
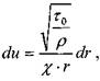
После интегрирования:
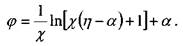
Последнее выражение преобразуется к следующему виду:

Развивая теорию Прандтля, Никурадзе и Рейхардт предложили аналогичную зависимость для круглых труб.
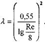
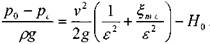
Потери напора на трение в турбулентном потоке жидкости. При исследовании вопроса об определении коэффициента потерь напора на трение в гидравлически гладких трубах можно прийти к мнению, что этот коэффициент целиком зависит от числа Рей-нольдса. Известны эмпирические формулы для определения коэффициента трения, наиболее широкое распространение получила формула Блазиуса:
![]()
По данным многочисленных экспериментов формула Блазиуса подтверждается в пределах значений числа Рейнольдса от
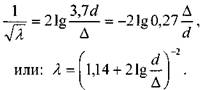
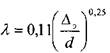
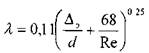
до 1Другой распространённой эмпирической формулой для определения коэффициента Дарси является формула :
![]()
Формула имеет более широкий диапазон применения до значений числа Рейнольдса в несколько миллионов. Почти совпадающие значения по точности и области применения имеет формула :

Изучение движения жидкости по шероховатым трубам в области, где потери напора определяются только шероховатостью стенок труб,
и не зависят от скорости
движения жидкости, т. е. от числа Рейнольдса осуществлялось Прандтлем и Никурадзе. В результате их экспериментов на моделях с искусственной шероховатостью была установлена зависимость для коэффициента Дарси для этой так называемой квадратичной области течения жидкости:

Для труб с естественной шероховатостью справедлива формула Шифринсона

где:
- эквивалентная величина выступов шероховатости. Ещё более сложная обстановка связана с изучением движения жидкости в переходной области течения, когда величина потерь напора зависит от обоих факторов,
Наиболее приемлемых результатов добились Кёллебрук - Уайт:

Несколько отличная формула получена :

Формула Френкеля хорошо согласуется с результатами экспериментов других авторов с отклонением (в пределах 2 - 3%). Позднее получил простую и удобную для расчётов формулу:

Обобщающие работы, направленные на унификацию результатов экспериментов, проведенных разными авторами, ставили перед собой цель связать воедино исследования потоков жидкости в самых разнообразных условиях. Результаты представлялись в графи-

ческой форме (широко известны графики Никурадзе, Зегжда, Мурина, опубликованные в специальной литературе и учебных пособиях). Графики Никурадзе построены для труб с искусственной шероховатостью, графики Зегжда для прямоугольных лотков с искусственно приданной равномерной шероховатостью. Наиболее часто употребляемыми являются графики построенные Никурадзе.
На графике зависимости легко различимы все четыре области течения жидкости.
I ламинарное течение жидкости (прямая А),
II турбулентное течение жидкости в гидравлически гладких трубах (прямая В),
![]()
III переходная область течения жидкости,
IV квадратичная область течения жидкости,
6.4. Кавитационные режимы движения жидкости
В жидкости при любом давлении и температуре всегда растворено какое-либо количество газов. Уменьшение давления в жидкости ниже давления насыщения жидкости газом сопровождается выделением рас
творённых газов в свободное состояние, и, ГпасЬики наоборот, при повышении давления, выде-
лившиеся из жидкости газы, вновь переходят в растворённое состояние. Изменение давления в жидкости может приводить и к изменению агрегатного состояния жидкости (переход жидкости в пар и пара в жидкое состояние). Если жидкость движется в закрытой системе, то колебания давления в потоке могут приводить к образованию локальных зон низкого давления и как следствие, в этих зонах происходят процессы образования паров жидкости («холодное» кипение жидкости) и её раз газирование. При этом, процесс разга-зирования, как правило - процесс более медленный, чем процесс парообразования. Однако и в том и в другом случае появление свободного газа и, тем более пара, в замкнутом пространстве крайне не желательно. Появление пузырьков газовой фазы говорит о том, что в жидкости появился разрыв. Далее эти пузырьки переносятся движущейся жидкостью. Процесс образования пузырьков пара в жидкости носит название паровой кавитации, образование пузырьков газа вызывает газовую кавитацию. При попадании в зону высокого давления пузырьки газа растворяются в жидкости, а пузырьки пара конденсируют-
ся. Поскольку последний процесс происходит почти мгновенно, говорят о том, что пузырьки схлопываются. Особенно интенсивно процессы схлопывания пузырьков пара происходит в месте контакта их с твёрдыми телами (стенки труб, элементы гидромашин и т. д.). Отрицательное воздействие пузырьков пара на элементы гидросистем заключаются в особенности их контакта с твёрдыми телами: при приближении к твёрдой границе пузырьки пара деформируются, что приводит к явлению подобному детонации. При таком воздействии свободного пара и газа на твердые элементы внутренних конструкций гидромашин, они разрушаются и выходят из строя. Для оценки режима течения жидкости вводят специальный критерий; число кавитации К f '

