Первый шаг SWOT - анализа – оценка собственных сил. Данный этап позволит определить, каковы сильные стороны и недостатки структурного подразделения.
Для того чтобы определить сильные и слабые стороны структурного подразделения, необходимо:
1. Составить перечень параметров, по которым будет оцениваться структурное подразделение.
2. По каждому параметру определить, что является сильной стороной структурного подразделения, а что слабой.
3. Из всего перечня выбрать наиболее важные сильные и слабые стороны структурного подразделения и занести их в матрицу SWOT-анализа.
Второй шаг SWOT - анализа – это оценка рынка образовательных услуг. Этот этап позволит оценить ситуацию вне университета и понять, какие есть возможности у структурного подразделения, а также каких угроз следует опасаться (и, соответственно, заранее к ним подготовиться).
Методика определения возможностей и угроз практически идентична методике определения сильных и слабых сторон структурного подразделения:
1. Составьте перечень параметров, по которым будет оцениваться рынок образовательных услуг.
2. По каждому параметру определить, что является возможностью, а что угрозой для структурного подразделения.
3. Из всего перечня выбрать наиболее важные возможности и угрозы структурного подразделения и занести их в матрицу SWOT –анализа.
Третий шаг SWOT – анализа - сопоставление сильных и слабых сторон структурного подразделения с возможностями и угрозами рынка образовательных услуг.
Сопоставление сильных и слабых сторон с рыночными возможностями и угрозами позволит ответить на следующие вопросы, касающиеся дальнейшего развития структурного подразделения:
1. Как можно воспользоваться открывающимися возможностями, используя сильные стороны структурного подразделения?
2. Какие слабые стороны структурного подразделения могут в этом помешать?
3. За счет каких сильных сторон можно нейтрализовать существующие угрозы?
4. Каких угроз, усугубленных слабыми сторонами структурного подразделения, следует больше всего опасаться?
Методика SWOT – анализа дает возможность установить не только перечень факторов, которые предположительно вызывают неблагополучие (простой перечень не дает ответа на вопрос, как эти факторы взаимодействуют, порождая проблемы), но и с высокой степенью достоверности можно определить какие из факторов являются первопричинами (истинными причинами) недостаточного уровня предоставляемых услуг структурным подразделением, а какие только содействуют препятствию достижения качества требуемого уровня. Какие факторы доминируют среди препятствующих, а какие работают на нейтрализацию нарастающих проблем. Таким образом, SWOT – анализ, как методику структурного динамического моделирования, возможно использовать в процессе планирования в области качества, результат которого представляется в виде стратегических целей деятельности структурного подразделения университета.
Литература
1. Степанов и методика самооценки деятельности образовательных учреждений в области менеджмента качества // Проблемы высшего технического образования. Межвуз. Сб. Науч. ТР. / Под общ. Ред. . – Новосибирск: Изд-во НГТУ, 2004. –Вып. 5(30): «Качество образования: международный опыт и российские традиции».
2. ГОСТ Р ИСО . Система менеджмента качества. Требования. – М.: Изд-во стандартов, 2001. – 21 с.
ВЫДЕЛЕНИЕ И ОПИСАНИЕ ПРОЦЕССОВ СИСТЕМЫ
МЕНЕДЖМЕНТА КАЧЕСТВА В ВЫСШЕМ УЧЕБНОМ
ЗАВЕДЕНИИ
, ,
Орловский государственный технический университет, г. Орел
Рассматриваются вопросы классификации процессов, осуществляемых в ВУЗе в ходе его учебной, научной, производственной деятельности. Приводится описание последовательности построения документированной процедуры в виде паспорта процесса.
Создание систем менеджмента качества (СМК) в ВУЗах России является одним из важнейших элементов их конкурентоспособности как внутри страны, так и на международном рынке образовательных услуг.
В рамках создания СМК и для ее эффективного функционирования в Орловском государственном техническом университете (ОрелГТУ) были определены основные категории продукции вуза: выпускники; кадры высшей квалификации (кандидаты и доктора наук); учебно-методическая литература; научно-техническая продукция; продукция производственной деятельности; продукция услуг (юридических, консалтинговых, консультационных и др.).
С учетом указанной классификации была разработана сеть процессов СМК, в которой выделены: процессы системы менеджмента качества; процессы, связанные с ответственностью руководства; процессы менеджмента ресурсов; процессы жизненного цикла продукции; процессы, связанные с измерением, анализом и улучшением.
При этом сеть процессов построена таким образом, что ее разделы соответствуют разделам ГОСТ Р ИСО 90
Каждый из выделенных процессов представлен подпроцессами, реализующими процессы управления. Документационное описание процессов и подпроцессов СМК рассматривается в двух аспектах:
- документированные процедуры, определяющие порядок выполнения процессов;
- документы, являющиеся результатом выполнения процессов.
Процессы СМК регламентируются различными видами документов, в основном, стандартами организации и положениями, а также «специфическими документами СМК» (Руководством по качеству, Политикой в области качества, Сборником целей в области качества, планами и отчетами и др.).
Однако, некоторые процессы СМК требуют более детального описания, чем это допускается в рамках указанных документов.
Основываясь на опыте ведущих ВУЗов России, были рассмотрены и проанализированы возможности использования для этих целей регламентов процессов, их спецификаций, паспортов и т. д. При проектировании и создании СМК в ОрелГТУ был выбран путь паспортизации большого количества процессов, для чего разработан СТО ОрелГТУ 07 «СМК. Паспорт процесса: Общие правила построения, изложения, содержания, оформления, обозначения, порядка согласования и утверждения».
