Индекс Доу-Джонса представляет систему из четырех самостоятельных индексов, образующих корзину индекса: промышленного, транспортного, коммунального и комплексного. В связи с электронной взаимосвязью между крупными фондовыми биржами мира индексы Доу-Джонса способны фактически отражать конъюнктуру мирового бизнеса.
Индексы Доу-Джонса представляют сумму цен акций ведущих компаний, поделенной на некоторый корректирующий делитель. Этот делитель изменяется значительно медленнее, чем цены на акции, и может не меняться в течение длительного времени (дней, недель). Это обусловлено тем, что данный индекс реагирует только на изменение биржевой конъюнктуры, а не на такие события как: дробление (укрупнение) номиналов акций, замещение в списке индекса Доу-Джонса акций одной компании на акции другой, имеющие иную цену и т. п.
Чтобы это обеспечивать, изменение арифметической суммы цен акций компенсируется изменением корректирующего делителя:
,
где j – индекс;
- сумма цен акций компаний, входящих в список индекса Доу-Джонса;
k – корректирующий делитель.
;
.
В историческом плане корректирующий делитель имеет тенденцию к снижению и по оценкам специалистов его абсолютное значение имеет скорее психологический смысл, чем аналитический. Если эти кривые растут и не опускаются ниже отметок, которые в недавнем прошлом были признаны нежелательными, то это означает, что складывается благоприятная конъюнктура для приобретения ценных бумаг. Если кривая индексов снижается, то целесообразно продавать акции.
Следует отметить, что методики расчета других биржевых и фондовых индексов основаны, как правило, на тех же принципах, что и построение индекса Доу-Джонса, а именно:
- на формировании списка акционерных обществ, занимающих ведущее место в экономике (отрасли);
- на характеристике набора цен на каждую из акций списка, т. е. биржевой конъюнктуры;
- на формирование набора факторов, имеющих наибольшую тесноту связи с фондовыми индексами;
- на учете влияния вышеназванных факторов на индекс и построение многофакторной модели, на основе которой возможно осуществление прогностических расчетов.
На российском фондовом рынке получили распространение следующие индексы:
1. Индекс АО «АК&М” с базовым значением 1000 (с 1 сентября 1993 года). Этот индекс имеет четыре разновидности:
а) банковский: рассчитывается по акциям 10 крупнейших банков;
б) отраслевые: рассчитываются на основе списка эмитентов по промышленности, транспорту, связи, торговли и других отраслей хозяйства;
в) акций приватизированных предприятий: рассчитывается по акциям 40 предприятий различных отраслей хозяйства;
г) сводный: рассчитывается по акциям банков, предприятий промышленности, транспорта, связи, торговли.
Как показала практика, курсы ценных бумаг российских эмитентов не всегда совпадали с динамикой индекса “АК&М”. Это было обусловлено тем, что для российского фондового рынка в большей мере характерны спекулятивные ожидания.
2. Индекс SOBI отражает спекулятивные настроения участников рынка ценных бумаг. Он составляется как долларовый, так и рублевый. Для расчета данного индекса используются данные по эмитентам, на акции которых имеется повышенный спрос.
3. Сводный фондовый индекс ММВБ отражает конъюнктуру рынка государственных ценных бумаг.
Следует, однако, отметить, что поскольку в России широко распространен внебиржевой рынок ценных бумаг, то распространение получают индексы этого рынка. К их числу относятся, прежде всего: индексы «Интерфакса», разработанные Агентством финансовой информации. Известны три отраслевых индекса “Интерфакса”: а) банковский; б) предприятий нефтегазового комплекса; в) предприятий цветной металлургии. Причем в корзину индексов б) и в) входят акции предприятий, которые котируются на внебиржевом рынке не менее пяти месяцев. Базисом индекса служит величина, принятая за 100 на 1 декабря 1994 года. Индекс «Интерфакса» рассчитывается ежедневно.
Совокупность индексов российского фондового рынка пополняется индексами региональных рынков. В 1994 году получил распространение фондовый индекс Петербурга (ФИП-30), рассчитываемый по курсам акций 30 крупнейших петербургских АО базовых отраслей промышленности, банков.
4.2.1.1. Индикаторы РТС
В настоящее время в РТС совместно с информационным агентством «Интерфакс» рассчитываются несколько фондовых индексов, формируемых по одной методике. Отличительной особенностью каждого индекса является в основном периодичность расчета.
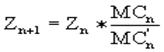
Индекс РТС рассчитывается каждые 30 минут в течение всей торговой сессии, а также на момент открытия (12.00) и закрытия (18.00) торговли. Расчет индекса осуществляется на основе показателей, выраженных в валюте и рублях. Методика определения индекса РТС (валютное значение) на текущее время (In) может быть представлена в виде следующей формулы:
I n = Zn х I1 Х МСn / МС1 ,
где Zn - поправочный коэффициент, учитывающий изменение состава корзины индекса (Z1 = 1; по состоянию на 01.04.2004 г.: Zn = 0,4955500);
I1 - значение индекса на начальную дату (на 01.09.1995 г.-100).
Для предотвращения влияния на индекс, обусловленного изменениями состава корзины индекса, в качестве значения индекса на начальную дату может использоваться его значение на предыдущую дату.

МСn – cумма рыночных капитализаций акций на текущее время в $;
МС1 – суммарная рыночная капитализация акций, составляющих корзину индекса, на дату формирования корзины.
Значение индекса в рублевом эквиваленте определяется как произведение валютного значения индекса на коэффициент, рассчитанный как отношение текущего значения курса рубля к доллару США.
Исходными данными для расчета индекса являются: а) информация о ценах и объемах сделок, заключенных в торговой системе во время торговой сессии за расчетный период; б) информация о лучших ценах на покупку на момент расчета индекса.
