Гидравлические шлагбаумы (инструкция по установке и эксплуатации)
ГИДРАВЛИЧЕСКИЕ ШЛАГБАУМЫ
(ИНСТРУКЦИЯ ПО УСТАНОВКЕ И ЭКСПЛУАТАЦИИ)
1. Описание изделия
Шлагбаумы 620 и 640 – идеальные шлагбаумы для контролирования доступа машин на территорию вплоть до 7ти м в ширину и с высокой пропускной способностью. Корпус закрывает гидравлический поршень, цилиндр двойного действия и балансирующую стрелу пружину. Стрела состоит из алюминиевого профиля с красными отражателями, которые легко видно в темноте. Работа шлагбаума контролируется блоком управления в отдельном, с достаточной степенью защиты от атмосферных воздействий, корпусе, и который можно поместить внутри стойки шлагбаума. Гидравлическая система гарантирует фиксацию стрелы в любом положении. Поэтому, ручное открытие возможно только в
расцепленном положении. Во время движения стрелы мигает сигнальная лампа.
Шлагбаумы серии 620-640 разработаны с учетом специфики работы в Российских условиях и имеют следующие преимущества:
− Расширенный диапазон рабочих температур;
− Расширенный диапазон питающего напряжения;
− Степень пыле-влагозащищенности IP54;
− Быстрый ввод в эксплуатацию;
− Практичная и долговечная конструкция расцепителя;
− Не требует специального обслуживания;
− Простая и доступная электрическая схема;
В этой инструкции вы найдете всю необходимую информацию по установке привода и безопасной его эксплуатации.
Мы рекомендуем использовать только оригинальные запасные части и аксессуары во время установки и дальнейшей эксплуатации привода.
ВНИМАНИЕ: любая установка, настройка или ремонт оборудования неквалифицированными рабочими строго запрещены. Необходимая мера безопасности – проводить установку, настройку или ремонт при отключенном питании (включая аккумуляторы). Все перемещения оборудования должны сопровождаться необходимой защитой.
ВНИМАНИЕ: компания FAAC' не несет ответственности за возможные травмы и вред, нанесенные людям, животным или вещам в случае использования оборудования не по назначению и/или неавторизованной модификации.
1.1. Техническое описание
Шлагбаум состоит из белой алюминиевой стрелы с красными отражателями, и стальной стойки, подвергнутой обработки катафорезом и полиэфирной покраске. В корпусе находится привод, который состоит из гидравлического насоса и двух цилиндров. Затем происходит передача движения вращения стрелы посредством качающегося рычага. Пружина, установленная на один из цилиндров уравновешивает стрелу. Так же в корпусе находится блок управления, который находится в влагозащищенном корпусе. Система поставляется с регулируемым устройством безопасности, устройством остановки и фиксации стрелы в любом положении и ручной расцепитель для работы в случае отсутствия электроэнергии или неисправной работы.


Шлагбаумы 620, 640 и 642&624 MPS были сконструированы и произведены для контроля доступа машин. Любое другое использование не рекомендуется.
Таблица 1 Техническое описание шлагбаумов

