9.1. Расчет потребности в воде на строительной площадке
Временное водоснабжение на строительной площадке предназначено для обеспечения производственных, хозяйственно-бытовых нужд и пожаротушения. Потребный расход воды, л/с, определяется по формуле:
,
где
,
,
- расход воды соответственно на бытовые и производственные нужды, и на пожаротушение, л/с.
Расход воды на бытовые нужды слагается из:
’ - расход воды на умывание, принятие пищи и другие бытовые нужды и
" - расход воды на принятие душа. Расход воды на бытовые нужды определяется по формулам:
л/с
л/с,
где
- расчетное число работников в смену;
- норма водопотребления на 1 человека в смену (при отсутствии канализации принимается 10-15 л, при наличии канализации 20-25 л);
- норма водопотребления на одного человека, пользующегося душем (при отсутствии канализации 30-40 л, при наличии канализации - 80 л);
- коэффициент неравномерности потребления воды (принимают в размере от 1,2-1,3);
- коэффициент, учитывающий число моющихся от наибольшего числа работающих в смену (принимают в размере от 0,3-0,4);
8 - число часов работы в смену;
- время работы душевой установки в часах (принимают 0,75 часа).
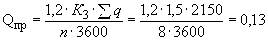
Расход воды на производственные нужды определяется по формуле:
л/с,
где 1,2 - коэффициент на неучтенные расходы воды;
- коэффициент неравномерности водопотребления, принимается равным 1,5;
- число часов работы в смену;
- суммарный расход воды в смену в литрах на все производственные нужды, на совпадающие во времени работы (согласно календарному плану производства работ).
Производственные потребности воды в смену
Таблица N 5
Потребитель | Расход воды по СНиП | Расход воды в смену, л |
Автомашины (мойка и заправка) | 300 л (в сутки) | 150 |
Поливка мусора | 10 л/м | 2000 |
Расход воды на пожаротушение определен в зависимости от площади застройки и составляет 100 л/с (ППБ 01-03). Расход воды на период строительства без учета нужд на пожаротушение составит:
л/с.
9.2. Расчет потребности в электроэнергии
Электроэнергия в строительстве расходуется на силовые потребители; технологические процессы; внутреннее освещение временных зданий; наружное освещение мест производства работ, складов, подъездных путей и территории строительства. Общая потребность электроэнергии рассчитывается на период максимального расхода и в часы наибольшего ее потребления.
Мощности потребителей
Таблица N 6
Наименование потребителей | Ед. изм. | Кол. | Удельная мощность на ед. изм., кВт | Суммарная мощность, кВт |
Технологические потребители | ||||
Электроножницы | шт. | 2 | 2,4 | 4,8 |
Насос пункта мойки колес | шт. | 1 | 3 | 3 |
Насос для поливки мусора | шт. | 1 | 3 | 3 |
Молоток электрический | шт. | 2 | 1,5 | 3 |
Бетонолом | шт. | 2 | 2 | 4 |
Пила цепная электрическая | шт. | 1 | 1,5 | 1,5 |
Машина шлифовальная | шт. | 2 | 1 | 2 |
Перфораторы | шт. | 4 | 0,5 | 2 |
Итого: | 23,3 | |||
Освещение внутреннее | ||||
Внутреннее освещения помещений | 100 м | 5 | 1,2 | 6 |
Освещение наружное | ||||
Освещение зоны производства работ | 100 м | 5 | 0,2 | 1 |
Освещение проходов и проездов | 1000 м | 2 | 0,15 | 0,3 |
Охранное освещение | 1000 м | 1 | 3 | 3 |
Итого | 4,3 |
Потребность в электроэнергии:
,
где
- коэффициент, учитывающий потери в сети; в зависимости от протяженности сети, 1,05-1,1;
,
,
,
- коэффициенты одновременности работ для электродвигателей.
0,5;
0,4;
0,8;
1,0, кВт;
,
,
,
- потребляемая мощность установленных электродвигателей, технологических потребителей, осветительных приборов, сварочных аппаратов;
,
- коэффициент мощности для групп силовых потребителей. Для электродвигателей =0,7, для технологических потребителей =0,8.
Для нужд строительства устанавливается одна передвижная электростанция мощностью 30 кВт - АД-30С-Т400-1РМ1.