Цена i-ой акции (Р i) на момент времени Т рассчитывается одним из следующих способов:
1. Если за расчетный период времени в торговой системе было заключено n сделок с i-ой акцией, то тогда
n n
Р i =å (Рik х Qik ) / å Qik ,
К=1 К=1
где Рik - цена k-ой сделки по i-ой акции;
Qik - объем k-ой сделки по i-ой акции.
2. Если за расчетный период времени в торговой системе не было заключено ни одной сделки с i-ой акцией, но за последние десять дней торговли по этой ценной бумаге заключались сделки и рассчитывалась цена для индекса, то используется последнее значение цены i-ой акции.
3. Если в торговой системе не было заключено ни одной сделки с i-ой акцией в течение последних десяти дней, то в качестве цены используется цена лучшей заявки на покупку i-ой акции при условии наличия в торговой системе заявок на покупку от не менее трех участников торгов.
4. Если в торговой системе не было заключено ни одной сделки с i-ой акцией в течение последних десяти дней, а также отсутствуют котировки на покупку этой ценной бумаги, то в качестве цены i-ой акции используется последняя зафиксированная цена лучшей заявки на покупку.
Список акций для расчета индекса РТС состоит из акций, входящих в котировальные листы первого и второго уровней, а также акций, отобранных Информационным комитетом биржи на основе экспертной оценки. При этом экспертная оценка основывается на использовании таких характеристик ценных бумаг как:
- капитализация, рассчитанная по цене лучшего предложения на покупку;
- среднедневной объем торговли;
- частота заключения сделок;
- величина спрэда;
- и др. показатели, влияющие на ликвидность акций. В списке акций для расчета индекса РТС находится 70 акций.
Список акций для расчета индекса периодически пересматривается, но не чаще одного раза в три месяца. При изменении списка акций на n-ую дату индекс рассчитывается с использованием показателя капитализации по новому списку, для чего производится расчет капитализации по новому списку на (n-1)- дату, а значение МСn-1 используется в качестве показателя капитализации на начальную дату.
С 1998 года в системе рассчитывается ежеминутно на основе котировок на покупку/продажу технический индекс РТС. На основе списка акций предполагается осуществлять отдельный расчет отраслевых индексов: индекс нефтегазового комплекса, индекс электроэнергетики, индекс связи, индекс машиностроения. Расчет индексов предусматривается осуществлять на тех же принципах и по той же методике.
4.2.1.2. Индексы вексельного рынка
Индексы текущего состояния вексельного рынка (или вексельные индексы) рассчитываются аналитическим отделом «Регион» (г. Москва). Для расчета индекса сформированы четыре гипотетических вексельных портфеля с разными сроками погашения: один месяц, три месяца, шесть месяцев и год. По каждому портфелю рассчитывается индекс.
При формировании портфелей в силу крайней неоднородности вексельного рынка были приняты следующие принципы и допущения:
1. Индекс отражает средневзвешенную доходность к погашению совокупности векселей, включенных в портфель (корзину) индекса.
2. В вексельный портфель включаются только векселя, погашение которых осуществляется своевременно и денежными средствами. «Зачетные» векселя не включаются в портфель индекса.
3. Объем выпуска векселей должен быть не менее нескольких сот миллионов рублей по номиналу, что призвано обеспечивать возможность купить их на открытом рынке в значительном объеме по рыночным ценам без резкого изменения их.
4. Для векселей конкретного эмитента их доля в составе портфеля при расчете индекса на тот или иной срок принимается равной доле векселей в целом по рынку на этот же срок. Например, трехмесячные векселя Сбербанка РФ составляют в общерыночном обороте трехмесячных векселей 10%, поэтому в составе вексельного портфеля с трехмесячными сроками погашения для расчета индекса их доля будет принята в размере 10%. Определение доли векселей конкретного эмитента осуществляется, как правило, на основе экспертных оценок специалистов «Регион» из-за отсутствия общедоступной информации об объемах эмиссии и единой торговой системы векселей.
5. Включению в портфель подлежат векселя, доля которых на соответствующем рынке – не менее 5%.
6. В случае значительного изменения структуры вексельного рынка, например, появления ликвидных векселей новых эмитентов, и изменения пропорций между объемами векселей существующих эмитентов, осуществляется пересмотр структуры вексельного портфеля.
Расчет вексельного индекса (D) может быть произведен по следующей формуле: n
D = å (d х v)/å v ,
1
где d – доходность к погашению векселей определенной срочности конкретного эмитента;
v - объем таких векселей в обращении в целом по рынку.
Вексельные индексы рассчитываются еженедельно (по четвергам). Они позволяют определить потенциальный доход, принимать взвешенные инвестиционные решения и иметь обобщенную характеристику состояния вексельного рынка.
4.3. Управление фондовым портфелем
Портфель ценных бумаг – совокупность ценных бумаг разного вида, с разными сроками обращения, различными инвестиционными качествами (ликвидностью, волатильностью, уровнем риска), управляемая как единое целое. Различают простой и сложный портфель ценных бумаг. Сложный портфель состоит из нескольких субпортфелей, для которых характерны: а) разный уровень инвестиционного риска; б) разный уровень доходности. В свою очередь, субпортфели классифицируются в зависимости от соотношения риск/доходность на субпортфели роста; субпортфели дохода; субпортфели роста и дохода; субпортфели, состоящие из государственных и муниципальных ценных бумаг и т. п.
Среди субпортфелей (портфелей) роста можно выделить субпортфели агрессивного роста, среднего роста, консервативного роста. Субпортфели роста состоят преимущественно из акций компаний. При этом субпортфели агрессивного роста нацелены на максимальный прирост капитала, поэтому в их состав входят, прежде всего, акции молодых, быстрорастущих компаний. Высокий риск инвестиций в эти компании компенсируется высоким доходом.