7. Истечение жидкости из отверстий и насадков >
7.1. Отверстие в тонкой стенке
Одной из типичных задач гидравлики, которую можно назвать задачей прикладного
характера, является изучение процессов, связанных с истечением жидкости из отверстия в тонкой стенке и через насадки. При таком движении вся потенциальная энергия жидкости находящейся в ёмкости (резервуаре) в конечном итоге расходуется на кинетическую энергию струи, вытекающей в газообразную среду, находящуюся под атмосферным давлением или (в отдельных случаях) в жидкую среду при определённом давлении. Отверстие будет считаться малым, если его размеры несоизмеримо малы по сравнению с размером свободной поверхности в резервуаре и величиной напора. Стенка называется тонкой, если величиной гидравлических сопротивлений по длине канала в тонкой стенке можно пренебречь. В таком случае частицы жидкости со всех сторон по криволинейным траекториям движутся с некоторым ускорением к отверстию. Дойдя до отверстия, струя жидкости отрывается от стенки и испытывает преобразования уже за пределами отверстия.
7.2. Истечение жидкости из отверстия в тонкой стенке при установившемся
движении (жидкости).
Истечение жидкости в газовую среду при атмосферном давлении. При истечении из
отверстия в тонкой стенке криволинейные траектории частиц жидкости сохраняют свою форму и за пределами отверстия, т. е. после выхода из отверстия сечение струи уменьшается и достигает минимальных значений на расстоянии равном
(d - диаметр отверстия). Таким образом, в сечении
В - В будет находиться как называемое сжатое сечение струи жидкости. Отношение площади
чения струи к площади отверстия называется коэффсщииитоживинфиясфэ&мзвтачаетр^ивсек
гда:![]()
![]()
где: s - площадь отверстия,
зсж - площадь сжатого сечения струи, s - коэффициент сжатия струи.
Запишем уравнение Бернулли для двух сечений А - А и В - В. В связи с тем, что отверстия в стенке является малым сечение В - В можно считать «горизонтальным» (ввиду малости отверстия), проходящим через центр тяжести сжатого сечения струи.
i. *"*![]()
Поскольку величина скоростного напора на свободной поверхности жидкости (сечение А - А) мала из-за малости скорости, то её величиной можно пренебречь. В данном случае истечение жидкости происходит в атмосферу, следовательно р{ - р0. Тогда:
![]()
т г
F> f
Поскольку в тонкой стенке потери напора по длине бесконечно малы, то
![]()
где'
- коэффициент потерь напора в тонкой стенке Следовательно, скорость в сжатом сечении струи будет равна:
![]()
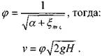
Первый сомножитель в равенстве носит название коэффициента скорости'