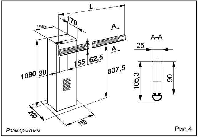
1.2. Размеры


1.3. График интенсивности использования
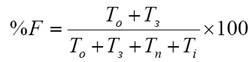
График дает возможность определить максимальное рабочее время (Т) основываясь на интенсивности использования (F). 
Например: 620rapid, 640 шлагбаумы могут работать без остановок с 100% интенсивностью, потому что оснащены охлаждающим вентилятором. 620std и 642std/40 модели могут работать без остановок с 70% интенсивностью.
Для стабильной работы привода работайте в рабочем диапазоне по графику.
ВНИМАНИЕ: график получен при температуре t=24°С. Подвергаясь воздействию прямого солнечного света, интенсивность может ослабнуть до 20%
Подсчет интенсивности
Интенсивность использования это фактическое время работы (открывания + закрывания), отнесенное к общему времени цикла (открывание, закрывание, время простоя).
, где:
То – время открытия;
Тз – время закрытия;
Тп – время простоя;
Тi – время между 2 полными циклами.
2. Механический монтаж
2.1. Схема прокладки кабеля
Примечания:
1. Используйте подходящие жесткие и/или гибкие коммуникации для прокладки электрических кабелей.
2. Всегда прокладывайте слаботочные провода аксессуаров отдельно от 230В~ подводящего кабеля. Используйте разделительные щиты для избежания любых вмешательств.
2.2. Предварительная подготовка
• Внимательно прочитайте настоящую инструкцию.
• Проверьте сохранность изделия после транспортировки.
• Проверьте соответствие характеристик питающей электросети требованиям, указанным в настоящей инструкции.
• Проверьте наличие заземляющего контакта и заземления всех металлических элементов привода.
2.3. Расположение основных элементов шлагбаума

2.4. Механический монтаж
Для правильной установки шлагбаума следуйте следующим инструкциям:
• Находясь внутри охраняемой территории, выберите место расположения шлагбаума.
• Проверьте что установленное на заводе открытие ПО ЧАСОВОЙ СТРЕЛКЕ правильное. В случае необходимости изменения направления открывания обратитесь к параграфу “Изменение направления открывания”.
• Во время движения стрела не должна встречать на своем пути любые препятствия или воздушные провода под напряжением.
• Грунт должен быть достаточно прочным и стабильным для установки фундамента.
• На месте выкапывания фундамента не должно быть труб или электрических кабелей.
• Если корпус шлагбаума незащищен от проезжающего транспорта, установите, если возможно, соответствующее средство защиты от случайного удара.
• Проверьте эффективность заземления корпуса.
• Соберите плиту основания, как показано на рис.6.
• Подготовьте фундамент, как показано на рис.7 (для мягкой почвы)


• Закрепите плиту основания, как показано на рис.6, снабдив одним или более кожухом для проводки электрических кабелей. Используя уровень, проверьте, чтобы плита была идеально выровнена. Подождите, пока не схватится цемент.
ВНИМАНИЕ: Никогда не демонтируйте стрелу в горизонтальном положении.
ВНИМАНИЕ: Никогда не используйте аварийное расцепление без установленной стрелы.
• Используя четыре болта и шайбы из комплекта, закрепите стойку к плите основания, как показано на рис.8. Помните, что крышка колонны должна быть лицевой стороной к зданию.

• Установите привод в ручной режим, как описано в главе «Аварийный ручной расцепитель».
• Снимите два сапуна, как показано на рис.9 и положите их в безопасное место.
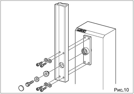
• Соберите стрелу, как показано на рис.10 и 10b. Наложите крышку на отверстие (только для 620). Резиновая окантовка стрелы должна быть ориентирована по закрытому направлению.
• Настройте механические упоры для открытого и закрытого положения, как показано на рис.11. Проверьте балансировку стрелы, как описано в нижеприведенном параграфе.




2.5. Регулировка балансирующей пружины
Внимание!: Шлагбаум поставляется с уже сбалансированной пружиной для указанной в заказе длины стрелы (см. Спецификацию заказа шлагбаума, в прайс-листе и таб.2-3). Закончите, при необходимости, настройку балансировки стрелы, следуя следующим указаниям:
• Разблокируйте привод.
• Настройте предустановочную кольцевую гайку, используя поставляемый гаечный ключ, как показано на рис.12. Стрела считается правильно отрегулированной, когда она достаточно устойчива в положениях 0° и 90°. Если стрела склоняется к закрытию, поверните гайку по часовой стрелке. Если стрела склоняется к открытию, поверните гайку против часовой стрелки.

