часть контура живого сечения потока, которая ограничена твёрдой средой. (На рисунке смоченный пери
метр выделен жирной линией).
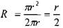
Отношение площади живого сечения потока к длине
смоченного периметра называется гидравлическим радиусом живого сечения.
![]()
Величина гидравлического радиуса круглого сечения радиуса г:
![]()
равна половине величины его геометрического радиуса. Величина гидравлического радиуса трубы квадратного сечения со стороной а, (полностью заполненной жидкостью)
равна![]()
4. Динамика идеальной жидкости
4.1. Дифференциальное уравнение движения идеальной жидкости (при установившемся движении) и его интегрирование
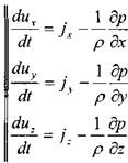
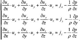
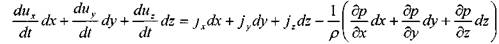
Для вывода уравнения движения жидкости обратимся к записанному ранее уравнению равновесия жидкости (в проекциях на координатные оси), иначе говоря:
. Поскольку в идеальной жидкости никаких сосредоточенных сил действовать не может, то последнее уравнение чисто условное. Когда равнодействующая отлична от 0,
то жидкость начнёт двигаться с некоторой скоростью, т. е. в соответствии со вторым законом Ньютона, частицы жидкости, составляющие жидкое тело получат ускорение.
![]()
Тогда уравнение движения жидкости в проекциях на координатные оси можно записать в следующем виде:

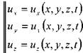
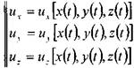
Согласно основному положению о поле скоростей (метод Эйлера) для проекций скоростей движения жидкости можно записать следующее:

или (для установившегося движения жидкости):

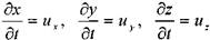
Найдём первые производные от скоростей по времени, т. е. определим ускорения вдоль осей координат:

отметим, что:

' * /
Теперь подставив выражения для ускорений в исходную систему дифференциальных уравнений движения жидкости, получим систему уравнений Эйлера в окончательном ви-де2:

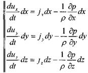
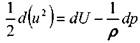
Теперь вновь обратимся к системе дифференциальных уравнений движения жидкости, умножив обе части 1-го уравнения на dx, 2-го уравнения на dy, 3-го уравнения на dz, получим:

и просуммировав эти уравнения по частям, получим:
![]()
2 При неустановившемся движении жидкости уравнения Эйлера дополняются первыми слагаемыми.
![]()
Преобразуем левую часть полученного уравнения, полагая, что
в результате запишем
![]()
Слагаемые в правой части уравнения являются полными дифференциалами функций.

Теперь уравнение примет вид
![]()
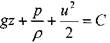
Если из массовых сил на жидкость действует только сила тяжести, то
, и
> ,*
тогда получим:
![]()
После интегрирования получим:
?
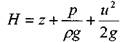
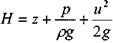
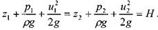
разделив почленно все члены уравнения на g, получим так называемое уравнение Бернулли
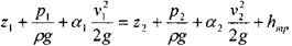
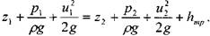
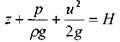
![]()
Здесь величина Н называется гидродинамическим напором Величина гидродинамического напора постоянна для всех живых сечений элементарной струйки идеальной жидкости.
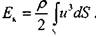
4.2. Уравнение Бернулли для элементарной струйки идеальной жидкости
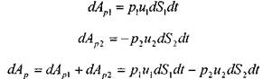
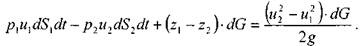
Выделим двумя нормальными к линиям тока сечениями 1 - 1 и 2 - 2 отсек жидкости, который будет находиться под действием сил давления
и сил тяжести dG Под действием этих сил через малый промежуток времени отсек жидкости из своего первоначального положения переместится в положение между __сечениями
Силы давления, приложен
ные к живым сечениям отсека с правой и с левой сто-
рон имеют противоположные друг другу направления.
![]()
Перемещение всего отсека жидкости можно заменить перемещением массы жидкости между сечениями: 1-1иГ-Г в положение 2-2и2'-2', при этом центральная часть отсека жидкости (можно утверждать) своего первоначального положения не меняет и в движении жидкости участия не принимает.
Тогда работа сил давления по перемещению жидкости
можно определить следующим образом:

Работа сил тяжести будет равна работе по перемещению веса отсека жидкости на разницу уровней
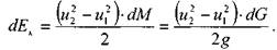
При перемещении отсека жидкости кинетическая энергия изменится на величину:
f
Теперь запишем общее уравнение баланса энергии:
![]()
Разделив все элементы уравнения на dG и, переместив в левую часть уравнения величины с индексами «1» а в правую - с индексом «2», получим:
![]()
Это последнее уравнения носит название уравнения Бернулли для элементарной струйки идеальной жидкости.
4.3. Интерпретация уравнения Бернулли
Все члены уравнения Бернулли имеют линейную размерность и представляют собой напоры:
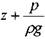
z - называется геометрическим напором (геометрической высотой), представляет собой место положения центра тяжести живого сечения элементарной струйки относительно плоскости сравнения,
![]()
- называется пьезометрическим напором (пьезометрической высотой),
представляет собой высоту, на которую могла бы подняться жидкость при отсутствии движения
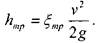
- носит название скоростного напора.
- носит название гидродинамического напора
Уравнение Бернулли является выражением закона сохранения механической энергии движущейся жидкости, по этой причине все части уравнения представляют собой величины удельной энергии жидкости:
z - удельная энергия положения,
- удельная энергия давления,
- удельная потенциальная энергия,
- удельная кинетическая энергия
- удельная механическая энергия.
5. Динамика реальной (вязкой жидкости)
При изучении движения реальной (вязкой жидкости) можно пойти двумя разными путями:
воспользоваться готовыми дифференциальными уравнениями и их решениями, полученными для идеальной жидкости. Учёт проявления вязких свойств осуществляется с помощью введения в уравнения дополнительных поправочных членов уравнения, вывести новые уравнения для вязкой жидкости.
Для практической инженерный деятельности более приемлемым следует считать первый полуэмпирический путь, второй следует использовать лишь в тех случаях, когда требуется детальное изучение процесса движения вязкой жидкости. По этой причине ограничимся лишь записью систем дифференциальных уравнений Навье - Стокса и поверхностным анализом этих уравнений.
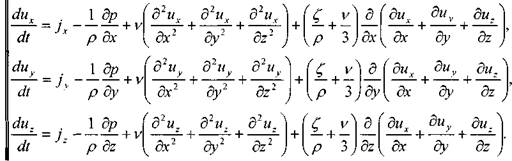
5.1. Система дифференциальных уравнений Навье - Стокса

При
= const и
= const система уравнений значительно упростятся:

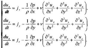
Пренебрегая величинами вторых вязкостей
и считая жидкость несжимаемой
(р = const), уравнения Навье - Стокса запишутся в следующем виде:

К уравнениям Навье - Стокса в качестве дополнительного уравнения принимается уравнение неразрывности. Учитывая громоздкость и трудность прямого решения задачи в практической деятельности (в случаях, когда это считается допустимым) решение достигается первым методом (по аналогии с движением идеальной жидкости).
5.2. Уравнение Бернулли для элементарной струйки вязкой жидкости
Выделим в элементарной струйке жидкости двумя сечениями 1 - 1 и 2 - 2 отсек жидкости. Отсек жидкости находится под действием сил давления
и сил тяжести на жидкость в отсеке действуют также силы инерции самой движущейся жидкости, а также силы трения, препятствующие перемещению
жидкости. В результате действия сил внутреннего трения часть механической энергии жидкости расходуется на преодоление возникающих сопротивлений. По этой причине величины гидродинамических напоров в сечениях будут неодинаковы. Естественно, что
//2 .Тогда разность гидродинамических напоров в крайних сечениях отсеков
будут как раз характеризовать потери напора на преодоление сил трения. Эта величина носит название потерь напора на трение![]()
В этом случае уравнение Бернулли примет следующий вид:
![]()
- потери удельной энергии (преобразование потенциальной энергии жидкости в тепловую энергию при трении).
Величина
носит название гидравлического уклона.
5.3. Уравнение Бернулли для потока реальной жидкости
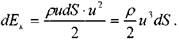
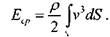
При массовом расходе в живом сечении элементарной струйки.
кинетическая энергия жидкости проходящей через это сечение в единицу времени будет равна:
![]()
Суммируя величины кинетической энергии всех элементарных струек проходящих через живое сечение потока жидкости, найдём полную кинетическую энергию для всего
д
живого сечения потока
![]()
С другой стороны, полагая, что скорости во всех элементарных струйках одинаковы и равны средней скорости движения жидкости в живом сечении потока, таким же образом вычислим полную кинетическую энергию в этом же живом сечении потока.
![]()
Вполне очевидно, что величины этих энергий не равны, т. е.
![]()
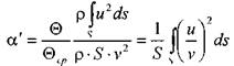
Тогда коэффициент, учитывающий неравномерность распределения скоростей по сечению (коэффициент Кориолиса) можно определить как соотношение кинетических энергий:
т?
Внося эту поправку в уравнение для элементарной струйки жидкости, получим уравнение для потока конечных размеров. Практически а= 1.0- 2,0.
![]()
Кроме коэффициента Кориолиса, учитывающего неравномерность распределения кинетической энергии по живому сечению потока, существует аналогичный показатель для величины количества движения, коэффициент Буссинэ![]()
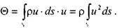
Секундное количество движения для потока жидкости можно определить как интегральную сумму количества движения элементарных масс жидкости, протекающих через бесконечно малые площадки ds в пределах площади всего живого сечения S, т. е.
![]()
Аналогичным образом, величина количества движения жидкости в живом сечении при условии равномерного распределения скоростей по сечению потока будет:
![]()
Отсюда коэффициент Буссинэ определится следующим образом:

В связи с тем, что величина коэффициента количества движения (коэффициент Буссинэ) невелика и не превышает 1,05, поправкой в расчётах обычно пренебрегают,
5.4. Гидравлические сопротивления
Потери удельной энергии в потоке жидкости, безусловно, связаны с вязкостью жидкости, но сама вязкость - не единственный фактор, определяющий потери напора. Но можно утверждать, что величина потерь напора почти всегда пропорциональны квадрату средней скорости движения жидкости. Эту гипотезу подтверждают результаты большинства опытных работ и специально поставленных экспериментов. По этой причине потери напора принято исчислять в долях от скоростного напора (удельной кинетической энергии потока). Тогда:
![]()
Потери напора принято подразделять на две категории:
потери напора, распределённые вдоль всего канала, по которому перемещается жидкость (трубопровод, канал, русло реки и др.), эти потери пропорциональны длине канала и называются потерями напора по длине
сосредоточенные потери напора: потери напора на локальной длине потока (достаточно малой по сравнению с протяжённостью всего потока). Этот вид потерь во многом зависит от особенностей преобразования параметров потока (скоростей, формы линий тока и др.). Как правило, видов таких потерь довольно много и их расположение по длине потока зачастую далеко не закономерно. Такие потери напора называют местными потерями или потерями напора на местных гидравлических сопротивлениях. Это вид потерь напора
также принято исчислять в долях от скоростного напора![]()
Тогда полные потери напора можно представить собой как сумму всех видов потерь напора:

Оценка величины местных потерь напора практически всегда базируются на результатах экспериментов, по результатам таких экспериментов определяются величины коэффициентов потерь. Для вычисления потерь напора по длине имеются более или менее надёжные теоретические предпосылки, позволяющие вычислять потери с помощью привычных формул.
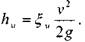
5.5. Потери напора на местных гидравлических сопротивлениях Несмотря на многообразие видов местных гидравлических сопротивлений, их всё же можно при желании сгруппировать:
потери напора в руслах при изменении размеров живого сечения, потери напора на местных гидравлических сопротивлениях, связанных с изменением направления движения жидкости, потери напора при обтекании преград.
|
Из за большого объема этот материал размещен на нескольких страницах:
1 2 3 4 5 6 7 8 |



