• рекомендации по исправлению нарушений и по совершенствованию работы.
Что касается последнего пункта, то члены ревизионной комиссии должны четко отделять нарушения и недочеты от разногласий (несовпадение своего мнения с мнением руководства кредитного союза). Так, например, ситуация, когда в офисе, не имеющем сигнализации, на ночь оставляются крупные денежные суммы — нарушение. Ситуация, когда действующие договоры займа хранятся в одной папке с погашенными, — недочет. Ситуация, когда пайщик пишет заявку на получение займа от руки, а не заполняет бланк формы — разногласие.
Так как акт проверки ревизионной комиссии оглашается на общем собрании, а значительная часть пайщиков не вполне четко представляет себе технологию финансовой работы, слишком длинный список рекомендаций может создать у пайщиков неправильное мнение, что кредитный союз работает плохо и нарушает все мыслимые правила. Поэтому рекомендации относительно недочетов в работе и пунктов разногласия в акт лучше не вносить, а решать с руководством кредитного союза в рабочем порядке.
При этом выявленные реальные нарушения ни в коем случае не следует скрывать от пайщиков. Конечно, это банальность, но чем раньше выявлена болезнь, тем легче ее лечить.
Некоторые крупнейшие кредитные союзы уже могут позволить себе проводить внешний независимый аудит. Отметим основные преимущества и недостатки аудита. Начнем с недостатков.
Единственное, для чего проводится аудит и что он может подтвердить или опровергнуть, — соответствие данных баланса первичной документации. Так, если в балансе указано, что на такую-то дату на руках у пайщиков в виде займов находится такая-то сумма, аудит подтверждает, что это действительно так. Аудит не имеет никакого отношения ни к процедурам управления и принятия финансовых решений, ни к соблюдению норм внутрикооперативной демократии, ни к обеспечению равенства пайщиков. Так, например, если по сбережениям пайщика Чу-жакова начисляется 30% годовых, а по сбережениям пайщика Своякова согласно единоличному решению директора — 130%, информации об этом вы никогда не найдете ни в одном аудиторском отчете.
Главное преимущество аудита состоит в том, что в крупных кредитных союзах ревизионная комиссия часто не в состоянии справиться с анализом большого количества первичной документации. Поэтому данные аудиторской проверки можно использовать в качестве "полуфабриката" для ревизионной комиссии.
Итак, аудит не заменяет ревизионную комиссию, однако, если средства позволяют, он может стать ценным подспорьем в ее работе.
Выводы
1. В настоящей главе рассмотрены вопросы и процедуры, связанные с членством в КС: определение количественного и качественного состава пайщиков, прием и выбытие пайщиков, учет пайщиков.
2. При управлении членством в КС следует руководствоваться следующими основными соображениями:
• соответствие закону;
• обеспечение организационной и экономической устойчивости КС;
• обеспечение еретического равенства прав всех групп пайщиков;
• обеспечение коллегиальности решений и прозрачности процедур, используемых в КС для управления членством;
• предупреждение возможных конфликтов и разногласий с пайщиками по вопросам членства.
3. Грамотное и разумное управление членством имеет большое значение для развития кредитного союза.
4. Конкретные нормы и приемы управления членством в большой степени зависят от индивидуальных обстоятельств, имеющих значение для каждого конкретного кредитного союза: размер, направленность деятельности, социальный состав пайщиков, степень доверительности в отношениях с ними и т. п.
5. Общее собрание является высшим органом кредитного союза. Соблюдение процедур организации и проведения общего собрания важно для обеспечения законности его решений, эффективности работы, заинтересованности и реального участия пайщиков в делах кредитного союза, равноправия пайщиков.
