Таблица 52
#G0
Параметры фильтрующей загрузки
Вы - со - та слоя,
Скорость фильтро - вания, м/ч, при режиме
Интен - сив - ность про-
Продол - житель - ность этапа
Эффект очистки, %
Фильтр
филь - тру -
ющий мате -
гранулометрическая характеристика загрузки
, мм
м
нор - маль - ном
фор - сиро - ван - ном
мывки,
л/ (с·м
)
про - мывки, мин
по
![]()
по взве - шен - ным
риал
мини - маль - ная
макси - маль - ная
экви - валент - ная
веще - ствам
Однослой - ный мелкозер - нистый с подачей воды сверху вниз
Квар - цевый песок
1,2
2
1,5-1,7
1,2- 1,3
6-7
7-8
Воздух (18-20)
2
50-60
70-75
Поддер - жива - ющие слои - гравий
2
5
-
0,15- 0,2
Воздух (18-20)
10-12
5
10
-
0,1- 0,15
и вода (3-5)
10
20
-
0,1- 0,15
Вода (7)
6-8
20
40
-
0,2- 0,25
Однослой - ный крупнозер - нистый с подачей воды сверху вниз
Гранит - ный щебень
3
10
5,5
1,2
16
18
Воздух (16)
3
35-40
45-50
Воздух (16) и вода (10)
4
Вода (15)
3
Двухслой - ный с подачей воды сверху вниз
Антра - цит или керам - зит
1,2
2
-
0,4- 0,5
7-8
9-10
Вода (14-16)
10-12
60-70
70-80
Кварце - вый песок
0,7
1,6
-
0,6- 0,7
Поддер - жива - ющие слои - гравий
2
5
-
0,15- 0,25
5
10
-
0,1- 0,15
10
20
-
0,1- 0,15
20
40
-
0,2- 0,25
Каркасно - засыпной (КЗФ)
Кварце - вый песок
0,8
1
-
0,9
10
15
Воздух (14-16) и вода (6-8)
5-7
70
70-80
Каркас - гравий
1
40
-
1,8
Вода (14-16)
3
40
60
-
0,5
Расчет площади фильтров надлежит производить по максимальному часовому притоку за вычетом допустимой неравномерности, равной 15%.
6.239. При проектировании фильтров с зернистой загрузкой следует предусматривать:
при подаче сточных вод после биологической очистки - установку перед фильтрами (кроме КЗФ) барабанных сеток;
водовоздушную промывку для однослойных, водяную - для двухслойных, водовоздушную или водяную - для каркасно-засыпных фильтров; при этом промывку следует осуществлять нехлорированной фильтрованной водой;
вместимость резервуаров промывной воды и грязных вод от промывки фильтров - не менее чем на две промывки;
при необходимости - насыщение фильтрованной воды кислородом согласно пп. 6.216-6.220;
трубчатые распределительные дренажные системы большого сопротивления;
для фильтров с подачей воды сверху вниз - устройство гидравлического или механического взрыхления верхнего слоя загрузки.
6.240. Для предотвращения биологического обрастания фильтров с зернистой загрузкой необходимо предусматривать предварительное хлорирование поступающих сточных вод дозой до 2 мг/л и периодическую обработку фильтра (2-3 раза в год) хлорной водой с содержанием хлора до 150 мг/л при периоде контакта 24 ч.
6.241. Проектирование фильтров с зернистой загрузкой для глубокой очистки производственных сточных вод следует производить по данным технологических исследований.
Фильтры с полимерной загрузкой
6.242. Фильтры "Полимер" следует применять для очистки производственных сточных вод от масел и нефтепродуктов, не находящихся в них в виде стойких эмульсий.
Фильтры допускается применять для очистки дождевых вод.
6.243. Допустимая концентрация масел и нефтепродуктов в исходной воде до 150 мг/л, взвешенных веществ - до 100 мг/л. Концентрация этих веществ в очищенной воде - до 10 мг/л.