Основными положениями паспорта являются следующие: описание процесса, технология выполнения процесса, критерии результативности процесса и показатели их достижения, мероприятия по улучшению процесса, ответственность и полномочия, записи.
Раздел «Описание процесса» включает подразделы: цель процесса; владелец процесса; состав процесса; входы процесса; выходы процесса; поставщики процесса; потребители процесса; ресурсы под реализацию процесса.
Содержание подраздела «Цель процесса» представляет собой кратко сформулированное назначение процесса, отражающее его место и роль в СМК. Цели процесса должны быть согласованы с основными стратегическими целями университета, а их достижение – направлено на повышение качества и эффективности проектируемого процесса.
В подразделе «Владелец процесса» указывается должностное лицо, имеющее соответствующие права и полномочия по управлению процессом, несущее ответственность за результаты процесса. Должностное лицо указывается в соответствии со штатным расписанием и организационной структурой. Далее приводится название и обозначение документа, в котором закреплены соответствующие ответственность и полномочия владельца процесса.
Подраздел «Состав процесса» содержит перечень подпроцессов, составляющих процесс.
«Входами процесса» могут служить объекты, предназначенные для преобразования и (или) прибавления ценности при функционировании процесса СМК. В их роли могут выступать: информация, субъекты, знания, умения и навыки обучающихся, научные продукты, инфраструктура, материальные объекты, преобразуемые процессом для создания выходных потоков.
«Выходами процесса» могут быть: информация, знания, умения и навыки обучающихся, научные продукты, инфраструктура, материальные объекты или услуги, являющиеся результатом выполнения процесса и имеющие потребительскую ценность (материальную или нематериальную), потребляемые внешними по отношению к процессу клиентами. Выходы одних процессов могут являться входами для других процессов, в том числе, протекающих за пределами организации.
В подразделе «Поставщик процесса» указываются подразделения университета или процессы, являющиеся поставщиками проектируемого процесса.
Потребителями процесса могут являться подразделения или другие процессы университета, являющиеся потребителями результатов процесса.
В подразделе «Ресурсы под реализацию процесса» приводится перечисление ресурсов необходимых, для реализации процесса.
В соответствии с ГОСТ Р ИСО в качестве ресурсов могут выступать: человеческие ресурсы, инфраструктура и производственная среда. При необходимости возможно добавление других видов ресурсов, в частности, финансовых ресурсов, ресурсов окружающей среды и т. д.
Раздел «Технология выполнения процесса» содержит описание декомпозиции основного процесса на составляющие его подпроцессы и технологию их выполнения.
Реализация описываемого процесса должна представляться в виде совокупности действий, четко и однозначно воспринимаемых в качестве последовательности выполнения проектируемого процесса. При этом должны быть указаны виды деятельности, необходимые для выполнения процесса, а также участники и документационное обеспечение процесса.
Подразделы «Критерии результативности процесса и показатели их достижения» и «Мероприятия по улучшению процесса» содержат элементы мониторинга и мероприятия по улучшению качества осуществления процесса.
Раздел «Ответственность и полномочия» описывает распределение ответственности и полномочий подразделений и должностных лиц при выполнении работ и мероприятий по процессу. Предпочтительным был выбран путь представления содержания данного раздела в виде «Матрицы ответственности и полномочий».
Раздел «Записи» включает перечень документов, создаваемых в ходе осуществления процесса и обеспечивающих выполнение работ, применяемые формы, исполнителей, сроки выпуска, получателей и порядок хранения информации.
Таким образом, паспортизация некоторых процессов СМК дает возможность более полно отразить их специфику и улучшить прослеживаемость.
К ВОПРОСУ ОБ ОЦЕНКЕ РЕЗУЛЬТАТИВНОСТИ
И ЭФФЕКТИВНОСТИ ПРОЦЕССОВ ИЗМЕРЕНИЯ
И АНАЛИЗА УДОВЛЕТВОРЕННОСТИ ПРЕПОДАВАТЕЛЕЙ
И ИХ ВОВЛЕЧЕННОСТИ В СИСТЕМУ МЕНЕДЖМЕНТА КАЧЕСТВА ОБРАЗОВАТЕЛЬНОЙ ОРГАНИЗАЦИИ
,
Тамбовский государственный технический университет, г. Тамбов
В докладе рассматривается вопрос оценки результативности и эффективности процессов измерения и анализа удовлетворенности преподавателей и их вовлеченности в систему менеджмента качества образовательной организации.
Международные стандарты семейства ИСО 9000 основываются на понимании того, что всякая работа выполняется с помощью процессов. Возможность объективного управления ходом процессов в системе менеджмента качества появляется только тогда, когда их владельцы могут оценивать (измерять, контролировать) показатели результативности и эффективности этих процессов. Каждый процесс, преобразуя некоторый объект труда, имеет вход и выход.
Выход – продукция материальная или нематериальная, которая является результатом процесса. Входом процесса может являться материальная или нематериальная продукция или природное сырье.
Согласно ГОСТ Р ИСО [1] результативность – это степень реализации запланированной деятельности и достижения запланированных результатов. Значения результативности процесса могут быть выражены через относительные показатели, характеризующие соотношение между фактически достигнутыми и ранее запланированными показателями деятельности. При этом используются такие показатели результативности, как «фактическое время / плановое время», «фактический выпуск / плановый выпуск», т. е результативность можно представить в виде:
, (1)
, (2)
где Рвх, Рвых – результативности процесса по входу и по выходу;
З план, Зфакт – фактические и плановые затраты ресурсов, оцениваемые на входе процесса;
В план, В факт - фактический и плановый выпуск продукции, оцениваемые на выходе процесса.