10. ОСНОВНЫЕ УКАЗАНИЯ ПО ТЕХНИКЕ БЕЗОПАСНОСТИ И ПРОТИВОПОЖАРНЫЕ МЕРОПРИЯТИЯ. ОБЩИЕ УКАЗАНИЯ ПО ПРОИЗВОДСТВУ РАБОТ В ЗИМНЕЕ ВРЕМЯ
При производстве строительно-монтажных работ необходимо руководствоваться требованиями СНиП и СНиП "Безопасность труда в строительстве" и "Правил устройства и безопасной эксплуатации грузоподъемных кранов" Госгортехнадзора РФ.
Приказом по предприятию назначить:
- лицо, ответственное за безопасное производство работ с краном,
- стропальщиков.
Все работы производить под руководством лица, ответственного за безопасное производство работ с краном.
При разгрузке и погрузке автотранспорта запрещается нахождение людей, включая водителя, в кабине автомашины (СНиП пп.8.2.16).
В зоне работы кранов запрещается нахождение людей, не связанных с работой данных грузоподъемных механизмов. Присутствие людей и передвижение транспортных средств в зонах возможного обрушения и падения грузов запрещаются. (СНиП пп.8.2.6)
Не допускается строповка груза, находящегося в неустойчивом положении, исправление положения элементов строповочных устройств на приподнятом грузе, оттяжка груза при косом расположении грузовых канатов.
В местах производства работ должен быть установлен стенд со схемами строповки, таблицей масс грузов и съемными грузозахватными приспособлениями.
По границе опасной зоны установить предупредительные знаки (знак N 3) ГОСТ 12.4.026.76*, предупреждающие о работе кранов, с подсветкой их в темное время суток.
________________
* Действует ГОСТ Р 12.4.. - Примечание изготовителя базы данных.
Рабочие всех специальностей должны быть обеспечены защитными касками и спецодеждой.
Рабочие должны иметь удостоверения на право производства конкретного вида работ, а также должны пройти инструктаж по технике безопасности в соответствии с требованиями ГОСТ 12.0.004-79*, "ССБТ. Организация обучения работающих безопасности труда".
________________
* Взамен действует ГОСТ Р 12.4.. - Примечание изготовителя базы данных.
Временные бытовые помещения должны быть оборудованы автоматической пожарной сигнализацией с выводом на пункт охраны с круглосуточным дежурством.
Хранение горючесмазочных материалов и газовых баллонов на стройплощадке не предусмотрено. Завозить по мере надобности в соответствии с технологической потребностью.
Электробезопасность на строительной площадке и местах производства работ должна обеспечиваться в соответствии с требованиями ГОСТ 12.1.030-81*.
Запрещается выполнять монтажные работы на высоте в открытых местах при скорости ветра 15 м/с и более, при гололеде, грозе или тумане, исключающих видимость в пределах фронта работ. Работы по перемещению и установке конструкций с большой парусностью необходимо прекращать при скорости ветра 10 м/с и более.
В соответствии со СНиП и СНиП "Безопасность труда в строительстве" должен своевременно проводиться инструктаж, изучение и проверка знаний рабочих и технического персонала в области техники безопасности с обязательным документальным оформлением.
Вновь поступившие на строительство рабочие могут быть допущены к работе после прохождения вводного инструктажа по технике безопасности и инструктажа непосредственно на рабочем месте. Кроме того, в течение не более 3 месяцев со дня поступления на работу они должны пройти обучение безопасным методам работы по утвержденной программе. Инструктаж по технике безопасности необходимо проводить при переводе на новую работу, а также при изменении условий труда. К работе на особо опасных и вредных производствах (монтаж конструкций на высоте, огнеупорные, кислотоупорные и изоляционные работы, процессы с применением радиоактивных веществ и т. д.) рабочие допускаются лишь после соответствующего обучения и сдачи ими экзамена.
Необходимо обеспечить высокое качество применяемых материалов, изделий, конструкций, строительных машин и механизмов, эффективную звуковую или световую сигнализацию. Используемая строительная техника и устройства, а также монтажная оснастка должны отвечать всем требованиям техники безопасности и быть аттестованы соответствующими органами контроля.
Освещение нерабочих мест в нерабочее время, за исключением дежурного освещения, должно быть выключено и электропроводка обесточена.
Необходимо организовать систематический и строгий контроль за соблюдением правил техники безопасности.