6. Правление является высшим исполнительным органом кредитного союза. Цель деятельности Правления - разработка стратегии кредитного союза, установление основных условий предоставления услуг пайщикам, руководство и контроль над персоналом. Процедуры формирования и работы Правления направлены на обеспечение демократичности, коллегиальности, прозрачности в руководстве делами кредитного союза. Правление является как бы промежуточным звеном между "общественностью" (пайщиками) и сотрудниками кредитного союза, поэтому несет основную ответственность за обеспечение как демократичности и "социальности", так и высокого профессионализма в деятельности кредитного союза.
7. Через директора кредитный союз осуществляет все свои гражданские права и обязанности. Директор представляет кредитный союз как сторону во взаимоотношениях с пайщиками, персоналом и третьими лицами, подписывает финансовые документы от имени кредитного союза. Директор выполняет функцию оперативного управления текущими делами кредитного союза в пределах своих полномочий, которые ограничены законодательством, уставом кредитного союза и его внутренними нормативными актами, и где, помимо прочего, установлена компетенция органов кредитного союза. Упрощая, можно сказать, что сфера компетенции директора определяется "по остаточному принципу", то есть в нее входит то, что не отнесено к компетенции иных органов.
8. Кредитный комитет - неотъемлемый элемент структуры кредитного союза. Кредитный комитет принимает решения о предоставлении пайщикам займов. Поэтому из всех выборных органов пайщики чаще всего имеют дело именно с членами кредитного комитета. Избежать многих ошибок при принятии кредитных решений позволяют не только высокая ответственность членов кредитного комитета и хорошее личное знание ими пайщиков, но и тщательно проработанные и зафиксированные в соответствующих документах процедуры, а также отлаженная система кредитного контроля.
9. Ревизионная комиссия - краеугольный камень системы внутреннего контроля в кредитном союзе. Ее целью является обеспечение финансовой безопасности деятельности кредитного союза. Активная и бдительная ревизионная комиссия вскроет и пресечет ошибки и нарушения на ранней стадии, не давая им привести к серьезным реальным потерям как денежным, так и с точки зрения статуса и имиджа. Дополнительно, но не вместо ревизионной комиссии, финансовая инспекция может осуществляться внешними аудиторами, ассоциацией кредитных союзов.
Контрольные вопросы
1. В какой ситуации "Кредитный союз школы №15" будет жизнеспособен, а в какой нет? Почему?
2. Приведите не менее чем три аргумента "за" и не менее чем три аргумента "против" установления потолка численности пайщиков КС в 2000 человек. Изменятся ли ваши аргументы, если речь пойдет о потолке в 10000 человек?
3. Допустите ли вы до участия в общем собрании пайщика, внесшего лишь часть паевого взноса? А пайщика, просрочившего возврат займа? Почему?
4. На чем вы обычно делаете акцент в беседе со вступающим в КС пайщиком? Что спрашиваете у него?
5. Какие документы должен предъявить вступающий в ваш КС пайщик?
6. Не было бы правильнее принимать решения в кредитном союзе так же, как и в акционерных обществах - в зависимости от финансового вклада в деятельность организации? Почему?
7. Считаете ли вы целесообразным отнесение установления процентных ставок по займам и сбережениям к компетенции общего собрания пайщиков? Почему?
8. Что должен сделать пайщик кредитного союза, если он хочет внести в повестку дня общего собрания интересующий его вопрос?
9. Каков максимально допустимый срок полномочий Правления?
10. Какие, помимо основных (правление, кредитный комитет, ревизионная комиссия) выборные органы были бы полезны для деятельности крупного кредитного союза? Должны ли они быть постоянными или временными?
11. Несут ли члены правления личную материальную ответственность за принимаемые решения?
12. Кто должен принимать решение о предоставлении займа члену кредитного комитета?
13. Имеет ли право директор не допустить ревизионную комиссию к проведению проверки? Если да, то в каких случаях?
14. Какие действия должна предпринять ревизионная комиссия, обнаружив, что кредитный союз уклоняется от уплаты налогов?