![]() |
Рисунок 1 – К оценке результативности и эффективности процесса
Современные руководители привыкли принимать управленческие решения на основе экономических показателей таких, как прибыль, рентабельность, себестоимость и т. п. В связи с этим в ГОСТ Р ИСО 9004–2001 [3] рекомендовано использовать показатели эффективности процессов.
Согласно ГОСТ Р ИСО [1] эффективность (Э) – это соотношение между достигнутым результатом и использованными ресурсами.
Для оценки эффективности процесса можно использовать индикаторы:
, (3)
, (4)
где У план, У факт – плановые и фактические удельные затраты на выпуск единицы продукции.
На основании изложенного выше мы предлагаем для оценки (измерения) показателя эффективности процесса удовлетворенности преподавателей и их вовлеченности в процессы системы менеджмента качества образовательной организации использовать относительные (безразмерные) показатели эффективности вида:
(5).
Из формулы (5) видно, что с ростом фактического выпуска продукции Вфакт (по сравнению с плановым выпуском продукции Вплан) и с уменьшением фактических затрат Зфакт (по сравнению с плановыми затратами З план), относительный (безразмерный) показатель эффективности Э возрастает.
Литература
1. ГОСТ Р ИСО . Системы менеджмента качества. Основные положения и словарь. – М.: Изд-во стандартов, 2001. – 30 с.
ТЕСТИРОВАНИЕ В ИНОЯЗЫЧНОМ ОБРАЗОВАНИИ
Башкирский государственный университет, г. Уфа
В настоящее время тестирование как одна из форм контроля получает все большее распространение, проникая в различные сферы деятельности человека. Обучение иностранным языкам не стало исключением. В статье рассматриваются особенности языкового тестирования, история развития языковых тестов, а также представлена одна из наиболее общих классификаций видов тестов.
В связи с приобщением России к европейским образовательным стандартам одним из наиболее актуальных и острых вопросов становится проблема контроля качества образования в целом и иноязычного образования, в частности. В связи с этим образовательные учреждения начинают разрабатывать системы менеджмента качества, включающие не только сам учебный процесс и его организацию, но и техническую, материальную, методическую и другие базы.
Контроль качества преподавания учебных дисциплин может осуществляться двумя способами: 1) анкетированием студентов и преподавателей и 2) тестированием знаний, навыков и умений студентов по изучаемым учебным дисциплинам [1, 476]. Предметом нашего внимания является в данном случае второй из упомянутых способов.
Ускоренные темпы развития информационных технологий в настоящее время предполагают разработку по каждой образовательной дисциплине системы тестов, далее процедуру апробации этой системы на предмет соответствия установленным жестким требованиям, и, наконец, перевод тестовых заданий в электронный формат для их систематического использования в интернет-тестировании.
На сегодняшний день тестирование является одной из наиболее распространенных и наиболее часто используемых форм контроля усвоения знаний. Тест становится эффективным инструментом педагогических измерений, т. к. в большей степени отвечает основным требованиям, предъявляемым контролю: объективность, экономичность, массовость, обучающий характер контроля, легкость выявления результатов, стандартизация процесса контроля.
Применение тестирования как метода педагогических исследований в процессе обучения иностранному языку имеет свои особенности.
Тест в широком смысле – это способ измерения человеческих знаний и умений в определенной области. Языковой тест – это система заданий, выполнение которых позволяет охарактеризовать с помощью определенной шкалы результатов уровень владения языком.
Языковое тестирование всегда следовало за методикой обучения иностранным языкам. В истории языковых тестов можно выделить три основных периода [3, 261]. Первый период (до 1950 г.) – «донаучный» – был связан с грамматико-переводным методом обучения иностранным языкам. Он характеризуется отсутствием каких-либо исследований в области языкового тестирования. Тем не менее, тесты уже существовали и использовались учителями. Второй период развития языкового тестирования (гг.), так называемый «структурно-психометрический» период, был связан с развитием структурализма и бихевиоризма. В этот период создатели тестов пришли к практике тестирования одной, конкретной единицы учебного материала – «discrete point» approach.
Несостоятельность структуралистского и бихевиористского подходов привела к появлению коммуникативного подхода в обучении иностранным языкам, с которым связывается новая целевая установка – формирование иноязычной коммуникативной компетенции. С эти подходом связывается третий период в истории языкового тестирования (с 60-х гг. XX в. до наших дней) – «интегративно-социолингвисти-ческий».
В практике языкового тестирования существует в настоящее время огромное разнообразие видов тестов, различающихся по целям и задачам, форме и содержанию, методике предъявления и технике выполнения.
Языковые тесты классифицируются:
Ø по целям применения
1) нормативно-ориентированные;
2) критериально-ориентированные;
Ø по видам речевой деятельности
1) тесты для контроля говорения;
2) тесты для контроля чтения;
3) тесты для контроля аудирования;
4) тесты для контроля письма;
Ø по языковому аспекту
1) лексические тесты;
2) грамматические тесты;
3) фонетические тесты;
Ø по принципу назначения
1) тесты достижений (achievement tests);
2) тесты владения языком (proficiency tests);
3) тесты склонности к языку (aptitude tests);
4) диагностические тесты (diagnostic tests);
Ø по технике проведения теста
· избирательные тесты:
1) множественного выбора;
2) альтернативного выбора;
3) перекрестного выбора;
4) упорядочение;
· задания со свободно конструируемым ответом:
5) трансформация, замена, подстановка;
6) завершение (окончание);
7) ответы на вопросы;
8) внутриязыковое перефразирование;
9) межъязыковое перефразирование;
10) клоуз-процедура (клоуз-тест) [2, 47].