Таблица 2

Таблица 3

2.6. Аварийный ручной расцепитель
Вы должны использовать только в указанных случаях: во время монтажа, при отказе автоматики или отсутствии электроэнергии.
ВНИМАНИЕ: Никогда не используйте аварийное расцепление без установленной стрелы.
ВНИМАНИЕ: Никогда не демонтируйте стрелу в горизонтальном положении.
Если требуется открывать шлагбаум вручную в случае отключения электроэнергии, используйте устройство расцепления, как объяснено ниже:
Поставляется либо стандартный трехгранный ключ (стандартно) либо индивидуальный (опционально).
• Вставьте стандартный трехгранный или индивидуальный ключ блокирующее гнездо и поверните против часовой стрелки на один оборот.
• Открывайте и закрывайте шлагбаум вручную.
Восстановление нормальной работы системы.
Чтобы предотвратить непроизвольный рывок стрелы шлагбаума во время движения, перед восстановлением нормальной работы системы выключите питание системы, и поверните ключ по часовой стрелке до упора (стандартный трехгранный ключ) или до положения, в котором его можно вытащить (индивидуальный ключ), а затем вытащите его.

3. Плата управления 624MPS
3.1. Технические данные

3.2. Предупреждения
Перед проведением любых работ на плате (подсоединение, программирование, обслуживание), всегда отключайте питание. Всегда прокладывайте слаботочные провода аксессуаров отдельно от
230В~ подводящего кабеля.
3.3. Монтажная схема блока управления 624MPS

3.4. A/E Логическая схема

3.5. Р Логическая схема

3.6. Описание клеммной колодки
Открытие(Open)
Данная клемма предназначена для подключения устройства управления с нормально разомкнутыми контактами, которое подает сигнал на открывание стрелы. В автоматическом и полуавтоматическом режиме это устройство подает обе команды на открытие и закрытие.
Закрытие(Close)
Данная клемма предназначена для подключения устройства управления с нормально разомкнутыми контактами, которое подает сигнал на закрывание стрелы. (Присутствует только в Р логической
схеме).
Стоп(Stop)
Данная клемма предназначена для подключения устройства управления с нормально замкнутыми контактами, которое подает сигнал для остановки стрелы в текущем положении (открытие, закрытие или пауза), пока не будет послан другой сигнал.
Безопасность(Safety)
Данная клемма предназначена для подключения всех устройств (фотоэлементы, сенсорные пневматические концевые выключатели, магнитные катушки) с нормально замкнутыми контактами, которые предотвращают движение стрелы в случае какого либо препятствия в зоне ее действия.
Тревога (Panic)
Данная клемма предназначена для подключения устройства безопасности с нормально замкнутыми контактами, которое используется в аварийной ситуации, при включении открывает стрелу
и поддерживает в этом состоянии, пока не будет нажата кнопка «Сброс/Reset».
3.7. Программирование микропереключателей
Замечание: После программирования микропереключателей, нажмите кнопку «Сброс/Reset».

(*) Важно!: R логическая схема предназначена для совместной работы 2-х шлагбаумов. (см. ниже параграф «624 синхронная плата»)
Работа устройств безопасности
В логиках А и Е есть возможность получить две различные схемы работы устройств безопасности:
• Время задержки с предварительным включением сигнальной лампы ( сек):
Движение на закрытие прекращается, затем реверсируется после освобождения зоны действия от препятствий.
• Время задержки без предварительного включения сигнальной лампы ( сек):
Движение на закрытие реверсируется сразу.
Условия тревоги
Сигнал тревоги возникает в следующих случаях:
• Нажата кнопка Тревоги(Panic).
• Включено устройство безопасности TIME OUT, которое прекращает работу системы, в случае если время ее работы превышает 30 секунд.
• Одновременное срабатывание двух концевых выключателей.
• Микропроцессор фиксирует отклонение (синхронизатор).
Сигнал тревоги показан как быстрое мигание (0,25 сек) сигнального диода и сигнальной лампы (если подключена).
В данном случае все функции системы отключены. Нормальная работоспособность восстановится только после устранения причины и нажатия клавиши «Сброс/Reset»
3.8. Работа с различными логиками
Таблица 4 А логика (Автомат)