Глава V. Финансовое управление кредитным союзом
1. Обязательства кредитного союза: взносы пайщиков
2. Основной финансовый актив кредитного союза - займы пайщикам
3. Резервирование
4. Внешние финансовые активы кредитного союза
5. Определение оптимальной процентной ставки в кредитном союзе
6. Анализ доходов и расходов в кредитном союзе
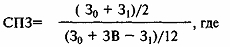
7. Платежеспособность кредитного союза
Как финансовая организация кредитный союз не может существовать без финансового управления. Специфика кредитного союза определяет содержание, направление и методологию финансового управления.
Содержание финансового управления в кредитном союзе -формирование и использование финансовых ресурсов, направление финансовых потоков в соответствии с целями и задачами кредитного союза.
Общие принципы финансового управления дополняются требованиями учета соотношения интересов пайщиков — заемщиков и пайщиков — заимодавцев, порождающего необходимость четкой увязки финансовых обязательств (в виде взносов) и финансовых активов (в виде займов) в пределах одного и того же круга лиц.
При этом не следует забывать, что:
• кредитный союз есть некоммерческая организация, деятельность которой направлена не на цели извлечения прибыли, а на удовлетворение потребности пайщиков в финансовой взаимопомощи;
• для кредитного союза задача надежности и устойчивости использования финансовых ресурсов довлеет над задачей максимизации дохода;
• кооперативная природа кредитного союза определяет замкнутость финансового оборота внутри организации, совпадение дебиторов и кредиторов, что порождает особый характер рисков.
Основной финансовый ресурс кредитного союза — средства пайщиков, поступающие в кредитный союз в виде взносов, — формируется на основе обязательств. При этом обязательства кредитного союза по сберегательным взносам симметричны обязательствам пайщиков по займам.
Целью управления финансовыми потоками в КС является постоянное поддержание нормального уровня финансовой устойчивости. Главная составляющая финансовой устойчивости — платежеспособность КС, то есть возможность своевременно выполнять обязательства перед пайщиками по сбережениям и процентам, что достигается финансовым управлением ресурсами, их эффективным размещением, прежде всего — в займах пайщикам. Финансовое управление в кредитном союзе должно обеспечить сбалансированную структуру займов в соответствии со структурой сбережений, их своевременный возврат и доходность на вложенные средства. Финансовое управление призвано способствовать развитию КС, максимальному удовлетворению потребностей пайщиков.
Процесс финансового управления в КС состоит из трех взаимосвязанных элементов:
• финансовое планирование;
• финансовый анализ и контроль.
Все эти элементы в значительной степени опираются на данные бухгалтерского учета. Однако бухгалтерский учет и финансовое управление различаются как по задачам, так и по технологии и инструментарию. Задача бухгалтерского учета — документальное отражение деятельности организации; бухгалтерские проводки и бухгалтерский баланс воспроизводят текущую и итоговую картину состояния дел в кредитном союзе (как и в любой другой организации). Данные бухгалтерского учета служат материалом для финансового планирования и контроля, задача которого — регулирование потоков финансовых ресурсов в кредитном союзе, управление обязательствами и активами кредитного союза.
1. Обязательства кредитного союза: взносы пайщиков
В предыдущих главах дана характеристика взносов пайщиков в КС и их классификация. Напомним, что обязательства кредитного союза составляют паевые, сберегательные взносы, а также иные взносы пайщиков, поступающие в кредитный союз на возвратной основе.
Паевые взносы —долгосрочные обязательства кредитного союза
Паевые взносы являются законодательно установленными взносами членов потребительского кооператива. Пайщик не может считаться полноправным членом КС до внесения минимального паевого взноса. Он может иметь несколько паевых взносов в КС, может забрать часть паевых взносов или (при выходе из КС) все паевые взносы с паенакоплениями.
Совокупность паевых взносов составляет паевой фонд.
Внимание: рекомендуется ограничивать количество паев, приходящихся на одного пайщика, 10% паевого фонда. Если пайщик владеет более чем 10% паевого фонда, то при выходе из КС он может нарушить нормальное функционирование кооператива.