Субпортфели среднего роста представляют собой сочетание субпортфелей консервативного роста и агрессивного роста. В него включаются наряду с надежными долгосрочными ценными бумагами рискованные фондовые инструменты. В результате обеспечивается средний прирост капитала и умеренная степень риска инвестиций. Надежность обеспечивается ценными бумагами «консервативного роста», а доходность – ценными бумагами «агрессивного роста», состав которых периодически обновляется. Данный тип портфеля наиболее распространен среди инвесторов, не склонных к высокому риску.
Субпортфели консервативного роста – наименее рискованные. Они могут состоять из акций крупных, хорошо известных компаний. Состав субпортфеля, как правило, остается стабильным в течение длительного периода времени (3-6 месяцев).
Субпортфели дохода можно классифицировать на:
а) субпортфели регулярного дохода;
б) конвертируемые субпортфели;
в) сбалансированные субпортфели;
г) субпортфели денежного рынка.
Субпортфели дохода формируются с целью получения определенного уровня дохода, величина которого соответствовала бы величине риска, приемлемого инвестору. При этом субпортфели регулярного дохода включают преимущественно корпоративные облигации, уровень риска по которым средний (и соответствующий доход). Конвертируемые субпортфели состоят из конвертируемых и привилегированных акций и облигаций, последние могут быть обменены на обыкновенные акции по фиксированной цене (заранее известной).
Сбалансированные субпортфели могут включать в свой состав обыкновенные акции, привилегированные акции, облигации. В зависимости от конъюнктуры рынка состав субпортфеля пересматривается. Ориентация делается на высоконадежные инструменты, ценные бумаги с оптимальным соотношением риск/доходность с точки зрения инвестора, а потому для каждого инвестора может быть сформирован сбалансированный портфель, различный по составу и структуре.
Целью формирования субпортфелей денежного рынка является сохранение капитала. В состав данного субпортфеля могут включаться:
а) денежная наличность, или легко реализуемые фондовые активы;
в) денежные аккредитивы, депозитные сертификаты и т. п. инструменты.
Субпортфели роста и дохода формируются с целью хеджирования от возможных потерь на фондовом рынке. В состав субпортфеля, который условно разделяется на две части, включаются растущие финансовые активы (акции венчурных компаний, ПИФов, ориентированных на прирост капитала и другие инструменты «агрессивного роста») и доходные инструменты (облигации). Потеря по одной части субпортфеля компенсируется доходом по другой части.
Субпортфели, состоящие из государственных и муниципальных ценных бумаг, ориентированы на невысокую доходность и минимальный риск. Кроме того, формируются субпортфели, имеющие отраслевую направленность.
Простой портфель ценных бумаг относится к одному из типов субпортфелей. В зависимости от выбранных целей инвестирования определяется структура сложного портфеля ценных бумаг, т. е. доля субпортфеля в сложном портфеле.
Принципами формирования фондового портфеля являются: 1) безопасность вложений; 2) доходность; 3) ликвидность; 4) рост капитала.
Этапы формирования портфелей ценных бумаг включают в себя:
- выбор типа портфеля;
- оценку уровня портфельного инвестиционного риска;
- моделирование структуры портфеля;
- оптимизацию структуры портфеля.
Механизм формирования портфеля ценных бумаг ориентирован на приоритеты инвестора, основными из которых выступают: а) сохранность и приращение капитала; б) получение быстрого дохода; в) доступ к собственности; г) доступ (через приобретение ценных бумаг) к дефицитной продукции, услугам.
В составе классических методов управления фондовым портфелем можно выделить: мониторинг и диверсификацию. Процесс мониторинга портфеля ценных бумаг сводится к его периодической ревизии. Различают активный и пассивный мониторинг. Пассивный мониторинг предполагает создание хорошо диверсифицирован-ного портфеля с заранее определенным уровнем риска, рассчитанным на длительную перспективу. В условиях инфляции и нестабильной конъюнктуры такой подход к управлению малоэффективен. Активный мониторинг предполагает тщательное отслеживание конъюнктуры и приобретение инструментов, отвечающих целям портфеля, в итоге, быстрое (адекватное) изменение состава и структуры портфеля.
Диверсификация означает включение в состав портфеля ценных бумаг различных по своим инвестиционным свойствам (качествам) фондовых инструментов в целях снижения риска. При диверсификации риск портфеля снижается до определенного уровня. Существует понятие избыточной диверсификации, которое означает отсутствие взаимосвязи между снижением риска вследствие включения в портфель дополнительных видов ценных бумаг. Как правило, избыточная диверсификация связана с высокой корреляцией (курсов и доходности) ценных бумаг между собой. Излишняя диверсификация приводит к необоснованному росту издержек управления портфелем ценных бумаг.
Следует иметь в виду, что посредством диверсификации возможно снизить только несистемные риски, т. е. риски, связанные с деятельностью эмитента (коммерческий риск, финансовый риск, риск ликвидности). Системные риски не диверсифицируются (риск инфляции, риск законодательных изменений, политические риски, риски, связанные с изменением процентных ставок и других макроэкономических индикаторов).
4.3.1. Теории фондового портфеля
Начальный этап развития теории портфельных инвестиций, относится к 20-30-м годам прошлого столетия. Работы Фишера по теории процентной ставки и приведенной стоимости были ориентированы на решение задачи - максимизировать чистую приведенную стоимость на основе расчета сверхвысокой доходности (риск не получал математического выражения). Особенность работ того периода состоит в выработке гипотезы о полной определенности условий, в которых осуществляется процесс принятия финансовых решений. Математические средства сводились к элементарной алгебре и началам фундаментального анализа. Однако лишь применение вероятностных методов позволило существенно продвинуться в исследовании влияния риска на принятие инвестиционных решений.