(*) Если включено время предупреждения, то шлагбаум закрывается через 5сек.
Таблица 5 E логика (полу-автомат)

(*) Если включено время предупреждения, то шлагбаум закрывается через 5сек.
Таблица 6 Р логика (Парковка: эта логика не позволяет сделать предварительное включение сигнальной лампы)

Таблица 7 Действие сигнальной лампы

(*) Сигнальная лампа подключена к 8 и 10 клеммам.
(**) Сигнальная лампа подключена к 9 и 10 клеммам.
3.9. Регулировка передаточного момента
Настройте систему, используя два перепускных клапана (рис.16) для настройки гидравлической передачи усилия.
Красный болт управляет усилием назакрытие.
Зеленый болт управляет усилиемна открытие.
Для увеличения усилия поверните болты по часовой стрелке.
Для уменьшения усилия поверните болты против часовой стрелки.

3.10. Регулировка замедления
• Установите микропереключатель SW6 согласно требуемому замедлению:
Off: короткое (1,5 сек).
On: длинное (2,5 сек).
Для стрелы до 4м длинной рекомендуется короткое замедление. Для стрелы от 4 до 7м рекомендуется длинное замедление
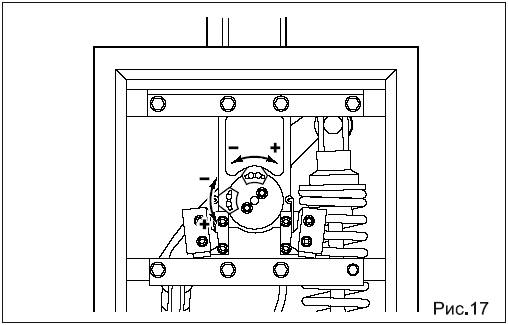
• Настройте кулачки концевиков, ослабив два винта, как показано на рис.17. Для увеличения угла торможения передвиньте кулачок к концевому выключателю.
Для уменьшения угла замедления передвиньте от концевого выключателя.
• Сцепите систему, и проведите несколько пробных циклов, проверьте, в порядке ли положения концевых переключателей, балансирующая пружина и передаточное усилие.

4. Запуск
4.1. Подсоединение электронного оборудования
Важно! Обесточьте систему перед проведением любых работ (подключение, программирование или техобслуживание).
Внимание: Когда клеммная колодка J2 отсоединена, отключено питание к мотору, но вентилятор и сигнальная лампа все еще подсоединены к питанию.
Расположите проводку, как показано на рис.3, и подсоедините аксессуары к блоку управления 624MPS.
Держите подводные кабели отдельно от подвода управляющих и устройств безопасности (фотоэлементы, приемник, ключ-кнопка и т. д.).
Таблица 8 расшифровка состояния световых индикаторов

(*) Р логическая схема
(**) А/Е логическая схема
Таблица 9 нагрузка на аксессуарах

4.2. Завершающие работы
После установки, прикрепите стикер «Не кладите руки: Опасно!» на верхнюю часть стойки (рис.18). Проверьте эффективность работы шлагбаума и всех присоединенных аксессуаров. Дайте клиенту «Руководство пользователя», объясните правильную работу и использование шлагбаума, и покажите
потенциально опасные области системы.

4.3. Уровень масла
Периодически проверяйте уровень масла в емкости. Делайте проверку ежегодно при средней интенсивности использования, или раз в 6ть месяцев при более интенсивной работе.
Уровень не должен быть ниже низкой отметки на щупе (рис.20).
Для дозаправки, открутите заливочную пробку (рис.20) и долейте масла до максимального уровня на щупе.
Используйте только масло FAAC HP OIL и никакое другое.