КС самостоятельно определяет, на какие цели он использует паевые взносы.
• Паевые взносы могут быть использованы для выдачи займов пайщикам.
• Их можно направить на приобретение основных средств КС — оргтехники, мебели, возможно, офиса КС, либо разместить в каких-либо финансовых инструментах - ценных бумагах, банковских депозитах и т. п.
• Не рекомендуется использовать паевые взносы на финансирование текущих расходов КС: выплату заработной платы сотрудникам, коммунальные расходы и т. д., поскольку паевые взносы должны быть возвращены пайщикам при выходе из КС, следовательно, лучше использовать их таким образом, чтобы они не только сохранились в каком-либо ином виде (например, в виде основных средств), но и приносили какой-либо доход.
Паевые взносы, по усмотрению КС, могут быть внесены пайщиками не только в виде денежных средств, но и в виде какого-либо иного имущества — оргтехники, мебели, либо имущественных прав — например, права пользования компьютером, принадлежащим пайщику, в течение определенного периода времени. Имущество и права собственности, внесенные в КС в виде паевых взносов, должны быть оценены в денежном выражении. Оценка может производиться по согласованию между КС и пайщиком, либо с привлечением профессионального оценщика (услуги оценщиков, как правило, стоят очень дорого). Ориентироваться можно также на рыночную стоимость имущества.
Структурная характеристика и оценка сберегательных взносов
Сберегательные взносы являются главным источником формирования ФФВП (определение ФФВП было дано ранее — в главах I и III). По форме они аналогичны банковским вкладам, то есть являются срочными и возвратными. По ним начисляется доход, величина которого устанавливается КС с учетом целого ряда факторов, которые мы рассмотрим ниже.
В зависимости от сроков сбережения в КС подразделяются на:
• текущие (до востребования);
• срочные.
По длительности сроков хранения сбережения в КС могут быть:
• краткосрочными — не более 3 месяцев;
• среднесрочными — 3-6 месяцев;
• долгосрочными - от 6 месяцев до 1 года;
• сбережениями на срок более 1 года.
Сбережения "до востребования"
Между суммарными сбережениями различных сроков хранения должно существовать определенное соотношение. Сбережения "до востребования" не могут превышать 15% от всей суммы сбережений. Необходимость такого ограничения очевидна: сбережения "до востребования" являются одним из наиболее рисковых в КС. Пайщик в любой момент может потребовать возврата своих средств, следовательно, КС должен всегда иметь некоторую сумму, зарезервированную для возврата таких сбережений. Эта сумма может либо храниться на текущем счете, либо в кассе КС, либо быть размещенной в высоколиквидных активах, то есть в таких, которые в любой момент могут быть обращены в деньги с минимальными потерями. Примером таких активов в настоящее время могут служить только краткосрочные займы пайщикам (на срок не более 3 месяцев).
Следовательно, сбережения "до востребования" не могут принести высокий доход. Кроме того, если КС будет не в состоянии своевременно выплатить пайщику требуемую сумму, это отрицательно скажется на репутации кредитного союза, а значит — на его устойчивости.
При работе со сбережениями "до востребования" можно воспользоваться следующим аналитическим приемом: рассчитать уровень изъятия сбережений такого рода за определенный период. Коэффициент изъятия сбережений "до востребования" определяется следующим образом:
![]()
К1 - уровень изъятия сбережений;
СДВИ — сбережения "до востребования" изъятые за определенный период;
СДВ — общая сумма сбережений "до востребования" за тот же период, рассчитанная как остаток сбережений "до востребования" на начало периода плюс сумма сбережений, внесенная за период.
Знание этого показателя позволит определить минимально необходимую сумму "живых" денег (в кассе или на банковском текущем счете), которую КС должен иметь, чтобы своевременно удовлетворять требования пайщиков о возврате сбережений "до востребования".
Пример.