Началом современной теории портфеля можно определить -1952 г., когда появилась статья Г. Марковица под названием «Выбор портфеля». В этой статье впервые была предложена математическая модель формирования оптимального портфеля ценных бумаг, и были приведены методы построения таких портфелей при определенных условиях доходности и риска. Таким образом, была создана оптимизационная стратегия, которая относится к классу задач квадратической оптимизации при линейных ограничениях. Однако недостаточный уровень программирования, вычислительной техники, неподготовленность ученых-финансистов и практиков не способствовали реализации идей Г. Марковица. Нобелевская премия по экономике ему была присуждена только в 1990 году (гораздо позже его последователей).
В 60-х гг. учеником Шарпом был предложен упрощенный метод выбора оптимального портфеля, который сводил задачу квадратичной оптимизации к линейной, в нем впервые появились «альфа» и «бета» характеристики акций. Такое упрощение сделало методы портфельной оптимизации применимыми на практике. Шарпа основаны на предположении, что на конкурентном рынке ожидаемая премия за риск изменяется прямо пропорционально коэффиценту «бета» (стандартный измеритель риска). Коэффициент «бета» характеризует относительное изменение доходности портфеля ценных бумаг (акций, облигаций) по сравнению с доходностью рынка. Активы с «бетой» больше 1 являются более рискованными, а с «бетой» меньше 1 – менее рискованными. Формула расчета коэффициента «бета» (β) выводится из уравнения линейной регрессии динамики активов индексного портфеля:
T T T
{Т Σ ermt х erpt } - {Σ ermt х Σ erpt }
t=1 t=1 t=1
β = ,
T T 2
{Т Σ er²mt } - {Σ ermt}
t=1 t=1
rft – доходность безриского актива за период t;
rpt – доходность фондового актива за период t;
erpt = rpt – rft - избыточная доходность фондового актива;
rmt – доходность рыночного портфеля за период t;
ermt = rmt – rft – избыточная доходность рыночного портфеля.
T – количество временных отрезков.
Научный вклад У. Шарпа в портфельную теорию сжато сформулирован в следующих принципах:
1) инвесторы предпочитают высокую ожидаемую доходность инвестиций и низкое стандартное отклонение. Портфели обыкновенных акций, которые обеспечивают наиболее высокую ожидаемую доходность при данном стандартном отклонении, называются эффективными портфелями;
2) предельное влияние акции на риск портфеля зависит от чувствительности акции к изменениям стоимости портфеля, т. е. показателя «бета». Бета измеряет также предельный вклад акции в риск рыночного портфеля;
3) если инвесторы могут брать займы или предоставлять кредиты по безрисковой ставке процента, тогда им следует всегда иметь комбинацию безрисковых инвестиций и портфель обыкновенных акций. Состав такого портфеля акций зависит от того, как инвестор оценивает перспективы каждой акции, а не от его отношения к риску. Если инвесторы не располагают какой-либо дополнительной информацией, им следует держать рыночный портфель ценных бумаг;
4) премия за риск, требуемая инвесторами, пропорциональна коэффиценту бета;
5) некоторые акции увеличат риск портфеля, и вы приобретете их только в том случае, если они к тому же увеличат и ожидаемый доход. Другие акции снизят портфельный риск, и поэтому вы готовы купить их, даже если они снижают ожидаемые доходы от портфеля;
6) если портфель эффективен, связь между ожидаемой доходностью каждой акции и ее предельным вкладом в портфельный риск должна быть прямолинейной. Верно и обратное: если прямолинейной связи нет, портфель не является эффективным.
Сегодня модель Марковица используется в основном на первом этапе формирования портфеля активов при распределении инвестируемого капитала по различным типам активов: акциям, облигациям, недвижимости и т. д. Однофакторная модель Шарпа используется на втором этапе, когда капитал распределяется между отдельными конкретными активами т. е. по конкретным акциям, облигациям и т. д.
Подход Марковица лежит в русле микроэкономического анализа, поскольку он акцентирует внимание на поведении отдельного инвестора, формирующего оптимальный, с его точки зрения, портфель на основе собственной оценки доходности и риска выбираемых активов. К тому же, первоначально модель Марковица касалась в основном портфеля акций, т. е. рисковых активов.
Тобин предложил включить в анализ безрисковые активы, например, государственные облигации. С 1964 г. появляются три работы, открывшие модель оценки капитальных активов, или САРМ (Capital Asset Price Model). Работы Шарпа (1964), Линтнера (1965), Моссина (1966). САРМ можно рассматривать как обобщение теории Марковица. Основным результатом САРМ явилось установление соотношения между доходностью и риском актива для равновесного рынка. При этом важным оказывается тот факт, что при выборе оптимального портфеля инвестор должен учитывать не «весь» риск, связанный с активом (риск по Марковицу), а только часть его, называемую системным, или недиверсифицируемым риском. Эта часть риска актива тесно связана с общим риском рынка в целом и количественно представляется коэффициентом «бета», введенным Шарпом в его однофакторной модели. Остальная часть (так называемый несистемный, или диверсифицируемый риск) устраняется выбором соответствующего (оптимального) портфеля. Характер связи между доходностью и риском имеет вид линейной зависимости, и тем самым обычное практическое правило «большая доходность - значит, большой риск» получает точное аналитическое представление.
За все периоды Тi можно рассчитать среднеарифметическое значение эффективности:
Rср.= 1/n Σ Ri,
где R – норма прибыли является случайной величиной и характеризует эффективность вложений в ценные бумаги;
i = 1…n, n – количество ценных бумаг за расчетный период (число вложений в ценные бумаги), Ri –ожидаемое значение эффективности по каждому виду ценных бумаг. Оценка риска (v = σ²) осуществляется по величине (уровню) колебания среднеквадратичного отклонения (σ²) от среднего значения доходности по портфелю ценных бумаг (R), либо доходности ценных бумаг, с которой установлена корреляция: σ ² = (Ri – Rср)/ n..
5. Тесты и практические задачи по основным темам курса
Модуль 1. «Рынок ценных бумаг и его регулирование»
5.1.1. Инструменты и участники рынка ценных бумаг
1. Из перечисленных ниже укажите утверждения, определяющие две наиболее важные задачи компании–эмитентов для поддержания функционирования рынка собственных акций:
Ответы: А. Для привлечения дополнительного капитала компании-эмитенту необходимо стабильно выплачивать высокие дивиденды своим акционерам.