4.4. Прокачка гидравлической системы
Если движение стрелы не равномерно, то это может быть вызвано наличием воздуха в гидравлической системе:
1. Открутите сапун (рис.9)
2. Электрически включите движение стрелы:
− Пока стрела открывается, немного ослабьте газоотводный винт в поршне с балансирующей пружиной, потом затяните его (рис.1 позиция 33).
− Пока стрела закрывается, немного ослабьте газоотводный винт в поршне без балансирующей пружины, потом затяните его (рис.1 позиция 1).
При необходимости повторите процедуру, пока вы не получите плавное движение стрелы.
5. Аксессуары
5.1. Опциональные электронные платы
Три платы – SLAVE, FSW и RELAY – дают дополнительные функции для 624MPS блока управления и могут использоваться одновременно.
Внимательно прочитайте инструкцию, поставляемую с этими платами.
624FSW плата (рис.21).
624FSW плата управляет действиями фотоэлементов в Р логической схеме (Парковка).
624SLAVE плата (рис.21).
Slave плата управляет одновременной работой двух шлагбаумов.
Один из двух шлагбаумов определяется как Ведущий (MASTER), а другой как Ведомый (SLAVE).
Все посланные сигналы (открытие, тревога) управляют Ведущим шлагбаумом, Ведомый шлагбаум
производит такие же движения.
RELAY плата (рис.22).
Relay плата позволяет управлять вспомогательными службами через контакты, которые есть на клеммной колодке и соответствуют различным положениям шлагбаума.


Экстренная автоматическая деблокировка (рис.23а).
Это устройство позволяет в случае отключения энергии поднять стрелу вручную, не имея доступа к разблокирующему рычагу гидромотора. Гидравлика гарантирует, что стрела останется заблокированной в открытом положении.
Антивандальный клапан (рис.23b).
Это устройство обеспечивает целостность гидравлической системы, если стрелу пытаются сломать в открытом положении.

5.2. Ключ-кнопка Т10Е-Т11Е.
T10E и T11E ключ-кнопка используется для подачи команд на привод:
T10E: Наличие одного микропереключателя позволяет посылать один управляющий сигнал.
T11E: Наличие двух микропереключателей позволяет посылать два различных управляющих сигнала.
Для подачи команды поверните ключ, управляющий контактами микропереключателей. Отпустите ключ - он вернется в первоначальную позицию.

5.2.1 Установка.
Возможны два типа установки:
1. Стена с проложенным кабелем (рис. А - А)
2. Внешняя подводка кабеля (рис. A - В)
В случае накладного монтажа, закрепите корпус кнопки, используя поставляемые шурупы и дюбели.
Кнопки T10E и T11E имеют механическую блокировку, которая не позволяет устанавливать или вынимать крышку из корпуса, без установленного и повернутого ключа.

5.2.2 Электрические подключения
Подсоедините необходимые электрические провода к клеммному блоку микропереключателя A (рис. Е).
Микропереключатель В установлен только в T11E.
Каждый микропереключатель должен использоваться для подачи одной команды,
например: NO => открыть NC=>остановить

5.3. Фотодатчики SafeBeam
Фотодатчики SafeBeam – устройство безопасности, состоящее из инфракрасного передатчика и приемника.
В случае пересечения инфракрасного луча переключается электрический контакт приемника.

Внимание: Неправильная установка или использование прибора могут привести к различным травмам персонала.
5.3.1 Установка.
Для оптимальной работы, приемник и передатчик надо расположить на одной оси.
Важно: Из-за особенности самовыравнивания, не возможно установить две пары SafeBeam на одни ворота. В этом случае надо использовать PHOTOBEAM.
Возможны два типа установки:
1. Стена с проложенным кабелем.
2. Внешняя подводка кабеля.
Закрепите корпус SafeBeam, используя поставляемые шурупы и дюбели.



5.3.2 Электрические подключения
Подсоедините электрические провода к клеммному блоку приемника (рис. D) и передатчика (рис. Е).
Подключите все фотодатчики, задействованные в системе к блоку управления.


5.3.3 Запуск.
Подключите питание фотодатчиков и проверьте, чтобы индикатор DL1 на приемнике (рис. D) и Передатчике (рис. E) горел постоянно.
Убедитесь в корректности выравнивания - индикатор DL2 на
приемнике должен гореть.