6.244. В качестве загрузки надлежит принимать пенополиуретан крупностью 20 х 20 х 20 мм, плотностью 46-50 кг/м
, высотой слоя 2 м. Скорость фильтрования до 25 м/ч.
6.245. Фильтры следует размещать в здании с температурой воздуха не ниже 5 °С.
Сетчатые барабанные фильтры
6.246. Сетчатые барабанные фильтры следует применять для механической очистки производственных сточных вод, для установки перед фильтрами глубокой очистки сточных вод (барабанные сетки), а также в качестве самостоятельных сооружений глубокой очистки (микрофильтры). Степень очистки сточных вод, достигаемую на сетчатых барабанных фильтрах, допускается принимать по табл. 53.
Таблица 53
#G0Сетчатые барабанные фильтры
Снижение содержания загрязняющих веществ, %
по взвешенным веществам
по ![]()
Микрофильтры
50-60
25-30
Барабанные сетки
20-25
5-10
6.247. При применении барабанных сеток для механической очистки сточных вод в исходной воде должны отсутствовать вещества, затрудняющие промывку сетки (смолы, жиры, масла, нефтепродукты и пр.), а содержание взвешенных веществ не должно превышать 250 мг/л.
При использовании микрофильтров для глубокой очистки городских сточных вод содержание взвешенных веществ в исходной воде должно быть не более 40 мг/л.
6.248. Число резервных сетчатых барабанных фильтров надлежит принимать по табл. 54.
Таблица 54
#G0Барабанные фильтры
Число
рабочих
резервных
Микрофильтры
До 4
1
Св.4
2
Барабанные сетки
До 6
1
Св.6
2
6.249. При применении сетчатых барабанных фильтров надлежит:
производительность и конструкцию принимать по паспортным данным заводов-изготовителей или по рекомендациям научно-исследовательских организаций;
предусматривать промывку водой, прошедшей сетчатые барабанные фильтры при давлении 0,15 МПа (1,5 кгс/см
):
постоянную с расходом для микрофильтров - 3-4% расчетной производительности установки, барабанных сеток для механической очистки сточных вод - 1-1,5%;
периодическую для барабанных сеток в схеме глубокой очистки сточных вод с числом промывок 8-12 раз в сутки, продолжительностью промывки 5 мин, расходом промывной воды 0,3-0,5% расчетной производительности барабанной сетки.
Сооружения для физико-химической очистки сточных вод
Нейтрализация сточных вод
6.250. Сточные воды, величина
которых ниже 6,5 или выше 8,5, перед отводом в канализацию населенного пункта или в водный объект подлежат нейтрализации.
Нейтрализацию следует осуществлять смешением кислых и щелочных сточных вод, введением реагентов или фильтрованием их через нейтрализующие материалы.
6.251. Дозу реагентов надлежит определять из условия полной нейтрализации содержащихся в сточных водах кислот или щелочей и выделения в осадок соединений тяжелых металлов по уравнению соответствующей реакции. Избыток реагента должен составлять 10% расчетного количества.
При определении дозы реагента необходимо учитывать взаимную нейтрализацию кислот и щелочей, а также щелочной резерв бытовых сточных вод или водоема (водотока).
6.252. В качестве реагентов для нейтрализации кислых сточных вод следует применять гидроокись кальция (гашеную известь) в виде 5% по активной окиси кальция известкового молока или отходы щелочей (едкого натра или калия).
Проектирование установок для приготовления известкового молока надлежит выполнять согласно #M12СНиП 2.04.02-84#S.
6.253. Для подкисления и нейтрализации щелочных сточных вод рекомендуется применять техническую серную кислоту.
6.254. Для выделения осадка следует предусматривать отстойники с временем пребывания в них сточных вод в течение 2 ч.