Б. Для поддержания ликвидного рынка собственных акций компаниям–эмитентам необходимо активно покупать и продавать акции своих акционеров.
В. Для обеспечения доверия инвесторов с целью привлечения их сбережений в качестве дополнительного капитала необходимо соблюдение руководством компании-эмитента приоритета интересов акционеров над своими личными интересами.
Г. Для информирования потенциальных инвесторов и существующих акционеров необходимо обеспечение эмитентом наиболее полного раскрытия информации о деятельности компании.
2. Дайте наиболее точное определение рынка, имеющего высокую степень ликвидности:
Ответы: А. Рынок, на котором активно продаются и покупаются ценные бумаги по относительно низким ценам.
Б. Рынок, обеспечивающий совершение операций в больших объемах без существенного изменения цен.
В. Рынок, обеспечивающий раскрытие ценовой информации и равный доступ к ней участников торговли.
3. Изменчивость курса ценной бумаги – это мера:
Ответы: А. Реального риска, связанного с инвестицией.
Б. Реальной доходности инвестиции.
В. Предполагаемой ликвидности инвестиции.
4. Брокер приобретает ценные бумаги, действуя от имени клиента и за счет клиента. В этом случае брокер выступает как:
Ответы: А. Комитент.
Б. Принципал.
В. Комиссионер.
Г. Поверенный.
Д. Агент.
5. Какая профессиональная деятельность на рынке ценных бумаг признается дилерской?
Ответы: А. Совершение любых гражданско-правовых сделок с ценными бумагами, не противоречащих законодательству.
Б. Совершение сделок купли-продажи ценных бумаг от своего имени и за свой счет путем публичного объявления цен покупки и/или цен продажи.
В. Совершение сделок купли-продажи ценных бумаг от имени и за счет клиента путем публичного объявления цен покупки и/или продажи.
Г. Покупка ценных бумаг от своего имени и за свой счет с целью формирования долгосрочного инвестиционного портфеля.
6. Может ли брокер хранить денежные средства, полученные от продажи ценных бумаг клиента, у себя на забалансовых счетах и использовать эти средства до их возврата клиенту?
Ответы: А. Может, если он действует на основании договора поручения.
Б. Может, если он действует на основании договора комиссии.
В. Может, если это прямо предусмотрено договором.
Г. Верно «А» и «В».
Д. Верно «Б» и «В».
7. Обязан ли дилер купить у клиента ценные бумаги по цене, публично объявленной данным дилером?
Ответы: А. Обязан в любом случае.
Б. Имеет право, но не обязан.
В. Обязан только в том случае, если в своем предложении дилер объявил также иные существенные условия договора купли-продажи.
8. Какая деятельность признается деятельностью по организации торговли на рынке ценных бумаг?
Ответы: А. Предоставление любых услуг профессиональными участниками рынка ценных бумаг.
Б. Предоставление услуг, непосредственно способствующих заключению гражданско-правовых сделок с ценными бумагами между участниками фондового рынка.
В. Только деятельность фондовой биржи.
Г. Сочетание деятельности фондовой биржи, депозитарной деятельности и клиринга.
9. Профессиональный участник рынка ценных бумаг (юридическое лицо) осуществляет сбор, фиксацию, обработку, хранение и предоставление данных, систематизацию экономической информации, выполняет сделки с ценными бумагами, зарегистрированными в реестре владельцев именных ценных бумаг эмитента, принимая на себя функции посредника. Оцените правомерность действий профессионального участника рынка ценных бумаг.
Ответы: А. Действия правомерны, поскольку осуществляется брокерская деятельность.
Б. Действия правомерны, поскольку происходит совмещение функций реестродержателя и дилера.
В. Действия правомерны, поскольку происходит совмещение функций реестродержателя, дилера и брокера.
Г. Действия неправомерны, поскольку совмещать можно только деятельность дилера и брокера.
Д. Вопрос поставлен некорректно, и правильных ответов нет.
10. Кого необходимо уведомить о переходе прав на именные эмиссионные ценные бумаги?
Ответы: А. Держателя реестра.
Б. Депозитарий.
В. Номинального держателя.
Г. Эмитента.
Д. Минфин РФ.
Е. ФСФР.
Ж. Одновременно «А» и «Б».
З. Одновременно «А» и «Г».
И. Или «А», или «Б», или «В».
К. Или «В», или «Г».
11. На какой предельный срок может быть заключен договор о доверительном управлении ценными бумагами?
Ответы: А. Один год.
Б. Три года.
В. Пять лет.
Г. Таких ограничений нет.
12. Укажите верное утверждение в отношении номинального держателя:
Ответы: А. Ведение реестра владельцев ценных бумаг передается регистратору, независимому от инвестора.
Б. Ведение реестра владельцев ценных бумаг передается депозитарию, независимому как от эмитента, так и от инвестора.
В. Депозитарий зарегистрирован в реестре в качестве владельца ценных бумаг.
Г. Регистратор открывает депозитарию особый счет, на котором учитываются ценные бумаги инвесторов-клиентов депозитария.
13. Укажите верное утверждение в отношении использования различных механизмов установления рыночной цены: 1 Для бумаг с низкой ликвидностью или при первичном размещении; 2 Для бумаг с ограниченной ликвидностью; 3 Для высоколиквидных бумаг.
Ответы: А. Для 1 – аукцион, для 2 – система с маркет-мейкерами, для 3 – система, основанная на заявках.
Б. Для 1 - система с маркет-мейкерами, для 2 – аукцион, для 3 - система, основанная на заявках.
В. Для 1 - система, основанная на заявках, для 2 – аукцион, для 3 - система с маркет-мейкерами.