5.4. Пульт Д/У DL2/4 868SLH
Модель | DL2/4 868SLH |
Частота передачи | 868,35МГц ±200КГц |
Питание | 2хCR2032 3В литиевые батареи |
Различие MASTER/SLAVE TX (пульт)
Master (Ведущий): если вы нажимаете любую кнопку пульта master TX, индикатор мигает перед тем, как загореться постоянным светом.
Slave (Ведомый): Если вы нажимаете любую кнопку пульта slave TX, индикатор сразу горит постоянным светом.
Описание программирования
1. Включите питание системы после установки и подсоединения всех электронных компонентов системы.
2. Пульт master TX используется для установки кода в плату приемника / RP передатчика (см. запись кода в привод)
3. Используйте тот же пульт master TX для записи кода на другие TX пульты системы (см. кодирование ТХ пультов).
4. Коды закодированных ТХ пультов хранятся в плате декодера, интервал между подачей команд должен составлять не менее 5 сек.
Запись кода в привод
1. Одновременно нажмите кнопки Р1 и Р2 на master TX пульте и отпустите их, когда индикатор замигает (через 1-2 секунды).
2. Нажмите и удерживайте кнопку обучения на плате приемника: индикатор на приемнике должен замигать.
3. Пока индикатор передатчика master моргает, нажмите и удерживайте кнопку пульта необходимую для управления шлагбаумом (индикатор ТХ пульта должен постоянно гореть)
4. Перед тем, как отпустить кнопку на плате приемника, убедитесь, что индикатор постоянно горел около 2 секунд для подтверждения того, что код сохранен.
5. Отпустите кнопку пульта master TX.
Кодирование ТХ пультов
1. Одновременно нажмите кнопки Р1 и Р2 на master TX пульте и отпустите их, когда индикатор замигает (через 1-2 секунды).
2. Расположите пульте master TХ напротив кодируемого пульта (master или slave), как показано на рис.3.
3. На пульте master TX (пока индикатор мигает), нажмите и удерживайте ту кнопку, что использовалась для кодировки системы: индикатор должен гореть постоянно.
4. Нажмите требуемый канал на программируемом пульте, когда индикатор потухнет после двойного моргания в подтверждение того, что код сохранен, отпустите кнопку.
5. Отпустите кнопку пульта master TX.
6. Повторите операцию для всех кодируемых пультов.

5.5. Юбочный комплект.
Юбочный комплект улучшает видимость стрелы.
Он может быть длинной от 2х до 3х м.
Важно: Если установлен юбочный комплект, то должна быть перенастроена балансировочная пружина.

5.6. Шарнирный комплект.
В стандартный комплект поставки не входит.
Шарнирный комплект делает возможным применять жесткую стрелу при максимальной высоте потолков в 3м.
Важно: Если установлен шарнирный комплект, то должна быть перенастроена балансировочная пружина.

5.7. Шарнирная опора
для стрелы.
В стандартный комплект поставки не входит.
Шарнирная опора в закрытом положении стрелы
предотвращает ее от прогибания.
Важно: Если установлена шарнирная опора, то должна быть перенастроена балансировочная
пружина.

5.8. Опора для стрелы.
Опора имеет две функции:
• Поддерживает стрелу в закрытом положении таким образом увеличивая жесткость конструкции.
• Позволяет равномерно распределить вес стрелы, таким образом предотвращая прогибание профиля.

Установка плиты основания для опоры:
Установите плиту основания для подставки следуя рис.28, где:
Р1 = плита основания шлагбаума
Р2 = плита основания вилки
L = длинна стрелы (мм)
А = L - 425мм (620) L - 450мм (640)