Определим расход жидкости при её истечении из отверстия (заметим, что скорость истечения жидкости у нас относится к площади сжатого живого сечения струи):
![]()
где:
- называется коэффициентом расхода.
При изучении процесса истечения жидкости предполагалось, что ближайшие стенки и дно сосуда находятся на достаточно большом удалении от отверстия:
, т. е. не ближе
тройного расстояния от направляющих стенок. В этом случае все линии тока имеют одинаковую кривизну, и такое сжатие струи
называется совершенным сжатием. В иных случаях близко расположенные стенки являются для струи направляющими элементами, и её сжатие будет несовершенным (не оди-
наковым со всех сторон). В тех случаях, когда отверстие непосредственно примыкает к одной из сторон отверстия (сечение отверстия не круглое), сжатие струи будет неполным. При неполном и несовершенном сжатии струи наблюдается некоторое увеличение коэффициента расхода. При полном совершенном сжатии струи коэффициент сжатия достигает 0,60 - 0,64. Величины коэффициентов сжатия струи, коэффициента расхода зависят
от числа Рейнольдса (см. рисунок), причём коэффициенты сжатия и скорости в разных направлениях: с возрастанием числа Рейнольдса коэффициент скорости увеличивается, а коэффициент сжатия струи убывает. В результате этого коэффициент расхода оста
ётся практически неизменным (исключением являются потоки жидкости с весьма малыми числами Рейнольдса).
Величины коэффициента расхода измеряются простым замером фактического расхода жидкости через отверстие и сопоставлением его с теоретически вычисленным значением.
![]()
Коэффициент сжатия струи измеряется путём непосредственного определения сжатого сечения струи, коэффициент скорости - по траектории струи.
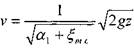
Истечение жидкости через затопленное отверстие. Истечение через затопленное отверстие в тонкой стенке, т. е. под уровень жидкости ничем существенным не отличается от истечения в атмосферу.
Пусть в резервуаре имеется перегородка с отверстием, уровни жидкости находятся
на отметках
и
относительно плоскости сравнения, проходящей через центр тяжести отверстия. Запишем уравнение Бернулли для свободных поверхностей жидкости (сечение А - А и сечение В - В относительно
плоскости сравнения О - О).


Потери напора состоят из двух частей: потеря напора при истечении из отверстия в тонкой стенке (как при истечении в атмосферу):
![]()
и потеря на внезапное расширение струи от сжатого сечения до сечения резервуара:
р
*
Подставив полученные выражения для видов потерь в предыдущее уравнение, получим:

В данном случае действующим напором является разность уровней свободных поверхностей жидкости z. Скорость истечения будет равна:
j * *
*
Обозначив:
получим выражение для расхода жидкости1
•>
7.3. Истечение жидкости через насадки.
Насадками называются короткие трубки, монтируемые, как правило, с внешней стороны резервуара таким образом, чтобы внутренний канал насадка полностью соответствовал размеру отверстия в тонкой стенке. Наличие такой направляющей трубки приве
дет к увеличению расхода жидкости при прочих равных условиях. Причины увеличения следующие При
отрыве струи от острой кромки отверстия струя попадает в канал насадка, а поскольку струя испытывает сжатие, то стенок насадка она касается на расстоянии от 1,0 до 1,5 его диаметра. Воздух, который первоначально находится в передней части насадка, вследствие неполного заполнения его жидкостью постепенно выносится вместе с потоком жидкости. Таким образом, в этой области образуется «мёртвая зона», давление в которой ниже,
чем давление в окружающей среде (при истечении в атмосферу в «мёртвой зоне» образуется вакуум). За счёт этих факторов увеличивается перепад давления между резервуаром и областью за внешней его стенкой и в насадке генерируется так называемый эффект подсасывания жидкости из резервуара. Однако наличие самого насадка увеличивает гидравлическое сопротивление для струи жидкости, т. к. в самом насадке появляются потери напора по длине трубки. Если трубка имеет ограниченную длину, то влияние подсасывающего эффекта с лихвой компенсирует дополнительные потери напора по длине. Практически эти эффекты (подсасывание и дополнительные сопротивления по длине) компенсируются при соотношении: / = 55 d. По этой причине длина насадков ограничивается / = (3 -5)d . По месту расположения насадки принято делить на внешние и внутренние насадки. Когда насадок монтируется с внешней стороны резервуара (внешний насадок), то он оказывается более технологичным, что придаёт ему преимущество перед внутренними насадками. По форме исполнения насадки подразделяются на цилиндрические и конические, а по форме входа в насадок выделяют ещё коноидальные насадки, вход жидкости в которые выполнен по форме струи.
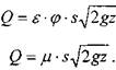
Внешний цилиндрический насадок. При истечении жидкости из цилиндрического насадка сечение выходящей струи и сечение отверстия одинаковы, а это значит, что коэффициент сжатия струи
= 1. Скорость истечения:

Приняв
, коэффициенты скорости и расхода:
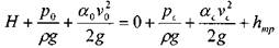
Для вычисления степени вакуума в «мёртвой зоне» запишем уравнение Бернулли для двух сечений относительно плоскости сравнения проходящей через ось насадка: А - А и С - С (ввиду малости поперечного размера насадка сечение С - С будем считать «горизонтальным»,^ плоским):
![]()
Величину
часто называют действующим напором, что соответствует
избыточному давлению. Приняв, а0 =ас =1 получим:
![]()
Учитывая, что для цилиндрического насадка
= 0,82, получим:

Для затопленного цилиндрического насадка все приведенные выше рассуждения остаются в силе, только за величину действующего напора принимается разность уровней свободных поверхностей жидкости между питающим резервуаром и приёмным резервуаром.
Если цилиндрический насадок расположен под некоторым углом к стенке резервуара
(под углом к вертикальной стенке резервуара или горизонтальный насадок к наклонной стенке резервуара), то коэффициент скорости и расхода можно вычис
лить, вводя соответствующую
поправку:
где:![]()
Значения коэффициента расхода можно взять из следующей таблицы:

Сходящиеся насадки. Если придать насадку форму конуса, сходящемуся по направлению к его выходному отверстию, то такой насадок будет относиться к группе сходящихся конических насадков. Такие насадки характеризуются углом конусности а. От величины этого угла зависят все характеристики насадков. Как коэффициент скорости, так и коэффициент расхода увеличиваются с увеличением угла конусности, при угле
»
конусности в 13° достигается максимальное значение ко-
эффициента расхода превышающее 0,94. При дальнейшем увеличении угла конусности насадок начинает работать как отверстие в тонкой стенке, при этом коэффициент скорости продолжает увеличиваться, а коэффициент расхода начинает убывать. Это объясняется тем, что уменьшаются потери на расширение струи после её сжатия. Область применения сходящихся насадков связана с теми случаями, когда необходимостью иметь большую выходную скорость струи жидкости при значительном напоре (сопла турбин, гидромониторы, брандспойты)•
Расходящиеся насадки. Вакуум в сжатом сечении расходящихся насадков больше, чем у цилиндрических насадков и увеличивается с возрастанием угла конусности, что увеличивает расход жидкости. Но с увеличением угла конусности расходящихся насадков возрастает опасность отрыва струи от стенок насадков. Необходимо отметить, что потери энергии в расходящемся насадке больше, чем в насадках других типов. Область применения расходящихся насадков охватывает те случаи, где требуется большая пропускная способность при малых выходных скоростях жидкости (водоструйные насосы, эжекторы, гидроэлеваторы и др.)
Коноидальные насадки. В коноидальных насадках вход в насадки выполнен по профилю входящей струи. Это обеспечивает уменьшение
потерь напора до минимума. Так значение коэффициентов скорости и расхода в коноидальных цилиндрических насадков достигает 0,97 - 0,Истечение жидкости через широкое отверстие в боковой стенке. Истечение жидкости через большое отверстие в боковой стенке сосуда отличается от
истечения через малое отверстие тем, что величина напора будет различной для различных площадок в сечении отверстия. Максимальным напором будет напор в площадках примыкающих к нижней кромке отверстия. В связи с этим и скорости в различных элементарных струйках проходящих
через сечение отверстия также будут неодинаковы В то же время давление во внешней среде, в которую происходит истечение жидкости одинаково и равно атмосферному давлению.
Выделим в площади сечения отверстия малый элемент его сечения высотой dH, расположенный на глубине Н под уровнем свободной поверхности жидкости.
Тогда расход жидкости через этот элемент сечения отверстия будет равен:
![]()
где Н - глубина погружения центра тяжести элемента площади сечения отверстия
под уровень свободной поверхности жидкости. Полный расход жидкости через всё сечение отверстия будет:

Данное выражение будет справедливым, если величиной скоростного напора на свободной поверхности жидкости можно пренебречь.
7.5. Неустановившееся истечение жидкости из резервуаров.
Истечение из резервуара произвольной формы с постоянным притоком. Резервуары являются наиболее распространёнными хранилищами различных жидкостей. К наиболее существенным технологическим операциям с резервуарами относятся операции заполнения резервуаров и операции опорожнения. Если операция заполнения никаких существенных проблем перед гидравликой не ставит, то опорожнение резервуара может рассматриваться как прямая гидравлическая задача.
Пусть, в самом общем случае, имеем резервуар произвольной формы (площадь горизонтального сечения резервуара является некоторой функцией его высоты). В резервуар поступает жидкость с постоянным расходом Q0. Задача сводится к нахождению времени
необходимого для того, чтобы уровень жидкости в резервуаре изменился с высоты взлива
до
. Отметим, что площадь горизонтального сечения резервуара несоизмеримо велика по сравнению с площадью живого сечения вытекающей струи жидкости, т. е величиной скоростного напора в резервуаре можно пренебречь (уровень жидкости в резервуаре меняется с весьма малой скоростью).
Величина расхода при истечении жидкости является переменной и зависит от напора, т. е. текущей высоты взлива жидкости в резервуаре
Уровень жидкости в резервуаре будет подниматься, если
и снижаться когда
, при притоке
уровень жидкости в резервуаре будет постоянным. Поскольку движение жидкости при истечении
из отверстия является неустановившемся, решение поставленной задачи осуществляется методом смены стационарных состояний. Зафиксируем уровень жидкости в резервуаре на отметке
. Этому уровню будет соответствовать расход жидкости при истечении из отверстия:
![]()
За бесконечно малый интервал времени из резервуара вытечет объём жидкости равный:
![]()
За этот же интервал времени в резервуар поступит объём жидкости равный:
![]()
Тогда объём жидкости в резервуаре изменится на величину
:

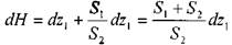
Выразив величину притока жидкости в резервуар Qo подобно расходу Q, получим:
![]()
Тогда время, за которое уровень жидкости изменится на величину dH :
![]()
Для дальнейшего решения резервуар следует разбить на бесконечно тонкие слои, для которых можно считать, что площадь сечения резервуара в пределах слоя постоянна.
Тем не менее, практического значения задача (в общем виде) не имеет. Чаще всего требуется искать время полного опорожнения резервуара правильной геометрической формы: вертикальный цилиндрический резервуар (призматический), горизонтальный цилиндрический, сферический.
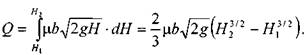
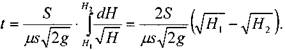
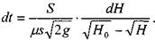
Истечение жидкости из вертикального цилиндрического резервуара. Вертикальный цилиндрический резервуар площадью поперечного сечения S заполнен жидкостью до уровня Н. Приток жидкости в резервуар отсутствует. Тогда дифференциальное уравнение истечения жидкости будет
иметь вид:
i
Для начала определим время необходимое для перемещения уровня жидкости с отметки
до![]()

Когда
= Н а = 0, то время полного опорожнения резервуара составит:
![]()
Таким образом, время полного опорожнения резервуара в два раза больше, чем время истечения этого же объёма жидкости при постоянном напоре равном максимальному напору Я.
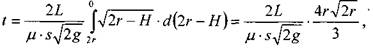
Истечение жидкости из горизонтального цилиндрического резервуара. В отличие от вертикального резервуара, площадь сечения свободной поверхности и горизонтального сечения резервуара - величина переменная и зависит от уровня жидкости в резервуаре.