Многие исследователи тестирования считали, что сфера применения тестов ограничена. Они утверждали, что тестирование охватывает только знания языкового материала и рецептивные речевые умения, но не может быть применено для контроля продуктивных речевых умений. Последние являются в настоящее время основным объектом обучения иностранным языкам, а, следовательно, и контроля, тогда как контроль знаний и навыков отодвигается на второй план.
Следует сказать, что, действительно, при проверке рецептивных коммуникативных умений (чтение и понимание на слух) предпочтение отдается избирательным тестам (см. классификацию тестов). Продуктивные же коммуникативные умения (говорение и письмо) могут быть проверены либо с помощью тестов со свободно конструируемым ответом и последующим сравнением этого ответа с эталоном, либо с помощью коммуникативно-ориентированных тестовых заданий.
Основными видами коммуникативно-ориентированных тестов являются диктант, изложение, сочинение, тест-интервью, тесты на пикторальной основе, тест-задание по проблемной ситуации.
В заключение отметим, что представляется целесообразным использовать не только различные методы обучения, но и сочетать различные виды тестов для оптимизации процесса обучения иностранным языкам.
Литература
1. , Созонова преподавания учебных дисциплин в вузе. Критерии оценки // Качество образования: системы, технологии, инновации. Материалы Международной научно-практической конференции. – Барнаул, 2007 г.
2. Конышева результатов обучения иностранным языкам, – М., 2006 г.
3. Brown Douglas H. Principles of language learning and teaching / San Francisco State University, 1993.
УПРАВЛЕНИЕ КАЧЕСТВОМ КУРСОВОГО ПРОЕКТИРОВАНИЯ ПО КУРСУ
ТЕХНОЛОГИИ РЕМОНТА МАШИН
1, 2
1ОмГАУ, г. Омск
2СибАДИ, г. Омск
Авторы представляют программу расчета загрузки ремонтного предприятия по объемам и видам работ, в основе, которой лежит график планово-предупредительного обслуживания и ремонта машин и оборудования.
В соответствии с программой изучаемой дисциплины в курсовом проекте разрабатывается технологический процесс ремонта изделия, включающий разборку, дефектацию деталей изделия, составление маршрутных и операционных карт на восстановление деталей, сборку
и контроль качества ремонта изделия. Определяется полная загрузка ремонтного предприятия по объемам, и выдам выполняемых работ, выбирается необходимый инструмент, приспособления и станочное оборудование, а также количество работающих на каждой операции.
В начале разработки, для указанной в задании техники составляют годовой график планово-предупредительного ремонта (ППР) и определяют объемы ремонтных работ. В данном случае необходимо соблюдать правило, что разница в объемах работ по месяцам не должна превышать 18-20% между собой. При составлении графика ППР необходимо учитывать сезонность эксплуатации машин и оборудования, что также оказывает влияние на плавность графика ППР и как следствие на загрузку мастерской. Составление такого графика ППР и планирование работ для предприятия это большая и «рутинная» работа, которая занимает много времени, Проблема в большей степени решается с применением ПЭВМ и прикладного программного обеспечения.
Для планирования объемов работ по техническому обслуживанию и ремонту машин и оборудования разработаны соответствующие нормативы. К их числу относятся:
- виды технического обслуживания и ремонта;
- периодичность технических обслуживаний;
- доремонтная и послеремонтная наработки;
- среднегодовые коэффициенты охвата капитальным ремонтом машин и их составных частей;
- трудоемкость каждого вида технического обслуживания и удельная трудоемкость технического обслуживания, отнесенная к единице наработки;
- удельная трудоемкость одного капитального ремонта машины и ее составных частей;
- удельные затраты на техническое обслуживание и текущий ремонт, отнесенные к единице наработки.
В программе «Расчета мастерской по объемам и видам работ» учтены все нормативы, введены ограничения не позволяющие манипу-лировать нормативными данными без знания «замка» запирающего программу, т. е. программа имеет пароль.
Системные требования:
- операционная система Windows 2000, XP;
- монитор с разрешением не менее 800х600.
Подготовив предварительно примерный график ППР, пользователь может переходить непосредственно к работе с программой.
После загрузки программы пользователю представляется «титульная» форма программы (см. рисунок 1). Обязательным условием является выбор разрешения монитора и его настройка.

Рисунок 1 – «Титульная» форма программы
Следует отметить, что наиболее приемлемым разрешением монитора является 1280х1024, при этом разрешении все формы программы отображаются полноразмерными.
При нажатии кнопки «Начать работу» загружается файловое меню. Меню позволяет сохранять и загружать результаты расчетов (см. рисунок 2). Файловое меню предоставляет пользователю доступ к устройствам хранения информации ПК. Выбор устройства хранения (жесткий диск, CD-ROM и т. д.) производится в строке 1 (см. рисунок 2), список директорий (папок) расположен в ячейке 2, список файлов в ячейке 3.

Рисунок 2 – Файловое меню
Планирование обслуживания и количества ремонтов выполняется в виде заполнения формы представленной на рис.3. Работа в форме осуществляется путем указания числа ремонтов в ячейке соответствую-щего месяца.

Рисунок 3 – Форма «Распределение числа ремонтов»
Выполнение расчета производится путем нажатия кнопки «Расчет». Форма заполняется и приобретает вид, показанный на рисунке 4.