5.1.2. Регулирование рынка ценных бумаг
1. Предусматривает ли законодательство согласие, либо преимущественное право акционеров закрытого акционерного общества в следующих случаях:
Ответы: А. При переходе акций от одного лица к другому по договору купли-продажи.
Б. При дарении акций.
В. При завещании акций.
Г. При договоре мены.
Д. При конвертации ценных бумаг в акции общества.
Е. Иные ответы (вписываются самостоятельно).
2. Имеет ли право акционер АО, не оплативший полностью свою долю уставного капитала, голосовать на собрании акционеров по вопросу о реорганизации АО?
Ответы: А. Да.
Б. Нет.
В. Да, если он является учредителем этого общества.
3. Могут ли быть представлены любому акционеру АО:
Ответы: А. Устав АО, свидетельство о государственной регистрации.
Б. Годовой финансовый отчет.
В. Проспект эмиссии акций.
Г. Сведения о других акционерах.
4. Какая действующая норма размещения привилегированных акций?
Ответы: А. 50% от номинальной стоимости размещенных обыкновенных акций.
Б. Не существует ограничений.
В. 25% от уставного капитала АО.
5. АО осуществляет дополнительный выпуск акций номинальной стоимостью 10000 руб. каждая. Инвестор подписался на 10 акций общества, которые должны быть оплачены деньгами, однако не оплатил их полностью в течение года. Определите максимальную сумму, которую общество возвратит акционеру.
(Ответ вписывается самостоятельно).
6. При оплате акций АО материальными активами независимый оценщик (аудитор) должен делать их оценку:
Ответы: А. Если размер оплаты акций превышает 200 МРОТ.
Б. Только при повторной эмиссии.
В. (А) и (Б).
7. В каком случае АО запрещается объявлять и выплачивать дивиденды:
Ответы: А. Если общество недостаточно прибыльно.
Б. Если общество не сформировало резервный фонд.
В. Если после выплаты дивидендов общество может стать неплатежеспособным.
8. АО, полностью оплаченный уставный капитал которого состоит из 10000 обыкновенных именных акций, размещенных между 1000 акционерами, проводит повторное общее собрание акционеров, созданное взамен несостоявшегося по причине отсутствия кворума. При повторном собрании акционеров удалось собрать минимальное количество голосов, которое необходимо для признания его решений правомочными. На общем собрании акционеров АО проводится кумулятивное голосование по выбору Совета директоров. Численный состав Совета директоров определен как минимально возможный. Укажите количество голосов, которое может гарантировать кандидату место в Совете директоров.
(Ответ вписывается самостоятельно).
9. Совет директоров АО вправе приминать решения о:
Ответы: А. Выпуске облигаций обществом.
Б. Создании филиалов общества.
В. Дроблении акций общества.
Г. Заключении обществом крупных сделок на сумму свыше 50% балансовой стоимости активов.
Д. Увеличении уставного капитала общества путем роста номинальной стоимости акций.
10. Каким образом удостоверяются права владельца на эмиссионные документарные ценные бумаги, если они переданы на хранение в депозитарий?
Ответы: А. Сертификатами и записями по счетам депо в депозитарии.
Б. Только записями по счетам депо в депозитарии.
В. Только сертификатами.
Г. Сертификатами и записями на лицевых счетах в системе ведения реестра.
11.На российском фондовом рынке разрешено совмещение следующих видов деятельности:
Ответы: А. Инвестиционного фонда с другими видами деятельности на фондовом рынке.
Б. По ведению реестра акционеров и других видов профессиональной деятельности на фондовом рынке.
В. Организатора торговли и дилерской деятельности.
Г. Депозитарной и клиринговой деятельности.
Д. Брокерской и дилерской деятельности.
Е. Организатора торговли и депозитарной деятельности.
12. Ответственность, при которой каждый из должников имеет оговоренную часть в общей сумме обязательств, исполнив которую он освобождается от ответственности, является:
Ответы: А. Солидарной.
Б. Долевой.
В. Субсидиарной.
Г. Ни одной из перечисленных.
13. При каком виде ответственности участник, исполнивший в полной мере, в том числе за других, обязательства, имеет право регресса?
Ответы: А. При долевой ответственности.
Б. При солидарной ответственности.
В. При субсидиарной ответственности.
Г. Ни при одной ответственности из перечисленных.
5.1.3. Международный рынок ценных бумаг (АДР)
1. Укажите верные утверждения в отношении условий выпуска и обращения американских депозитарных расписок (АДР):
А. АДР выпускаются американским банком-депозитарием.
Б. АДР подтверждают права собственности владельцев АДР на указанное в сертификате количество акций иностранных эмитентов.
В. Акции депонируются в банке-кастоди, находящемся в стране выпуска акций.
Г. АДР могут размещаться как на рынке США, так и на неамериканских (западноевропейских) рынках.
Ответы: 1. Только А и Б.
2. Только Б и В.
3. Только А, Б и В.
4. Все перечисленные.
2. Из ниже перечисленных укажите функции банка-депозитария, осуществляющего выпуск АДР:
А. Ведение реестра владельцев АДР.
Б. Распространение среди владельцев АДР отчетности эмитента и другой важной информации.
В. Передача владельцам АДР дивидендов и других имущественных прав по акциям, лежащим в основе АДР.
Г. Представительство в реестре акционеров компании-эмитента путем регистрации в качестве номинального держателя
Ответы: 1. Только А и Б.
2. Только Б и В.
3. Только А, Б и В.
4. Все перечисленные.
3. Из ниже перечисленных укажите функции банка-кастоди при выпуске и обращении АДР:
А. Ведение реестра владельцев АДР.
Б. Учет и перерегистрация акций, на которые выпущены АДР.
В. Представительство в реестре акционеров компании-эмитента путем регистрации в качестве номинального держателя.
Г. Получение дивидендов в национальной валюте страны выпуска акций и перевод их в банк-депозитарий в валюте страны обращения АДР.