Остаток сбережений "до востребования" на начало периода составил 1000 руб. Внесено пайщиками на счета "до востребования" за период 2000 руб., изъято -1500 руб. Тогда
![]()
Долгосрочные сбережения
Минимальный размер всех долгосрочных сбережений должен составлять достаточно большую долю от общего объема сбережений, например не менее 40%.
Наличие долгосрочных сбережений обеспечивает возможность интенсивного роста КС. Их многократный оборот в течение длительного периода приносит доход значительно больший, чем предусмотрено договором. Долгосрочные сбережения также дают возможность осуществлять программы кредитования пайщиков на длительный срок либо осуществлять вложения в накопительные финансовые инструменты, принося стабильный доход в течение длительного периода.
Для пайщиков привлекательность долгосрочных сбережений может обеспечиваться либо за счет повышения ставки процента по ним, либо за счет поощрительных мероприятий (приз по итогам года и т. п.). Досрочное изъятие долгосрочных сбережений должно предусматривать штрафные санкции.
Кратко - и среднесрочные сбережения в КС
Сбережения на срок до полугода составляют наибольшую долю в общем объеме сбережений КС. При этом, как правило, большинство пайщиков по окончании срока не забирают сбережения из КС, а переоформляют договор. Объясняется это тем, что пайщики еще психологически не готовы расставаться с деньгами на длительный срок и предпочитают регулярно контролировать их сохранность.
Поскольку кратко - и среднесрочные сбережения являются практически основным ресурсом КС, работе с ними надо уделять особое внимание. С одной стороны, они не дают КС возможности осуществлять долгосрочное кредитование, с другой — вышерассмотренная ситуация, когда пайщики систематически переоформляют свои средства, дает возможность считать такие сбережения долгосрочными. Поэтому с точки зрения планирования размещения ФФВП целесообразно рассчитывать коэффициент, аналогичный коэффициенту изъятия сбережений "до востребования":
![]()
К2 - коэффициент изъятия срочных сбережений;
ССИ - сумма срочных сбережений, изъятых (не переоформленных) за период;
СС — сумма срочных сбережений за период, рассчитанная как остаток срочных сбережений на начало периода плюс сумма срочных сбережений, внесенных за период.
Эта формула позволяет определить, какая часть срочных сбережений изымается, а какая остается в КС и может быть использована для долгосрочного кредитования пайщиков.
Пример.
Пусть сумма срочных сбережений пайщиков на начало периода составиларуб., внесено за периодруб. срочных сбережений, закончено договоров наруб., из них наруб. возобновлено договоров. Тогда
![]()
То есть только 20% срочных сбережений в КС изымается, остальные остаются в КС.
Выше уже отмечалось, что взносы пайщиков, будучи обязательствами кредитного союза, не являются привлеченными средствами. Кредитный союз имеет возможность использовать и привлеченные на возвратной основе средства — кредиты банков и займы небанковских организаций. Этот вид ресурсов целесообразно использовать, если условия его получения выгоднее сбережений пайщиков. Использование привлеченных средств вместо сбережений пайщиков подрывает принцип кооперативного взаимодействия и "размыкает" внутренний оборот кредитного союза со всеми возможными последствиями. Управление этим видом ресурсов должно учитывать более жесткие условия возврата, в частности — штрафные санкции в случае просрочки, что непременно следует иметь в виду при размещении таких средств.
Кредитный союз, как и иные финансовые организации, несет так называемый риск обязательств, который состоит прежде всего в невозможности своевременно и в полном объеме исполнить обязательства (риск недостатка ликвидности), то есть своевременно и в полном объеме возвратить сбережения пайщикам или вернуть привлеченные средства с учетом причитающегося дохода. Эта ситуация может быть спровоцирована тем, что КС не учел противоположного риска — риска невозможности разместить аккумулированные ресурсы (риск избытка ликвидности). С такой проблемой сталкиваются многие кредитные союзы в настоящее время. Управлять таким риском можно, например, прекратив прием сбережений (что нежелательно) или понижая процентную ставку за пользование займами, что повлечет за собой необходимость корректировки процентной ставки по сбережениям. Если же у кредитного союза есть привлеченные средства, снизить ставку процента по которым не представляется возможным, то это может привести к убыткам для кредитного союза (еще один аргумент в пользу того, что не стоит "увлекаться" привлеченными средствами).