Рисунок 4 – «Распределение нагрузки на ремонтную мастерскую»
При нажатии кнопки «Результаты расчета» появится окно (рисунок 5).

Рисунок 5 – «Результаты расчета»
Результаты расчета представляются в цифровой и графической формах. Переход к форме с диаграммами (рисунок 6) осуществляется нажатием кнопки «Диаграммы», также возможен обратный переход.

Рисунок 6 – Диаграммы результатов расчета
Программой предусмотрено графическое представление в виде диаграмм загрузки мастерской по отдельным видам работ в соответствии с технологией ремонтных работ. Для того чтобы просмотреть отдельные диаграммы по видам работ необходимо поочередно нажимать соответствующие кнопки, отображенные в последнем окне программы. Названия кнопок соответствуют видам выполняемых работ. Программа предусматривает также возможность распечатки результатов расчета, как в цифровой, так и графической формах.
Использование данной программы позволяет значительно сократить время проектирования и, несомненно повысить качество выполняемых работ. Такая постановка вопроса дает возможность использовать программу и при проведении практических занятий в процессе изучения вышеназванного курса учебных дисциплин. Использование программы вызывает повышенный интерес студентов, изучающих данную дисциплину не зависимо от формы обучения.
Программа может быть использована не только на практических занятиях и курсовом проектировании, а также при выполнении дипломных проектов, связанных с разработкой новых или реконструкцией действующих предприятий технического сервиса.
ПРОЕКТИРОВАНИЕ ПРОЦЕССА ОБРАЗОВАТЕЛЬНОЙ ДЕЯТЕЛЬНОСТИ БТИ АЛТГТУ «Воспитательный процесс»
, ,
Бийский технологический институт (филиал) АлтГТУ
им. , г. Бийск
В статье приводится описание одного из основных процессов образовательной деятельности 3-го уровня «Воспитательный процесс». В частности, составлены паспорт процесса, матрица ответственности, разработана функциональная модель процесса на основе методологии IDEF0.
Воспитательный процесс является, наряду с обучением и научной деятельностью, одним из основных в жизни высшего учебного заведения. Воспитательный процесс осуществляется в каждом из основных подразделений вуза (кафедры, группы)
Цели и задачи воспитания: воспитание высоконравственной, духовно развитой и физически здоровой личности – гражданина России, способной к высококачественной профессиональной деятельности и ответственности за принимаемые решения; формирование у студентов социальных компетентностей, нравственных, духовных и культурных ценностей и потребностей; создание условий для интеллектуальной и творческой самореализации личности. Воспитательная деятельность в вузе должна быть направлена на формирование у студентов таких важнейших личностных качеств, как трудолюбие, организованность, дисциплинированность, ответственность.
Для достижения поставленной цели, прежде всего, требуется провести проектирование процесса в соответствии со стандартом ГОСТ Р ИСО , что позволит наглядно представить все этапы реализации процесса и достичь его качественного выполнения.
Для качества воспитательного процесса как объекта менеджмента свойственны все составные части менеджмента: планирование, анализ, контроль.
Можно выделить следующие пять основных этапов в практике менеджмента управления качеством воспитательного процесса:
1) Принятие решений «какой воспитательный продукт производить?» и подготовка технических условий;
2) Проверка готовности производства воспитательного продукта и распределение организационной ответственности;
3) Процесс изготовления воспитательной продукции или воспитательных услуг;
4) Устранения дефектов и обеспечение информацией обратной связи в целях внесения в процесс создания воспитательного продукта контроля изменений, позволяющих избегать выявленных дефектов в будущем;
5) Разработка долгосрочных планов по качеству воспитательного продукта.
Осуществление перечисленных этапов невозможно без взаимодействия всех отделов, органов управления воспитательным процессом. Такое взаимодействие обеспечит системный подход к управлению качеством воспитательной работы в вузе.
Таким образом, обеспечение качества воспитательной продукции вуза – это совокупность планируемых и систематически проводимых мероприятий, создающих необходимые условия для выполнения воспитательной продукции, которая удовлетворяла бы требованиям к качеству.
Любой вуз представляет собой организацию с достаточно сложной системой пересекающихся и взаимодействующих процессов, поэтому основную сложность при разработке и внедрения СМК представляет классификация, идентификация и описание основных рабочих процессов в вузе.
Для описания базовой карты рабочего процесса необходимо определить входы и выходы процесса, а также ресурсы, необходимые для выполнения функций процесса.
На основании принятой классификации и разработанной в БТИ АлтГТУ карты процессов, «Воспитательный процесс» является подпроцессом одного из бизнес-процессов – «Учебный процесс» [1].
Обеспечением процесса «Воспитательная работа студентов» в БТИ АлтГТУ занимается структурное подразделение «Студенческий клуб», функционирующее на основании положения «О структурном подразделении «Студенческий клуб».
Организационная структура воспитательного процесса БТИ АлтГТУ представлена на рисунке 1.
На основании имеющихся данных и опроса владельца процесса, разработан паспорт процесса. Паспорт содержит следующие пункты, позволяющие идентифицировать и описать процесс:
Шифр процесса – ПБ 3-7.5-04..
Наименование процесса – «Воспитательный процесс».
Пункт ГОСТ Р ИСО 9001 – п. 7.5.
Владелец процесса – Зам. по ВР первого проректора по УР.
Поставщики процесса – Структурные подразделения БТИ
АлтГТУ (факультеты, деканаты, кафедры).
Потребители процесса – Студенты очной формы обучения.
