| P0 – p2 = 185 |
2. Решим систему уравнений:
p1 = 10; p2 = 22; p3 = 53; p4 = 2.5; P0 = 207
Таким образом, стоимость объекта недвижимости составляет 207 тыс. руб.
Техника множественного регрессионного анализа основана на применение дифференцирования для расчета коэффициентов замкнутых систем алгебраических уравнений.
Рассмотрим пример определения рыночной стоимости объекта недвижимости на основе количественного анализа сравнимых продаж.
Пример 25. Определить стоимость объекта недвижимости (коттеджа), если известны следующие сведения об объекте оценки и объектах-аналогах:
Элемент сравнения | Объект оценки | Объект-аналог | ||||
1 | 2 | 3 | 4 | 5 | ||
Сделка, тыс. руб. | 710 | 620 | 540 | 760 | 570 | |
Площадь, кв. м | 60 | 70 | 65 | 45 | 80 | 55 |
Число комнат, шт. | 4 | 4 | 4 | 3 | 3 | 3 |
Площадь земельного участка, 100 кв. м | 24 | 24 | 24 | 12 | 12 | 12 |
Право собственности | Полн. | Полн. | Полн. | Полн. | Обрем.* | Полн. |
Условия финансового расчета | Рын. | Рын. | Рын. | Нерын. | Рын. | Нерын. |
Дата продажи, мес. | 6 | 6 | 2 | 0 | 12 | |
Транспортная доступность | Лучше | Аналог | Аналог | Аналог | Аналог | |
Водопровод | Есть | Нет | Нет | Нет | Есть | Есть |
*В скобках приведены абсолютные величины завышения (+) или занижения (-) цены продажи
объекта аналога относительно объекта оценки.
Решение:
В качестве единицы сравнения объектов примем цену продажи 1 кв. м объекта недвижимости. Расчеты представлены в следующей таблице:
Элемент сравнения | Объект-аналог | ||||
1 | 2 | 3 | 4 | 5 | |
Цена продажи, тыс. руб./кв. м | 10,14 | 9,54 | 12,00 | 9,50 | 10,36 |
Корректировка на качество прав, тыс. руб./кв. м | 0 | 0 | 0 | 0,375 | 0 |
Скорректированная цена продажи, тыс. руб./кв. м | 10,140 | 9,540 | 12,000 | 9,875 | 10,36 |
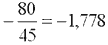
Корректировка на условия финансирования, тыс. руб./кв. м | 0 | 0 | -1,778 | 0 | -1,090 |
Скорректированная цена продажи, тыс. руб./кв. м | 10,140 | 9,540 | 10,222 | 9,875 | 9,270 |
Корректировка на условия рынка, тыс. руб./кв. м | 0.172 | 0.162 | 0.058 | 0 | 0.315 |
Скорректированная цена продажи, тыс. руб./кв. м | 10,312 | 9,702 | 10,280 | 9,875 | 9,585 |
Корректировка на транспортную доступность | -0,610 | 0 | 0 | 0 | 0 |
Корректировка на физические характеристики | 0 | 0 | 0,578 | 0,578 | 0,578 |
Корректировка на сервис | 0,405 | 0,405 | 0,405 | 0 | 0 |
Скорректированная цена продажи, тыс. руб./кв. м | 10,107 | 10,107 | 11,263 | 10,453 | 10,163 |
Абсолютное итоговое значение корректировок | -0,033 | 0,567 | -0,737 | 0,953 | 0,523 |
1. Корректировка на качество прав.
Для объекта 4 корректировка на наличие обременения права собственности составит:
тыс. руб./кв. м,
2. Корректировка на условия финансирования
По сравниваемым объектам 3 и 5 условия нерыночные (цены завышены). Проводим соответствующую корректировку цен продаж 1 м2:
по объекту 3:
тыс. руб./кв. м,
по объекту 5:
тыс. руб./кв. м,
3. Корректировка на особые условия
Особые условия по всем сравнимым объектам не выявлены. Корректировка отсутствует.
4. Корректировка на условия рынка
Для определения величины корректировки по фактору времени выбираем две пары сравнимых продаж: объекты 4 и 5:

Таким образом, за год цена продажи 1 кв. м недвижимости данного типа выросла на 3,4%.
Проведем корректировку цены продажи 1 кв. м, исходя из предположения, что рост цены происходил равномерно (по простым процентам):
по объекту 1:
тыс. руб./кв. м,
по объекту 2:
тыс. руб./кв. м,
по объекту 3:
тыс. руб./кв. м,
по объекту 5:
тыс. руб./кв. м,
5. Корректировка на местоположение (транспортную доступность)
Для определения величины корректировки по транспортной доступности выбираем две пары сравнимых продаж: объекты 1 и 2:
10,312 – 9,702 = 0,61 тыс. руб./кв. м,
6. Корректировка на физические характеристики
Определим величины корректировок по числу комнат и размеру земельного участка совместно. Для этого выберем две пары сравнимых продаж: объекты 2 и 3:
10,280 – 9,702 = 0,578 тыс. руб./кв. м,
7. Корректировка на сервис (наличие водопровода)
Величина корректировки цен продажи по наличию водопровода определяется из пары сравнимых объектов 3 и 4:
10,280 – 9,875 = 0,405 тыс. руб./кв. м,
8. Рассчитаем рыночную стоимость объекта оценки.