6.255. Количество сухого вещества осадка
, кг/м
, образующегося при нейтрализации 1 м
сточной воды, содержащей свободную серную кислоту и соли тяжелых металлов, надлежит определять по формуле
, (80)
где
- содержание активной
в используемой извести, %;
- количество активной
, необходимой для осаждения металлов, кг/м
;
- количество активной
, необходимой для нейтрализации свободной серной кислоты, кг/м
;
- количество образующихся гидроксидов металлов, кг/м
;
- количество сульфата кальция, образующегося при осаждении металлов, кг/м
;
- количество сульфата кальция, образующегося при нейтрализации свободной кислоты, кг/м
.
Примечание. Третий член в формуле не учитывается, если его значение отрицательное.
6.256. Объем осадка, образующегося при нейтрализации 1 м
сточной воды,
, %, определяется по формуле
, (81)
где
- влажность осадка, %.
Влажность осадка должна быть менее или равна разности 100 за вычетом количества сухого вещества, выраженного в процентах.
6.257. Осадок, выделенный в отстойниках, надлежит обезвоживать на шламовых площадках, вакуум-фильтрах или фильтр-прессах. При проектировании отстойников и сооружений по обезвоживанию следует руководствоваться требованиями соответствующих разделов настоящих норм.
6.258. Все резервуары, трубопроводы, оборудование, соприкасающиеся с агрессивными средами, должны быть защищены соответствующей изоляцией.
Реагентные установки
6.259. Реагентную обработку необходимо применять для интенсификации процессов удаления из сточных вод грубодисперсных, коллоидных и растворенных примесей в процессе физико-химической очистки, а также для обезвреживания хром - и циансодержащих сточных вод.
В случае содержания биогенных элементов в сточных водах, подлежащих биологической очистке, ниже норм, указанных в п. 6.2, следует предусматривать их искусственное пополнение (биогенную подпитку).
6.260. В качестве реагентов следует применять коагулянты (соли алюминия или железа), известь, флокулянты (водорастворимые органические полимеры неионогенного, анионного и катионного типов).
6.261. Вид реагента и его дозу надлежит принимать по данным научно-исследовательских организаций в зависимости от характера загрязнений сточных вод, необходимой степени их удаления, местных условий и т. п. Для сточных вод некоторых отраслей промышленности и городских сточных вод дозы реагентов допускается принимать по табл. 55.
Таблица 55
#G0
Доза реагента, мг/л
Сточные воды
Загрязня - ющие вещества
Концент - рация загрязня - ющих ве - ществ, мг/л
Реагенты
извести
солей алюми - ния
солей железа
анион - ного флоку - лянта по актив - ному поли - меру
катион - ного флоку - лянта по актив - ному поли - меру
Нефте - перераба - тывающих заводов, нефтепере - валочных баз
Нефте - продукты
До 100
Соли алюминия совместно с анионным флокулянтом или без него, катионные флокулянты
-
50-75
-
0,5
2,5-5
100-200
-
75-100
-
1,0
5-10
200-300
-
100-150
-
1,5
10-15
Машино - строитель - ных, коксо- химических заводов
Масла
До 600
Соли алюминия или железа совместно с анионным флокулянтом или без него, катионные флокулянты
-
50-300
50-300
0,5-2
5-20
Пищевой промыш - ленности, шерсто - мойных фабрик, заводов металло - обрабаты - вающих, синтети - ческих волокон
Эмульсии масел и жиров
100
Соли алюминия или железа совместно с анионным флокулянтом или без него
-
150
150
-
-
300
-
300
300
0,5-3
-
500
-
500
500
0,5-3
-
1000
-
700
700
0,5-3
-
Целлю - лозно - бумажной промыш- ленности
Цветность (суль - фатный лигнин), град ПКШ
950
То же
-
250
250
-
-
1450
-
275
275
-
-
2250
-
400-500
400-500
-
-
Цветность (лигно - сульфат), град ПКШ
1000
Известь
![]()
1000
-
-
-
-
2000
2500
-
-
-
-
Шламовые воды угле - обогати- тельных фабрик, шахтные воды
Суспензия угольных частиц
До 100
Анионный флокулянт
-
-
-
2-5
-
100-500
-
-
-
5-10
-
-
-
-
10-15
-
-
-
-
15-25
-
Бумажных и картонных фабрик
Суспензия целлюлозы
До 1000
Соли алюминия совместно с анионным флокулянтом Катионный флокулянт
-
50-300
-
0,5-2
-
-
-
-
-
2,5-20
Городские и бытовые
![]()
До 300
Соли алюминия совместно с анионным флокулянтом или без него
-
30-40*
-
0,5-1,0
-
-
40-50*
-
-
-
Взвешен - ные вещества
До 350
Соли железа совместно с анионным флокулянтом или без него Катионный флокулянт
-
-
40-50**
0,5-1,0
-
-
-
1***
0,5-1,0
-
-
-
50- 70***
-
-
-
-
-
-
10-20
Примечание. Дозы реагентов приведены по товарному продукту, флокулянтов - по активному полимеру, за исключением: * - по
, ** - по
, *** - по
.