Участники процесса – Структурные подразделения БТИ АлтГТУ (студ. клуб, штаб ССО, турклуб «Ирбис», клуб КВН, Административная группа, редакция газеты «Технология»).

Рисунок 1 – Организационная структура воспитательного процесса
Классификация процесса:
По назначению – бизнес-процесс.
По структуре – вертикальный процесс.
По уровню – 3-й уровень.
Этапы и взаимосвязь процесса:
Этапы процесса – формирование заказа, постановка задач, формирование планов, отчетов, организация мероприятий согласно плана, работа кружков, секций.
Входные данные – студенты первокурсники, заказ на проведение работ по воспитанию студентов, требования руководства.
Выходные данные (результат процесса) – отчеты о проведенных мероприятиях, студенты с определенным уровнем воспитания.
Документация процесса:
Внешняя: ГОСТ Р ИСО 9001 – 2001 «Система менеджмента качества. Словарь», Федеральный закон «Об образовании» от 01.01.01 года № 000.
Внутренняя: Должностные инструкции подразделений студенческого клуба, положение о структурном подразделении «Студенческий клуб», положение об организации воспитательной работы в Бийском технологическом институте (филиал) АлтГТУ им. И. И Ползунова.
Записи процесса:
Планы проведения воспитательной работой, общественных мероприятий, отчеты о проведенных мероприятиях.
В соответствии с требованиями, предъявляемыми к описанию процессов, для «Воспитательного процесса» разработана матрица ответственности, в соответствии с которой распределены обязанности между всеми участниками.
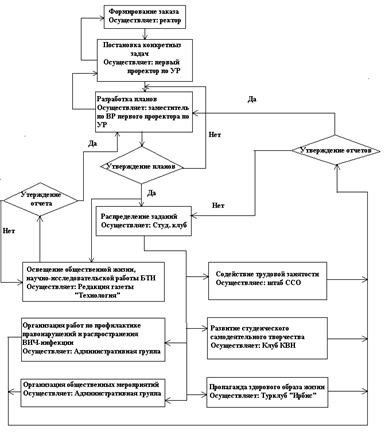
Наглядно проследить взаимосвязь между исполнителями заданий процесса «Воспитательный процесс» и вышестоящими подразделениями можно на блок – схеме, представленной на рисунке 2.
Кроме того, на основании методологии IDEF0 разработана функциональная модель процесса, отражающая в полной мере все входы, выходы и ресурсы используемые в процессе.
Таким образом, проведенная работа позволяет надеяться на достижение качества в воспитательной работе студентов в случае официального внедрения данного процесса.

Рисунок 2 – Блок-схема процесса «Воспитательная работа студентов»
Литература
1. , , Харитонов сети процессов при создании СМК образования в БТИ АлтГТУ качеству // Управление качеством образования, продукции и окружающей среды: материалы Всероссийской научно-практической конференции 6-7 июля 2006 года. Алт. гос. тех. ун-та, 2006. – Бийск, С. 43 – 46.
Качество образования начинается с воспитания
Бийский педагогический государственный университет
им. , г. Бийск
В докладе предлагается рассмотреть культурологический подход в совершенствовании качества образования.
На первом году обучения студент любого вуза проходит адаптационный период: включается в микроклимат соответствующей структуры и в целом образовательного учреждения. Прежде всего, каждый поступивший в новом статусе ощущает свою социальную значимость, личностный рост: приятно слышать обращение на Вы, деликатное внимание к своему мнению, приобщение к совместной деятельности с педколлективом вне зависимости от мотивации выбора специальности.
Предпочтение местным вузам отдается по разным причинам – от невозможности куда-либо поехать (материальная необеспеченность, высокий проходной балл, боязнь родителей за свое чадо и т. п.) до ограниченности институтов в нашем городе; с ориентацией на профессию поступают единицы. Даже на заочном отделении психологического факультета БПГУ им. (дошкольное отделение) по результатам проведенного 5 лет тому назад анкетирования лишь 40% поступивших были с профессиональной направленностью на работу в образовательных учреждениях, зато на личностный рост – 60% (при этом 40% – на совершенствование контактирование с окружающими).
Новоявленных студентов заполняет счастье весь первый семестр: нет ежеурочного контроля (читаются ведь лекции), нет дневников – нет контроля родителей. Они счастливее студентов выпускного курса (данные по опроснику М. Аргайл, проведенному в 2007 г. на факультете психологии БПГУ им. ): они улыбаются безмятежно, рады встрече с другими. Как сохранить искру счастливой жизни в тяжелом учебном труде – сложнейшая задача принявших на обучение.
В настоящее время в образовании преобладает логическая составляющая знаний в ущерб историко-культурной и социокультурной. В результате образование утратило культурный, нравственный, личностный, а вместе с этим и предметно-деятельностный смысл и контекст. Это означает, что произошел разрыв образования и культуры, образования и жизни.
В педагогическом обществе наблюдается тенденция осознания культуросообразности и культуроемкости образования (работы Н. Е Щурковой), тенденция повышения общего интереса к культуре и ее преломления в образовании, развития культурологического анализа. Оформился культурологический подход к обучению и воспитанию, синтезированный в культурологическую парадигму образования (). предлагает ввести понятие «культура образования», включающая высокое качество процесса образования и высокое качество его результата. Ведущей тенденцией модернизации образования должен стать переход от знаниевой к личностной парадигме педагогической деятельности, подлинная сущность которой заключается в личности как предмете и цели педагогической деятельности (). История свидетельствует: при отрыве от жизненных культурных реалий педагогика превращается в схоластику, образование – в формально технологический процесс. Только культуроцентризм как методологическая основа образования предполагает наличие ценностно-нормативной системы знаний, формирующей «образ» личности как целостного и органичного субъекта культуры (). Достижение у субъекта образования черт культурного сознания возможно в рамках междисциплинарного и личностно-ориентированного подходов (). Ориентация на культурологическое развитие личности в образовании потребует от профессиональных педагогов – воспитателей, учителей, преподавателей, руководителей образовательных учреждений – окультуривания педагогического взаимодействия. Образование человека (в онтологическом и культурологическом смыслах) как социального существа является общим предметом для практической педагогики, практической психологии, философии, филологии и тем самым служит основанием их неразрывного единства в образовательном процессе.