Ответы: 1. Только А, Б и В.
2. Только Б, В и Г.
3. Только А, Б и Г.
4. Все перечисленные.
4. Укажите права владельцев АДР:
А. Право получать дивиденды в валюте страны обращения АДР.
Б. Право участвовать в собраниях акционеров или передавать право голоса по доверенности.
В. Право получать годовые отчеты.
Г. Право преимущественного приобретения акций новых выпусков, на которые выпущены АДР.
Ответы: 1. Только А и Б.
2. Только А, Б и В.
3. Только А, В и Г.
4. Все перечисленные.
5. В каком случае общее количество АДР по акциям данного эмитента, обращающихся на американском рынке, и общее количество акций данного эмитента на счете банка-кастоди увеличивается:
А. Если инвестор покупает АДР на американском рынке.
Б. Если инвестор продает АДР на американском рынке.
В. Если банк-кастоди покупает дополнительное количество акций, лежащих в основе АДР, а банк-депозитарий выпускает на них АДР.
Г. Если банк-кастоди продает акции, лежащие в основе АДР.
Ответы: 1. Только А и В.
2. Только Б и Г.
3.
4.
6. В каком случае общее количество АДР по акциям данного эмитента, обращающихся на американском рынке, и общее количество акций данного эмитента на счете банка-кастоди уменьшается:
А. Если инвестор покупает АДР на американском рынке.
Б. Если инвестор продает АДР на американском рынке.
В. Если банк-кастоди покупает дополнительное количество акций, лежащих в основе АДР, а банк-депозитарий выпускает на них АДР.
Г. Если банк-кастоди продает акции, лежащие в основе АДР.
Ответы: 1. Только А и В.
2. Только Б и Г.
3.
4.
7. Из перечисленных ниже укажите преимущества приобретения инвесторами АДР по сравнению с приобретением акций иностранных эмитентов:
А. Не требуется регистрация прав собственности реестродержателем в стране выпуска акций.
Б. Не требуется уплаты налогов в соответствии с законодательством страны эмитента.
В. Отчетность эмитента акций раскрывается в соответствии со стандартами страны обращения АДР.
Ответы: 1. Все, кроме А.
2. Все, кроме Б.
3. Все, кроме В.
4. Все перечисленные.
8. Какие из ниже перечисленных видов АДР выпускаются по инициативе эмитента акций и могут быть выпущены банком-депозитарием только на ранее выпущенные эмитентом акции, находящиеся на внутреннем рынке страны эмитента?
Ответы: А. Неспонсируемые АДР.
Б. АДР 1 уровня.
В. АДР 2 уровня.
Г. АДР 3 уровня.
9. Выпуск каких из ниже перечисленных видов АДР не требует согласия эмитента акций и осуществляется банком-депозитарием только на акции, находящиеся в обращении?
Ответы: А. Неспонсируемые АДР.
Б. АДР 1 уровня.
В. АДР 2 уровня.
Г. АДР, размещаемые по правилу 144-А Комиссии по ценным бумагам США.
10. Какое дополнительное требование из ниже перечисленных обязан выполнить иностранный эмитент, размещающий АДР 3 уровня, по сравнению с требованиями, предъявляемыми при размещении АДР 2 уровня?
Ответы: А. Предоставление в Комиссию по ценным бумагам США проспекта эмиссии.
Б. Прохождение процедуры листинга на одной из американских бирж.
В. Предоставление финансовых отчетов в соответствии со стандартами GAAP.
Г. Ежегодное предоставление финансовой отчетности.
11. Укажите среди ниже перечисленных различия в условиях выпуска и обращения между АДР 3 уровня и АДР, размещаемых по Правилу 144-А:
А. АДР 3 уровня могут покупать любые американские инвесторы, включая физических лиц, а АДР, размещаемые по Правилу 144-А, - только Квалифицированные Институциональные Покупатели (КИП)
Б. АДР 3 уровня торгуются в торговых системах биржевого рынка США, и АДР, размещаемые по Правилу 144-А, - в системе ПОРТАЛ Национальной ассоциации Дилеров США.
В. АДР 3 уровня выпускаются на новые выпуски с целью привлечения дополнительного капитала, а АДР, размещаемые по Правилу 144-А, - только на уже выпущенные акции иностранных эмитентов.
Ответы: 1.
2. Только А и Б.
3. Только Б и В.
4. Все перечисленные.
12. Кто из ниже перечисленных лиц является Квалифицированным Институциональным Покупателем (КИП), согласно Правилу 144-А Комиссии по ценным бумагам США?
Ответы:
А. Институт, который инвестирует не менее 100 млн. долл. США в ценные бумаги.
Б. Институт, созданный в форме публичной корпорации, 50% голосующих акций которой принадлежат американским акционерам.
В. Институт, более 50% капитала которого инвестировано в акции, находящиеся в США.
Модуль 2. «Биржевое дело»
5.2.1. Фондовая биржа
1. Установление рыночных цен на ценные бумаги и обеспечение совершения сделок по установленным ценам является назначением:
Ответы: А. Системы передачи информации о котировках.
Б. Системы клиринга.
В. Аукционной системы.
Г. Биржевой торговой системы.
2. Что необходимо делать брокеру, если у него нет уверенности в том, что клиент может оплатить покупку ценных бумаг?
Ответы: А. Совершить сделку.
Б. Не принимать от клиента поручение.
В. Потребовать от клиента гарантии оплаты.
3. Что из ниже перечисленного максимально снижает риск, связанный с исполнением сделок с ценными бумагами?
Ответы: А. Депонирование ценных бумаг.
Б. Трансферт ценных бумаг.
В. Поставка против платежа.
Г. Непрерывный клиринг.
4. Допускается ли продажа через фондовые биржи ценных бумаг, которыми продавец не обладает в момент заключения сделки?
Ответы: А. Да.
Б. Нет.