2. Основной финансовый актив кредитного союза — займы пайщикам
Главное направление использования финансового ресурса — займы пайщикам, устойчивый спрос на которые служит побудительным мотивом и основной причиной создания и существования кредитного союза. Возможность кредитного союза предоставлять займы зависит от ряда факторов:
• объема ресурсов КС, полученных в виде паевых взносов, сбережений, а также привлеченных средств;
• средней продолжительности пользования выданными займами;
• размера компенсации, полученной за пользование займами;
• уровня невозврата займов в КС.
Процедура выдачи займов
Для получения займа в КС пайщик должен представить заявку по установленной форме, в которую желательно включить не только сумму займа и срок, на который пайщик хочет получить заем, но также предполагаемую периодичность гашения займа и/или компенсации — еженедельно, ежемесячно и т. д. Наличие заявок позволяет более эффективно спланировать распределение ресурсов в КС.
Кроме того, анализ удовлетворенности запросов на займы позволяет оценить эффективность заемной деятельности КС.
Прежде чем приступить к кредитованию пайщиков, необходимо принять меры к ограничению риска, связанного с возможным невозвратом займа. Для этого целесообразно установить максимальный размер займа, который может быть выдан в одни руки. Этот размер устанавливается либо в фиксированной сумме, либо в процентном отношении к какому-либо показателю — ФФВП, сумме активов и т. д. В любом случае, заем в одни руки не должен превышать 10% ФФВП.
Возможность для пайщика получения займа в КС должна быть связана с наличием у него средств в КС. С этой целью, а также с целью ограничения размера риска, приходящегося на одного заемщика, необходимо устанавливать соотношение размера займа и сумм средств пайщика в КС.
Сумма средств пайщика, с которым соотносится возможная сумма займа, может включать либо только паевые взносы, либо только сбережения, либо и то и другое. Можно также обязать пайщика при получении займа вносить специальный страховой сберегательный взнос, составляющий определенное соотношение с суммой займа. Проценты на такой страховой взнос могут начисляться по пониженной ставке, либо не начисляться вообще.

ПВ — сумма паевых взносов пайщика;
С — сбережения пайщика;
ССп - сумма собственных средств пайщика (паевых взносов и сбережений);
СВ — страховой взнос пайщика.
Пример.
Пайщик имеет в КС сбережения в размереруб. ФФВП составляет руб. Максимальный размер займа одному пайщику составляет 4-кратный размер суммы сбережений пайщика в КС, но не более 10% ФФВП. Следовательно, если пайщик захочет получить максимальный заем х 4 =руб.), КС может предоставить ему только% от руб.).
На практике сберегательный взнос в большинстве КС составляет 20% от запрашиваемой суммы займа.
Необходимо оценить платежеспособность заемщика, его возможность вернуть долг. В отношении "обычных" заемщиков, живущих на зарплату, можно применить следующую методику, разработанную , управляющим КПК "ЭкПа". Для этого необходимо знать прожиточный минимум на человека в регионе (эти данные можно получить в местном статуправлении), доход заемщика и членов его семьи, количество человек в семье. Затем, путем вычитания из совокупного дохода семьи прожиточного минимума, умноженного на количество человек в семье, можно получить чистый доход, то есть ту сумму, которую заемщик может регулярно направлять на погашение долга.
Пример.