Так как скорректированная цена продажи по всем объектам-аналогам не имеет одинакового значения, то для расчета выбираем цену продажи объекта-аналога для которого абсолютное итоговое значение корректировок имеет наименьшее значение (в данном случае это объект 1):
60 · 10,107 = 606,42 тыс. руб./кв. м.
Техники качественного анализа
включают следующие техники:
- техника качественного сравнения цен; техника квалиметрического моделирования.
Техника качественного сравнения цен (ТКС) применяется в условиях развивающегося рынка недвижимости, когда число сделок не превышает число элементов сравнения.
Данная техника основана на сравнении объекта оценки поочередно с каждым из объектов сравнения по всем ценообразующим факторам, с обозначением направления корректировок и последующим ранжированием объектов по направлению, совпадающим с направлением большинства корректировок.
При этом для обозначения элементов сравнения могут использоваться качественные характеристики: «значительно лучше», «немного лучше», «равный», «немного хуже», «значительно хуже», или пятибалльная шкала: -2, -1, 0, 1, 2 или 0, 1, 2, 3, 4.
Кроме того, для каждого элемента сравнения могут быть введены экспертно оцениваемые коэффициенты значимости (коэффициенты важности или условных весов). Однако, отсутствие достаточного обоснования выбора коэффициентов значимости не только не гарантирует улучшения результата расчета, но может даже усугубить ошибку.
Рассмотрим пример определения рыночной стоимости объекта недвижимости на основе качественного анализа сравнимых продаж.
Пример 26. Определить стоимость объекта недвижимости (коттеджа), если известны следующие сведения об объекте оценки и объектах-аналогах:
Элемент сравнения | Объект оценки | Объект-аналог | ||||
1 | 2 | 3 | 4 | 5 | ||
Сделка, тыс. руб. | 185 | 164 | 175 | 195 | 220 | |
Право собственности | Обрем. | Обрем. | Полн. | Обрем. | Полн. | Обрем. |
Условия финансового расчета | Рын. | Льгот. | Рын. | Льгот. | Льгот. | Рын. |
Особые условия | Рын. | Рын. | Льгот. | Рын. | Рын. | Рын. |
Время, мес. | 0 | 0 | 0 | -4 | 0 | -4 |
Местоположение | Хор. | Сред. | Сред. | Хор. | Хор. | Хор. |
Физические характеристики | Сред. | Хор. | Хор. | Сред. | Хор. | Хор. |
Экономические характеристики | Сред. | Сред. | Плох. | Сред. | Сред. | Хор. |
Сервис | Частич. | Частич. | Частич. | Частич. | Полн. | Полн. |
Решение:
В качестве единицы сравнения объектов примем цену продажи 1 кв. м объекта недвижимости.
1. Проведем «балльную» оценку превышения качества объекта оценки и объекта сравнения по какому-либо ценообразующему фактору над неким «базовым» объектом (минимальный балл равен 0):
Элемент сравнения | Объект оценки | Объект-аналог | ||||
1 | 2 | 3 | 4 | 5 | ||
Сделка, тыс. руб. | 185 | 164 | 175 | 195 | 220 | |
Право собственности | 0 | 0 | 1 | 0 | 1 | 0 |
Условия финансового расчета | 1 | 0 | 1 | 0 | 0 | 1 |
Особые условия | 1 | 0 | 0 | 1 | 1 | 1 |
Время, мес. | 1 | 1 | 1 | 0 | 1 | 0 |
Местоположение | 1 | 1 | 0 | 1 | 1 | 1 |
Физические характеристики | 0 | 0 | 1 | 0 | 1 | 1 |
Экономические характеристики | 1 | 0 | 0 | 1 | 1 | 2 |
Сервис | 0 | 0 | 0 | 0 | 1 | 1 |
Число балов | 5 | 3 | 4 | 3 | 7 | 7 |
2. Проведем ранжирование объектов по сумме балов:
Объект | Сделка, тыс. руб. | Число балов |
Объект-аналог 6 | 220 | 7 |
Объект-аналог 5 | 195 | 7 |
Объект оценки | 185-195 | 5 |
Объект-аналог 1 | 185 | 4 |
Объект-аналог 3 | 164 | 4 |
Объект-аналог 4 | 175 | 3 |
Таким образом, рыночная стоимость объекта оценки находится в интервале значений от 185 до 195 в тыс. руб.
Техника квалиметрического моделирования реализуется путем анализа рыночных данных о сделках, а также экспертных оценок качества объектов и среды. При этом все свойства объекта и среды как ценообразующие факторы, представляются в виде иерархической структуры («дерева») взаимосвязанных свойств (качеств) объекта, которые отражают признаваемые продавцом предпочтения покупателей. Также принимается во внимание, что цена объекта является результатом сделки, в которой продавец и покупатель, действуя в своих интересах, выступают в качестве экспертов, формирующих свои заключения на основе собственного опыта или на основе рекомендаций экспертов-оценщиков.
Завершая рассмотрение сравнительного подхода к оценке стоимости объекта, отметим его преимущества и недостатки.
Преимущества сравнительного подхода:
1. В итоговой стоимости отражается мнение типичных продавцов и покупателей.
2. В ценах продаж отражается изменение финансовых условий и инфляция.
3. Статически обоснован.
4. Вносятся корректировки на отличия сравниваемых объектов.
5. Достаточно прост в применении и дает надежные результаты.
|
Из за большого объема этот материал размещен на нескольких страницах:
1 2 3 4 5 6 7 |