6.262. При обработке воды коагулянтами необходимо поддерживать оптимальное значение
подкислением или подщелачиванием ее.
Для городских вод при
до 7,5 следует применять соли алюминия, при
свыше 7,5 - соли железа.
6.263. Приготовление, дозирование и ввод реагентов в сточную воду надлежит предусматривать согласно #M12СНиП 2.04.02-84#S.
6.264. Смешение реагентов со сточной водой следует предусматривать в гидравлических смесителях или в подводящих воду трубопроводах согласно #M12СНиП 2.04.02-84#S.
Допускается применять смешение в механических смесителях или в насосах, подающих сточную воду на очистные сооружения.
В случае использования в качестве реагентов железного купороса следует использовать аэрируемые смесители, аэрируемые песколовки или преаэраторы, обеспечивающие перевод закиси железа в гидрат окиси. Время пребывания в смесителе в этом случае должно быть не менее 7 мин, интенсивность подачи воздуха 0,7-0,8 м
/м
обрабатываемой сточной воды в 1 мин, глубина смеси,5 м.
6.265. В камерах хлопьеобразования надлежит применять механическое или гидравлическое перемешивание.
Рекомендуется использовать камеры хлопьеобразования, состоящие из отдельных отсеков с постепенно уменьшающейся интенсивностью перемешивания.
6.266. Время пребывания в камерах хлопьеобразования следует принимать, мин: при отделении скоагулированных взвешенных веществ отстаиванием для коагулянтов - 10-15, для флокулянтов - 20-30, при очистке сточной воды флотацией для коагулянтов - 3-5, для флокулянтов - 10-20.
6.267. Интенсивность смешения сточных вод с реагентами в смесителях и камерах хлопьеобразования следует оценивать по величине среднего градиента скорости, которая составляет,
:
для смесителей с коагулянтами - 200, с флокулянтами - 300-500;
для камер хлопьеобразования: при отстаивании для коагулянтов и флокулянтов - 25-50; при флотации - 50-75.
6.268. Отделение скоагулированных примесей от воды следует осуществлять отстаиванием, флотацией, центрифугированием или фильтрованием, проектируемыми согласно настоящим нормам.
Обезвреживание циансодержащих сточных вод
6.269. Для обезвреживания сильнотоксических цианидов (простых цианидов, синильной кислоты, комплексных цианидов цинка, меди, никеля, кадмия) следует применять окисление их реагентами, содержащими активный хлор при величине
11-11,5.
6.270. К реагентам, содержащим активный хлор, относятся хлорная известь, гипохлориты кальция и натрия, жидкий хлор.
6.271. Дозу активного хлора надлежит принимать из расчета 2,73 мг на 1 мг цианидов цинка, никеля, кадмия, синильной кислоты и простых цианидов и 3,18 мг/мг - для комплексных цианидов меди с избытком не менее 5 мг/л.
6.272. Концентрация рабочих растворов реагентов должна быть 5-10% по активному хлору.
6.273. Для обработки циансодержащих сточных вод следует, как правило, предусматривать установки периодического действия, состоящие не менее чем из двух камер реакции.