Пайщик просит в КС заем в размере 1000 руб. на 2 месяца под 5% в месяц. Доход пайщика составляет 2600 руб. в месяц, у него неработающая жена и двое детей. Прожиточный минимум составляет 500 руб. в месяц на человека. Чистый доход семьи пайщика в месяц составит:
2600-(500.4)= 600 руб.
Предположим, что долг возвращается равными долями, проценты начисляются на всю сумму займа. Тогда обязательства по уплате долга ежемесячно составят:
![]()
Ежемесячный чистый доход превышает размер ежемесячных обязательств, заем может быть предоставлен.
Если пайщик является предпринимателем и не имеет постоянного источника дохода в виде заработной платы, то в этом случае можно ориентироваться на данные его налоговой декларации, если речь идет об обычном потребительском займе. Если пайщик просит заем на предпринимательскую деятельность, то процедура оценки его платежеспособности становится более сложной, руководителю КС необходимо иметь навыки в области оценки бизнес-планов.
КС может потребовать от пайщика предоставить полис страхования жизни на сумму, не меньшую чем сумма займа. Страхование жизни заемщика необходимо только в случае предоставления достаточно крупного займа (решение о том, начиная с какой суммы займа от пайщика требуется полис, должно быть надлежащим образом оформлено). Кроме того, КС может заключить договор со страховой компанией о страховании жизни на сумму займа всех заемщиков. В обоих случаях расходы по страхованию несет сам пайщик, но в первом случае он делает это в индивидуальном порядке, а во втором - страховые взносы перечисляет КС либо в виде отчислений от дохода по сбережениям пайщиков, либо в виде специальных целевых взносов.
Доступными формами обеспечения займов в КС являются: собственные средства пайщиков в КС (сбережения), поручительство других пайщиков и залог, реже — банковская гарантия. Многие КС устанавливают максимальный размер доверительного (необеспеченного займа). Займы, превышающие этот размер выдаются только под обеспечение, но объем обеспечения может варьировать в зависимости от суммы займа.
Пример.
|
Размер займа. |
Вид и объем обеспечения |
|
Не более 1000руб |
Доверительный |
|
руб. |
Сбережения самого заемщика в размере не менее 20% суммы займа, либо поручительство одного пайщика, имеющего сбережения в том же размере |
|
руб. |
Сбережения самого заемщика в размере не менее 30% суммы займа, либо поручительство одного пайщика, имеющего сбережения в том же размере |
|
руб. |
Сбережения самого заемщика в размере не менее 50% суммы займа, либо поручительство одного или нескольких пайщиков, имеющих суммарные сбережения в том же размере |
|
700руб. |
Сбережения самого заемщика в размере не менее 70% суммы займа, либо поручительство одного или нескольких пайщиков, имеющих суммарные сбережения в том же размере, либо залог, оценочная стоимость которого не меньше 200% суммы займа |
|
Свышеруб. |
Не выдается. |
Порядок и планирование погашения займа
Существует несколько вариантов порядка погашения займа.
В банковской практике наиболее распространены ситуации, когда заем с процентами погашается регулярно, равными платежами, либо регулярно погашаются проценты, а сумма займа возвращается единовременно в конце срока пользования (иногда заем с полной суммой процентов погашается одной суммой в конце срока). Во всех случаях суммы, которые нужно уплатить, нетрудно подсчитать, поскольку существуют специальные формулы. Рассмотрим их на конкретных примерах.
Пример 1.
Сумма займа равна 1000 руб., срок займа - 5 месяцев, ставка процента - 60% годовых. Проценты начисляются на всю сумму займа, долг погашается равными частями ежемесячно. Начисленная сумма процентов: 1000 х 0,6/12 х 5=250 руб. Сумма долга: 1000+250 = 1250 руб. Ежемесячная уплата: 1250/5 = 250 руб.
Реальный процент, уплаченный пайщиком за пользование займом, составил 25% или 5% в месяц.
В КС проценты по займам взимаются, как правило, не с полной суммы займа, а с остатка после погашения части займа. Рассмотрим примеры:
Пример 2.