5. Сделки считаются биржевыми, если:
Ответы: А. Они оформляются путем составления маклерской записки.
Б. Заключаются в биржевом собрании.
В. Имеют целью определить реальную стоимость товара, в отношении которого заключается сделка.
Г. Они заключаются в отношении имущества (товаров, ценных бумаг), допущенных к обращению на бирже.
Д. Подлежат регистрации на бирже.
Е. Доходы от таких сделок распределяются между членами биржи.
Ж. Заключаются при совпадении цен продавца и покупателя.
З. Заключаются исключительно членами биржи.
6. Организатор аукционных торгов по продаже акций приватизируемых предприятий за рубли установил начальную цену продажи ценных бумаг ниже номинала. Оцените законность действий организатора аукционных торгов.
Ответы: А. Действия законны.
Б. Действия не законны.
В. Действия законны в случае согласования стартовой цены с продавцом ценных бумаг, зафиксированной в договоре.
7. С какого момента фондовая биржа приобретает права юридического лица:
Ответы: А. С момента получения лицензии.
Б. С момента государственной регистрации учредительных документов.
В. С момента внесения в единый государственный реестр.
8. Финансовый брокер - член биржи заключил договор с клиентов на хранение его ценных бумаг. Какие налоги должны быть заплачены при этой операции?
Ответы: А. Налог на операции с ценными бумагами.
Б. Налог на добавленную стоимость.
В. Налог на прибыль.
Г. Налогообложение не предусматривается.
9. Могут ли ценные бумаги, не прошедшие листинг, быть объектом сделок на фондовой бирже?
А. Да, в любом случае.
Б. Да, в порядке предусмотренном ее внутренними документами.
В. Не могут.
10. Стандартизация сделок, используемая в биржевой торговли, предполагает, что в договорах купли-продажи ценных бумаг зафиксированы следующие условия сделки, за исключением:
Ответы: А. Количества ценных бумаг.
Б. Цены.
В. Условий поставки и платежа.
Г. Сроков исполнения сделки.
11. Наличие и подлинность покупаемых/продаваемых ценных бумаг гарантирует:
Ответы: А. Торговая система
Б. Система клиринга.
В. Система платежа.
Г. Система регистрации прав собственности.
5.2.2. Фьючерсная биржа
1. Используя список терминов, дополните предложения:
Однодневный спекулянт Непрофессиональный спекулянт Ликвидность Длинная позиция Короткая позиция Рисковый капитал Позиционный спекулянт Эффективность
Ответы:
q ______________не может заключать сделки в торговом зале биржи.
q Спекулянт предполагает, что правительство введет ограничение размера кредитов. С целью получения прибыли на изменении процентных ставок он занимает________________ позицию на фьючерсном рынке облигаций Казначейства.
q Спекулянт, получивший прогноз на неблагоприятные погодные условия в период сбора урожая пшеницы, решил открыть _______________ позицию по фьючерсам на пшеницу.
q Присутствие спекулянтов жизненно важно для фьючерсных рынков, поскольку они обеспечивают _________________.
2. Используя список терминов, дополните предложения:
Базис Конвергенция Издержки поставки Процентные ставки Хеджирование Полные издержки хранения Ослабление базиса хедж Противоположная позиция Параллельно Складские расходы Усиление базиса
Ответы:
q Для защиты своего урожая от падения цен фермер предполагает осуществить _______________ .
q Изменение базиса от +14 центов до – 14 центов означает, что базис ______________ .
q При наступлении месяца поставки происходит ______________ наличных и фьючерсных цен.
q Для товаров длительного хранения стоимость хранения, страхования и оплаты банковского процента представляет _______________ .
q _________________ представляет собой разницу между наличной ценой товара и фьючерсной ценой этого товара.
q На рынке финансовых инструментов издержками поставки являются ___________________ .
q Изменение базиса с + 9 центов до + 16 центов называется _________________.
q Нефтеперерабатывающая компания предвидит увеличение цен на нефть в ближайшие 6 месяцев и решает осуществить _______________ для защиты будущей закупки.
q Условие, которое делает возможным хеджирование, - это то, что наличные и фьючерсные цены движутся в целом _________________ .
3. Участник, имеющий длинную позицию по февральскому контракту на медь, решил ликвидировать свое обязательство. Что ему нужно сделать?
Ответы: А. Продать этот контракт.
Б. Застраховаться у страховой компании.
В. Купить опцион на фьючерс.
Г. Заключить офсетную сделку.
4. Фьючерсные цены определяются:
Ответы: А. Аукционным методом.
Б. Руководителями биржи.
В. Расчетной палатой биржи.
Г. Приказами клиентов.
5. Первоначальная маржа взимается с участников фьючерсной торговли для того, чтобы:
Ответы: А) Осуществить частичный платеж по контракту; Б) Компенсировать издержки биржи на совершение операции; В) Гарантировать исполнение сделки; Г) Оплатить услуги брокера.
6. Базис в момент начала хеджирования составлял 50 руб., в момент завершения он составил 35 руб. Кто выигрывает от такого изменения базиса?
Ответы: А. Хеджер-покупатель.
Б. Хеджер-продавец.
В. Спекулянт.
Г. Арбитражер.
Д. Расчетная палата.
Г. Биржа.
Д. Депозитарий.
7. Используя список терминов, дополните предложения:
Форвардный контракт Наличный рынок Расчетная палата Однодневный спекулянт Поставка Позиционный спекулянт Фьючерсный контракт Фьючерсная биржа Фьючерсные рынки Хеджер Первоначальная маржа Длинная позиция Маржа Поддерживающая маржа Место торговли Ликвидировать контракт Открытая позиция Метод аукциона Короткая позиция Спекулянт Вариационная маржа Объем торговли Арбитражер Скалпер
|
Из за большого объема этот материал размещен на нескольких страницах:
1 2 3 4 5 6 7 8 |