6. Техническое обслуживание
Проверяйте эффективность работы системы, по крайней мере, каждые 6 месяцев, особенно состояние устройств безопасности, блокирующего устройства (включая силу тяги привода).
7. Ремонт
Для ремонта свяжитесь с авторизированным сервис - центром FAAC.
Мы гарантируем нормальную работу 620-640 шлагбаума только и исключительно в случае установки устройств безопасности FAAC и оригинального блока управления.
Руководство пользователя
620-640 автоматические системы.
Основные правила безопасности
При правильной настройке и использовании система обеспечивает высокую безопасность.
Несколько простых правил поведения могут предупредить возможные проблемы:
− Не проходите под стрелой во время ее движения. Дождитесь, пока стрела полностью не откроется, а потом продолжайте движение.
− Не стойте под стрелой.
− Не стойте близко от шлагбаума и не позволяйте детям, людям или кому-то еще делать это, особенно во время его работы.
− Берегите пульт радиоуправления от детей, для предотвращения несанкционированного включения шлагбаума.
− Не позволяйте детям играть с автоматической системой.
− Не пытайтесь остановить движение стрелы.
− Уберите все ветки или кусты, мешающие движению стрелы.
− Установите сигнальную лампу в наиболее эффективном и наиболее заметном месте.
− Не пытайтесь двигать стрелу руками, пока вы не расцепили привод.
− В случае неисправной работы, расцепите стрелу для ручной работы, пока квалифицированные технические специалисты не сделают необходимую настройку.
− Когда шлагбаум в ручном режиме работы, выключите энергосистему перед восстановлением нормальной работы.
− Не изменяйте компоненты автоматической системы.
− Не пытайтесь производить любой ремонт, какой бы простой он ни казался на первый взгляд, и вызывайте только квалифицированный персонал.
− Вызывайте, по крайней мере, раз в шесть месяцев специалистов для проверки работоспособности автоматической системы, устройств безопасности
Описание
Автоматические системы 620, 640 – идеальные шлагбаумы для контролирования доступа машин на территорию вплоть до 7-и м в ширину и с высокой пропускной способностью.
Корпус закрывает гидравлический поршень, цилиндр двойного действия и балансирующую стрелу пружину.
Стрела состоит из алюминиевого профиля с красными отражателями, которые легко видно в темноте.
Работа шлагбаума контролируется блоком управления в отдельном, с достаточной степенью защиты от атмосферных воздействий, корпусе, и который можно поместить внутри стойки шлагбаума.
Нормальное состояние стрелы в закрытом положении – горизонтальное.
Когда блок управления получает команду открытия с дистанционного пульта или другого устройства, он приводит в действие гидравлическое оборудование, которое поднимает стрелу на 90° - пока она не достигнет вертикального положения, открывая проезд. Если настроен режим автоматики, то стрела закроется автоматически по истечении запрограммированного времени.
Если установлен полуавтоматический режим, то необходимо послать второй сигнал для закрытия стрелы.
Сигнал на открывание во время закрытия всегда возвращает стрелу в открытое положение.
Сигнал остановки (опционально) всегда останавливает движение.
Для более подробного разъяснения различных функций системы проконсультируйтесь со специалистом по установке.
Автоматическая система включает устройства безопасности (фотодатчики), которые предотвращают закрытие стрелы когда есть какое то препятствие в зоне проезда.
Шлагбаум поставляется (как стандартный элемент) с устройством защиты по усилию, которое ограничивает передаточное усилие стрелы.
Гидравлическая система гарантирует фиксацию стрелы в любом положении. Поэтому, ручное открытие возможно только в расцепленном положении.
Во время движения стрелы мигает сигнальная лампа.
Ручная работа.
Если требуется открывать шлагбаум вручную в случае отключения электроэнергии, используйте устройство расцепления, как объяснено ниже:
• Вставьте стандартный трехгранный или индивидуальный ключ в блокирующее гнездо и поверните против часовой стрелки на один оборот.
• Открывайте и закрывайте шлагбаум вручную.
Восстановление нормальной работы системы.
Чтобы предотвратить непроизвольный рывок стрелы шлагбаума во время сцепления, перед восстановлением нормальной работы системы выключите питание системы, и поверните ключ по часовой стрелке до упора (стандартный трехгранный ключ) или до положения, в котором его можно вытащить (индивидуальный ключ), а затем вытащите его.