Управление качеством образования, прежде всего в руках организатора учебно-воспитательного процесса. Если руководитель – глава научной (или производственной) школы, то соответствующий образ подразделения оформляется в исследовательскую лабораторию образовательного пространства: все участники выступают субъектами педагогической деятельности (все нужны), объект целостностный как для обучаемых, так и для обучающих. В такой атмосфере активизируется жизнедеятельность студентов (появляется новый стимул – радость познания через общение), преподавателей (радость познания новой личности), и тех и других устраивает ситуация успеха, которая и обеспечивает качество образования. Однако это идеальный случай, не имеющий обычно место в провинциальном вузе.
В педагогических вузах, как справедливо отмечает , часто отсутствует гуманизированная культурная среда: студенты практически не общаются с детьми и не обсуждают проблемы духовно-нравственного воспитания с преподавателями. У студентов формируется знаниевый образ преподавателя: в рисуночном изображении педагогов дошкольного отделения педфака БПГУ им. на выпускном курсе указали на профессиональную направленность (стопка книг, растение, шевелюра и т. д.) и написали, что хотели бы знать их как личность. Личность проявляется в улыбке, но улыбки бывают разные: спонтанные улыбки, выражающие искреннюю радость или привязанность, напоминают улыбку Дюшенна, предполагающую активизацию области глаз и верхней части лица, а также рта. Когда люди лишь притворяются, что счастливы, верхние детали улыбки зачастую отсутствуют (М. Аргайл).
Есть деканы среди женщин, которые не улыбаются. Угрюмость, непроницаемость лица подавляет, вызывает апатию, о вдохновении, о радости встречи и говорить не приходится. В таких условиях нет оптимизма, успешности общения, которое вызывает эстетические переживания студентов и преподавателей, следовательно, декан не организует коллектив на повышение качества образования. И действительно такому педагогическому вузу предстоит перейти к экспериментальному образованию ().
Литература
1. Психология счастья – 2-е изд. – СПб.: Питер, 2003.
2. Антикризисная направленность современного воспитания – журнал «Педагогика» №3, 2007.
3. Прикладная педагогика воспитания: учебное пособие. – СПб.: Питер, 2005.
СИСТЕМА ДОПОЛНИТЕЛЬНОГО ПРОФЕССИОНАЛЬНОГО ОБРАЗОВАНИЯ КАК ФАКТОР ОБЕСПЕЧЕНИЯ АПК КРАЯ КВАЛИФИЦИРОВАННЫМИ КАДРАМИ
ФГОУ ДПОС «Алтайский институт повышения квалификации
руководителей и специалистов АПК», г. Барнаул
Проводится сравнение значимости дополнительного профессионального образования для предприятий г. Барнаула и сельской местности. Именно для предприятий АПК края система ДПО является основным фактором обеспечения квалифицированными кадрами.
Опрос 120 работодателей г. Барнаула выявил, что к основным условиям, которым должен соответствовать претендент на вакантную должность, требующую высокой квалификации, 85% опрошенных относят опыт работы и наличие высшего профессионального образования. Результаты опроса оформлены в таблицу 1. Работодателям предлагалось выбрать один из предложенных вариантов ответов.
Таблица 1 – Предпочтения работодателей относительно образования нанимаемых квалифицированных работников
|
1. Насколько ценным Вы считаете наличие у работника высшего профессионального образования? |
% ответов |
|
Важен опыт работы. Высшее образование не обязательно |
13 |
|
Обязательны опыт работы и высшее профессиональное образование |
85 |
|
Важно высшее профессиональное образование. Опыт работы менее важен |
2 |
|
2. Насколько ценным Вы считаете наличие у работника дополнительного профессионального образования, в сравнении с наличием высшего профессионального образования? | |
|
Дополнительное профессиональное образование значения не имеет |
- |
|
Предпочтительно наличие высшего образования, но мы готовы принять и специалиста с дополнительным профессиональным образованием |
87 |
|
Предпочтительно наличие дополнительного профессионального образования |
13 |
Наличие у работника дополнительного профессионального образования предпочтительно для 13% опрошенных работодателей
г. Барнаула. В качестве причин, ответившие указывали практическую направленность ДПО, в отличие от академического высшего образования и осмысленный выбор при получении такого образования.
Результаты опроса показывают, что в Барнауле наличие дополнительного профессионального образования не может выступать фактором конкурентоспособности на рынке труда по сравнению с наличием высшего образования. Объясняется это отчасти различными функциями высшего и дополнительного профессионального образования, но в немалой степени – переизбытком специалистов с высшим образованием, сконцентрированных, прежде всего, в г. Барнауле. Так, по данным службы занятости населения в среднем за 2006 г. напряженность (количество безработных на одну вакансию) в Барнауле по главным бухгалтерам составляла 17 чел., а по рядовым бухгалтерам 42 чел.