Условия берем из предыдущего примера. Заем гасится равными суммами, проценты выплачиваются ежемесячно на остаток займа.
Тогда ежемесячная сумма в погашение займа равна 200 р., ежемесячная сумма процентов к уплате составит: в 1-й месяц -1000 х 0,6/12 = 50 руб. во 2-й месяц - (1х 0,6/12 = 40 руб. и т. д.
План погашения займа представлен в таблице 1.
Таблица 1
|
Месяц |
Остаток долга на начало месяца |
Сумма погашения долга |
Выплата процентов |
Срочная уплата |
|
(1) |
(2) |
(3) |
(4)=(2) х 0,67/12 |
(5)=(3)+(4) |
|
1 2 3 4 5 |
1000 800 600 400 200 |
200 200 200 200 200 |
50 40 30 20 10 |
250 240 230 220 210 |
|
Всего к уплате: 1150 руб. |
• Обратим внимание, что эффективный (реальный) процент, уплаченный заемщиком за весь срок пользование займом, составил 15% или 3% в месяц, то есть ниже ставки, установленной договором.
Пример 3.
Возьмем данные из предыдущего примера, но теперь срочная уплата в возмещение займа и процентов должна быть одинаковой на протяжении всего срока пользования займом. Воспользуемся следующей формулой:

СУ - срочная уплата;
СЗ - сумма займа;
i - процент годовых;
n - количество лет пользования займом.
Внимание: как правило, все формулы построены для годового исчисления процентов и годового срока пользования займами. Для приведенной выше формулы значения знаменателя затабулированы в зависимости от срока и ставки процента, что облегчает ее использование.
В КС, как правило, займы выдаются на срок не более года, поэтому проценты удобнее также выражать в месячном исчислении. В противном случае, формула усложняется, и применение таблиц затруднено. Тогда для нашего примера: i = 5% в месяц (60/12); n = 5 месяцев.
СУ = 1000 / 4,329477*= 230,97 руб.
* взято из таблицы
План погашения займа представлен в таблице 2.
Таблица 2
|
Месяц |
Остаток долга на начало месяца |
Срочная уплата |
Выплата процентов |
Сумма погашения долга |
|
(1) |
(2)=(2)-(5) |
(3) |
(4)=(2)х0,05 |
(5)=(3)-(4) |
|
1 2 3 4 5 |
1000,00 819,03 629,01 429,49 219.99 |
230,97 230,97 230,97 230,97 230.97 |
50,00 40,95 31,45 21,47 10.99 |
180,97 190,02 199,52 209,50 219,98 |
|
Всего к уплате: 1154,85 руб. |
В этом случае заемщик возвращает долг равными суммами, включающими в себя как часть займа, так и проценты по нему, причем расходы по самому займу увеличиваются, а расходы по уплате процентов — снижаются.
Обратите внимание на то, что сумма долга, уплачиваемая заемщиком, больше, чем в примере 2, но меньше, чем в примере 1. Эффективный процент составил 15,485% за полный срок пользования займом или 3,097% в месячном исчислении.
Какой способ погашения долга выбрать - решает сам КС, но лучше, если порядок погашения займов будет един для всех категорий заемщиков, независимо от срока и суммы займа. Порядок погашения займов утверждается органом КС — общим собранием или правлением — с тем, чтобы не допустить злоупотреблений и дискриминации пайщиков.
Анализ займов
Средний срок пользования займом
Полезным инструментом финансового управления в КС является такой показатель, как средний срок пользования займом. Знание этого показателя, во-первых, позволяет точнее планировать структуру сбережений и займов по срокам, а во-вторых, оценить доход, который приносит каждый рубль, внесенный в ФФВП.
Средний срок пользования займом рассчитывается по формуле:
![]()
|
Из за большого объема этот материал размещен на нескольких страницах:
1 2 3 4 5 6 7 8 9 10 11 12 13 14 15 |