Ежедневный контроль.Проводится бригадиром, мастером и общественным инспектором по охране труда. В начале смены проверяется обеспеченность безопасного ведения строительно-монтажных работ и соблюдение санитарно-гигиенического обслуживания рабочих. Особое внимание уделяется организации работ с повышенной опасностью. Если обнаружено отклонение от принятых норм, мастер обязан принять срочные меры.
Еженедельный контроль.Проводится начальником участка и председателем комиссии по охране труда, механика и электромонтера. Проверяется:
- состояние техники безопасности и производственной санитарии;
- работа первой ступени;
- выполнение проекта производства работ;
- исправность и безопасность используемых машин, механизмов, энергетических установок и транспортных средств;
- своевременность выдачи спецодежды и защитных приспособлений;
- выполнение обязательств по охране труда, предложений и замечаний, записанных в журнал проверок на первой ступени. Все выявленные нарушения и отступления регистрируются в журнале.
Ежемесячный контроль.Проводится главным инженером, главным механиком, главным энергетиком и инженером по технике безопасности. Проверяется:
- выполнение запланированных мероприятий, постановлений и приказов по обеспечению безопасных условий труда и быта;
- правильность регистрации и отчетности по несчастным случаям;
- соблюдение установленных сроков и организация проведения испытаний индивидуальных средств защиты, приспособлений и других устройств, подлежащих периодическим испытаниям; работы первой и второй ступени.
Результаты проверки обсуждаются на совещании. Принятые решения оформляются в виде приказа.
Противопожарные мероприятия
Пожарная безопасность на строительной площадке и местах производства работ должна обеспечиваться в соответствии с требованиями "Правил пожарной безопасности в Российской Федерации" ППБ 01-03, утвержденных ГУГПС МЧС РФ, и "Правил пожарной безопасности при производстве сварочных и других огневых работ на объектах".
На строительной площадке необходимо: обеспечить правильное складирование материалов и изделий с тем, чтобы предотвратить загорание легковоспламеняющихся и горючих материалов, ограждать места производства сварочных работ, своевременно убирать строительный мусор, разрешать курение только в строго отведенных местах, содержать в постоянной готовности все средства пожаротушения (линии водопровода с гидрантами, огнетушители, сигнализационные устройства, пожарный инвентарь).
Хранение масляных красок, смол, масел и смазочных материалов совместно с другими горючими материалами не допускается.
Баллоны с газом хранить под навесом, защищающим от прямых солнечных лучей. Хранение в одном помещении баллонов с кислородом и горючими газами не допускается.
Разведение костров на территории строительства запрещается. Все работы, связанные с применением открытого пламени, допускается вести с разрешения лица, ответственного за пожарную безопасность. При производстве этих работ должны приниматься меры пожарной безопасности: уборка горючих материалов, выставление пожарных постов, обеспечение средствами пожаротушения и т. д.
Общие указания по производству работ в зимнее время
Строительно-монтажные работы при среднесуточной температуре ниже +5 °С и минимальной суточной температуре ниже 0 °С, а также при оттепелях производить в соответствии с "Указаниями по производству работ в зимних условиях", разработанными в представленных в составе ППРтехнологических схемах на выполнение отдельных видов работ.
Участок территории строительства, подлежащий разработке под котлован здания, необходимо в осенне-зимний период предохранять от переувлажнения и промерзания путем устройства нагорных канав для отвода поверхностных вод и проведения глубокой вспашки его поверхности.
При разработке мерзлых грунтов следует использовать землеройные механизмы: рыхлитель на тракторе, роторный экскаватор и другие машины, работающие по методу резания и мелкого скола мерзлых грунтов. Не исключены ударные способы рыхления мерзлых грунтов и методы оттаивания грунтов.
Котлованы и траншеи должны предохраняться от промерзания грунта в основании путем недобора грунта или устройством укрытия из утеплителей.
Зачистка основания производится непосредственно перед закладкой фундамента или укладкой трубопроводов. Работа землеройных машин в забоях с подготовленным к разработке грунтом должна производиться круглосуточно во избежание промерзания грунта во время перерывов.
Обратную засыпку котлованов и траншей следует производить с соблюдением следующих требований:
- количество мерзлых комьев в грунте, которым засыпают пазухи, не должно превышать 15% от общего объема засыпки;
|
Из за большого объема этот материал размещен на нескольких страницах:
1 2 3 4 5 6 |