Время контакта сточных вод с реагентами 5 мин - при окислении простых цианидов и 15 мин - при окислении комплексных цианидов.
6.274. После обработки сточных вод активным хлором их необходимо нейтрализовать до
8-8,5.
6.275. Объем осадка влажностью 98% при двухчасовом отстаивании составляет 5% объема обрабатываемой воды.
При введении перед отстойниками полиакриламида (доза 20 мг/л 0,1%-ного раствора) время отстаивания надлежит сокращать до 20 мин.
Обезвреживание хромсодержащих сточных вод
6.276. Для обезвреживания хромсодержащих сточных вод следует применять бисульфит или сульфат натрия при
2,5-3.
6.277. Дозу бисульфита натрия надлежит принимать равной 7,5 мг на 1 мг шестивалентного хрома при концентрации его до 100 мг/л и 5,5 мг/мг - при концентрации хрома свыше 100 мг/л.
6.278. Перед подачей обезвреженных сточных вод на отстойники их надлежит нейтрализовать известковым молоком до
8,5-9.
Биогенная подпитка
6.279. Для биогенной подпитки в качестве биогенных добавок следует принимать:
фосфорсодержащие реагенты - суперфосфат, ортофосфорную кислоту;
азотсодержащие реагенты - сульфат аммония, аммиачную селитру, водный аммиак, карбамид;
азот - и фосфорсодержащие реагенты - диаммонийфосфат технический, аммофос.
6.280. Концентрацию рабочих растворов надлежит принимать до 5% по
и до 15% по
.
Сооружения для адсорбционной очистки
сточных вод
Общие указания
6.281. Для глубокой очистки сточных вод от растворенных органических загрязняющих веществ методом адсорбции в качестве сорбента надлежит применять активные угли.
6.282. Активный уголь следует применять в виде слоя загрузки плотного (движущегося или неподвижного), намытого на подложку из другого материала или суспензии в сточной воде.
Адсорберы с плотным слоем
загрузки активного угля
6.283. В качестве адсорберов надлежит применять конструкции безнапорных открытых и напорных фильтров с загрузкой в виде плотного слоя гранулированного угля крупностью 0,8-5 мм.
6.284. Содержание взвешенных веществ в сточных водах, поступающих на адсорберы, не должно превышать 5 мг/л.
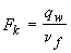
6.285. Площадь загрузки адсорбционной установки
, м
, надлежит определять по формуле
, (82)
где
- среднечасовой расход сточных вод, м
/ч;
- скорость потока, принимаемая не более 12 м/ч.
При выключении одного адсорбера скорость фильтрования на остальных не должна увеличиваться более чем на 20%.
6.286. Число последовательно работающих адсорберов
надлежит рассчитывать по формуле
, (83)
где
- высота сорбционной загрузки одного фильтра, м, принимаемая конструктивно;
- общая высота сорбционного слоя, м, определяемая по формуле
, (84)
здесь
- высота сорбционного слоя, м, в котором за период
адсорбционная емкость сорбента исчерпывается до степени
, рассчитываемая по формуле
, (85)
где
- насыпной вес активного угля, г/м
, принимаемый по справочным данным;
- минимальная доза активного угля, г/л, выгружаемого из адсорбера при коэффициенте исчерпания емкости
, определяемая по формуле
, (86)
здесь
- концентрации сорбируемого вещества до и после очистки, мг/л;
- принимается равным 0,6-0,8;
- максимальная сорбционная емкость активного угля, мг/л, определяемая экспериментально;
- высота загрузки сорбционного слоя, обеспечивающая работу установки до концентрации
в течение времени
, принимаемого по условиям эксплуатации, и определяемая по формуле
, (87)
где
- максимальная доза активного угля, г/л, определяемая по формуле
, (88)
здесь
- минимальная сорбционная емкость активного угля, мг/л, определяемая экспериментально;
- резервный слой сорбента, рассчитанный на продолжительность работы установки в течение времени перегрузки или регенерации слоя сорбента высотой
, м.