Время полного опорожнения резервуара:
![]()
или, обозначив: D = 2 получим:
![]()
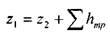
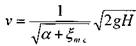
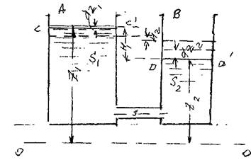
Переток жидкости между резервуарами при переменных уровнях жидкости. Если два резервуара соединены между собой, то при разных уровнях жидкости в этих резервуарах будет происходить переток жидкости из резервуара с более высоким положением уровня свободной поверхности в резервуар, где эта поверхность будет расположена на более низкой отметке. Переток будет осуществляться при переменном (убывающем) расходе и продолжаться до тех пор, пока уровни жидкости в обоих резервуарах не сравняются.
Рассмотрим два резервуара А и В, соединённые между собой трубопроводом с площадью сечения s. Питающий резервуар А имеет более высокий уровень жидкости
С - С' относительно плоскости сравнения О - О, который равен
, площадь сечения резервуара А равна
. Приёмный резервуар В имеет более низкий уровень жидкости D - D', который относительно плоскости сравнения равен z2,
площадь сечения этого резервуара -
. Переток жидкости
обеспечивается переменным действующим напором равным Н =
. Поскольку оба
этих уровня меняются во времени,, то и действующий напор Я тоже будет переменным.
Пусть начальный действующий напор будет равен
, а действующий на-
пор на конец интересующего нас периода будет равным
(в общем случае он может быть не равен 0). Тогда за время dt из резервуара А в резервуар В при некотором напоре Я через соединительный трубопровод перетечёт объём жидкости равный:
?
где:
- коэффициент расхода системы, т. е. соединительного трубопровода.
При этом в резервуаре А уровень жидкости понизится на величину
, а в резервуаре В, наоборот, повысится на величину. При этом действующий напор также изменится на величину:
![]()
Изменения уровней жидкости в резервуарах будут связаны между собой:
?
Тогда:
•>
откуда:
![]()
Поскольку площадь сечения резервуара постоянная, то необходимо лишь выразить
через действующий напор Н.
, тогда:
, откуда:
![]()
Окончательно:
> или:
![]()
В том случае, когда уровни в резервуарах сравняются
:
![]()
8. Движение жидкостей в трубопроводах
8.1. Классификация трубопроводов
Роль трубопроводных систем в хозяйстве любой страны, отдельной корпорации или просто отдельного хозяйства трудно переоценить. Системы трубопроводов в настоящее время являются самым эффективным, надёжным и экологически чистым транспортом для жидких и газообразных продуктов. Со временем их роль в развитии научно-технического прогресса возрастает. Только с помощью трубопроводов достигается возможность объединения стран производителей углеводородного сырья со странами потребителями. Большая доля в перекачке жидкостей и газов по праву принадлежит системам газопроводов и нефтепроводов, но значительную роль играют такие системы как водоснабжение и канализация, теплоснабжение и вентиляция, добыча некоторых твёрдых ископаемых и их гидротранспорт. Практически в каждой машине и механизме значительная роль принадлежит трубопроводам.
По своему назначению трубопроводы принято различать по виду транспортируемой по ним продукции:
газопроводы,
- нефтепроводы,
- водопроводы, воздухопроводы,
- продуктопроводы.
По виду движения по ним жидкостей трубопроводы можно разделить на две категории:
напорные трубопроводы,
безнапорные (самотёчные) трубопроводы.
Также трубопроводы можно подразделить по виду сечения: на трубопроводы круглого и не круглого сечения (прямоугольные, квадратные и другого профиля). Трубопроводы можно разделить и по материалу, из которого они изготовлены: стальные трубопроводы, бетонные, пластиковые и др.
Дать полную и исчерпывающую классификацию трубопроводов вряд ли удастся из-за многообразия их функций и областей использования. Нас будут интересовать лишь те классификации, которые влияют на принятые методы и способы описания движения по ним жидкостей и газов.
8.2. Простой трубопровод
Основным элементом любой трубопроводной системы, какой бы сложной она ни была, является простой трубопровод. Классическим определением его будет- простым
трубопроводом является трубопровод, собранный из труб одинакового диаметра и качества его внутренних стенок, в котором движется транзитный поток жидкости, и на котором нет местных гидравлических сопротивлений.
При напорном движении жидкости простой трубопровод работает полным
сечением
= const. Размер
сечения трубопровода (диаметр или величина гидравлического радиуса), а также его протяжённость (длина) трубопровода (/, L) являются основными геометрическими характеристиками трубопровода. Основными технологическими характеристиками трубопровода являются расход жидкости в трубопроводе Q и напор
(на головных сооружениях трубопровода, т. е. в его начале). Большинство других характеристик простого трубопровода являются, не смотря на их важность, производными характеристиками. Поскольку в простом трубопроводе расход жидкости транзитный (одинаковый в начале и конце трубопровода), то средняя скорость движения жидкости в трубопроводе постоянна
. Для установившегося движения жидкости по трубопроводу средняя скорость движения жидкости определяется по формуле Шези:
|
Из за большого объема этот материал размещен на нескольких страницах:
1 2 3 4 5 6 7 8 |