Иная картина наблюдается в сельской местности. Информация по образовательному уровню работников сферы АПК представлена Главным управлением сельского хозяйства Алтайского края.
Таблица 2 – Уровень образования работников АПК Алтайского края
на 31 декабря 2006 г.
|
Категория работников |
% с высшим образов. |
% со средн.-спец. образов. |
% без образов. |
|
Всего работающих |
6,42 |
21,79 |
71,79 |
|
Руководители |
73,68 |
22,5 |
3,82 |
|
Главные специалисты всего |
55,62 |
39,92 |
4,46 |
|
В том числе главные агрономы |
71,75 |
24,58 |
3,67 |
|
главные экономисты |
71,25 |
27,5 |
1,25 |
|
главные ветеринарные врачи |
62,67 |
35,42 |
1,91 |
|
главные зоотехники |
56,37 |
39,94 |
3,69 |
|
главные инженеры |
53,4 |
37,1 |
9,5 |
|
главные бухгалтеры |
42,34 |
55,85 |
1,81 |
Из таблицы 2 видно, что общая обеспеченность высшим образованием главных специалистов АПК края составляет 55,62%, а большинство главных бухгалтеров (55,85%) не имеют высшего образования.
В современных условиях решить проблему обеспеченности АПК квалифицированными кадрами может именно система дополнительного профессионального образования. ДПО имеет ряд преимуществ, по сравнению с высшим образованием, а именно:
- низкая стоимость (10-20 тыс. за весь период обучения); минимальные временные затраты (продолжительность обучения 1-1,5 года).
К недостаткам системы дополнительного профессионального образования можно отнести его менее высокий качественный уровень, по сравнению с высшим образованием. Однако, для работников сферы АПК характерны следующие отличия:
- наличие практического опыта; удаленность от учебных заведений; невозможность длительного отрыва от производства; низкие платежные возможности.
В этих условиях именно система дополнительного профессионального образования является основным фактором обеспечения АПК квалифицированными кадрами. На практике зачастую наблюдается парадокс: не смотря на острую нехватку сельских квалифицированных кадров, информационный голод главных экономистов и бухгалтеров сферы АПК и субсидирование обучения (в Алтайском институте повышения квалификации руководителей и специалистов АПК составляет до 100%) за счет краевого бюджета, в институтах системы ДПО случается недобор слушателей по управленческим и бухгалтерским специальностям. Это говорит как о внутренних недостатках системы ДПО в сфере АПК, таких как низкий уровень кооперации с предприятиями сельскохозяйственного производства, так и о недооценке роли образования руководителями организаций сферы АПК.
Преодолеть указанные недостатки можно с помощью создания интегрированных комплексов организаций высшего образования, дополнительного профессионального образования и сельскохозяйственного производства, а также заключения договоров о сотрудничестве между организациями ДПО сферы АПК и хозяйствами края. Такое взаимовыгодное сотрудничество будет способствовать реализации краевой федеральной программы «Кадровое обеспечение АПК» и национального проекта «Развитие АПК» в целом.
ПРИМЕНЕНИЕ СРЕДСТВ И МЕТОДОВ УПРАВЛЕНИЯ КАЧЕСТВОМ ДЛЯ АНАЛИЗА ДЕЯТЕЛЬНОСТИ
,
Бийский технологический институт (филиал) АлтГТУ
им. , г. Бийск
В группе УК-31 проводилось анкетирование «Роли управляющей команды» из результатов, которого должны были формироваться команды по 5-6 человек для дальнейшей работы. Результаты анкеты показались необъективными, таким образом, целью данной работы стало определение объективности ответов на вопросы, если ответы необъективны, то выявить причины необъективности, с помощью различных и достаточно простых в использовании наглядных методов анализа процессов (семь простых инструментов контроля качества).
Один из базовых принципов управления качеством состоит в принятии решений на основе фактов. Наиболее полно это решается методом моделирования процессов, как производственных, так и управленческих инструментами математической статистики. В ГОСТ Р ИСО так же указывается, что «Организация должна планировать и применять процессы мониторинга, измерения, анализа и улучшения, необходимые для:
а) демонстрации соответствия продукции;
б) обеспечения соответствия системы менеджмента качества;
в)постоянного повышения результативности системы менеджмента качества. Это должно включать определение применимых методов, в том числе статистических, и область их использования». Однако, современные статистические методы довольно сложны для восприятия и широкого практического использования без углубленной математической подготовки всех участников процесса. К 1979 году Союз японских ученых и инженеров (JUSE) собрал воедино семь достаточно простых в использовании наглядных методов анализа процессов (контрольный листок, гистограмма, диаграмма разброса, диаграмма Парето, стратификация, диаграмма Исикавы, контрольная карта). При всей своей простоте они сохраняют связь со статистикой и дают профессионалам возможность пользоваться их результатами, а при необходимости — совершенствовать их. Некоторыми из этих методов я и воспользовалась для проведения своей работы.
Анкетирование «Роли управляющей команды», проводилась с целью определения роли каждого студента в команде, всего было предусмотрено восемь ролей: исполнитель, председатель, распорядитель, генератор идей, аналитик, завершитель, исследователь, член команды. Анкета представляла собой форму теста, где анкетируемому были представлены ряд вопросов и различные варианты ответов, которые анкетируемый должен был проранжировать. Результаты теста показались сомнительными, необъективными, таким образом целью работы стало определение объективности ответов на вопросы, в случае необъективности выявить причины, влияющие на ответы студентов.
|
Из за большого объема эта статья размещена на нескольких страницах:
1 2 3 4 5 6 7 8 9 10 11 |