6.287. Потери напора в слое гранулированного угля при крупности частиц загрузки 0,8-5 мм надлежит принимать не более 0,5 м на 1 м слоя загрузки.
6.288. Выгрузку активного угля из адсорбера следует предусматривать насосом, гидроэлеватором, эрлифтом и шнеком при относительном расширении загрузки на 20-25%, создаваемом восходящим потоком воды со скоростью 40-45 м/ч.
В напорных адсорберах допускается предусматривать выгрузку угля под давлением не менее 0,3 МПа (3 кгс/см
).
6.289. Металлические конструкции, трубопроводы, арматура и емкости, соприкасающиеся с влажным углем, должны быть защищены от коррозии.
Адсорберы с псевдоожиженным слоем
активного угля
6.290. Сточные воды, поступающие в адсорберы с псевдоожиженным слоем, не должны содержать взвешенных веществ свыше 1 г/л при гидравлической крупности не более 0,3 мм/с. Взвешенные вещества, выносимые из адсорберов, и мелкие частицы угля надлежит удалять после адсорбционных аппаратов.
6.291. Адсорбенты с насыпным весом свыше 0,7 т/м
допускается дозировать в мокром или сухом виде, а менее 0,7 т/м
- только в мокром виде.
6.292. По высоте адсорберов 0,5-1,0 м следует устанавливать секционирующие решетки с круглой перфорацией диаметром 10-20 мм и долей живого сечения 10-15%. Оптимальное число секций - три-четыре.
6.293. Скорость восходящего потока воды в адсорбере надлежит принимать 30-40 м/ч размерами частиц 1-2,5 мм для активных углей и 10-20 м/ч для углей размерами частиц 0,25-1 мм.
6.294. Дозу активного угля для очистки воды следует определять экспериментально.
Сооружения для ионообменной
очистки сточных вод
6.295. Ионообменные установки следует применять для глубокой очистки сточных вод от минеральных и органических ионизированных соединений и образования очищенной воды в производстве и утилизации ценных компонентов.
6.296. Сточные воды, подаваемые на установку, не должны содержать: солей - свыше 3000 мг/л; взвешенных веществ - свыше 8 мг/л; ХПК не должна превышать 8 мг/л.
При большем содержании в сточной воде взвешенных веществ и большей ХПК необходимо предусматривать ее предварительную очистку.
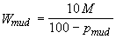
6.297. Объем катионита
, м
, в водородкатионитовых фильтрах следует определять по формуле
, (89)
где
- расход обрабатываемой воды, куб. м/ч;
- суммарная концентрация катионов в обрабатываемой воде, г · экв/м
;
- допустимая суммарная концентрация катионов в очищенной воде, г · экв/м
;
- число регенераций каждого фильтра в сутки (выбирается в зависимости от конкретных условий, но не более двух);
- рабочая обменная емкость катионита по наименее сорбируемому катиону, г · экв/м
:
, (90)
здесь
- коэффициент эффективности регенерации, учитывающий неполноту регенерации и принимаемый равным 0,8-0,9;
- полная обменная емкость катионита, г · экв/м
, определяемая по заводским паспортным данным, по каталогу на иониты или по экспериментальным данным;
- удельный расход воды на отмывку катионита после регенерации, м
на 1 м
катионита, принимаемый равным 3-4;
- коэффициент, учитывающий тип ионита; для катионита принимается равным 0,5;
- суммарная концентрация катионов в отмывочной воде (при отмывке катионита ионированной водой).
6.298. Площадь катионитовых фильтров
, м
, надлежит определять по формулам:
; (91)
, (92)
где
- высота слоя катионита в фильтре, принимаемая по каталогу ионообменных фильтров от 2 до 3 м;
- расход воды, м
/ч;
- скорость фильтрования, м/ч, принимаемая по п. 6.299.
При значительных отклонениях площадей, рассчитанных по формулам (91) и (92), следует в формуле (89) проводить корректировку числа регенераций
.
6.299. Скорость фильтрования воды
, м/ч, для напорных фильтров первой ступени не должна превышать при общем солесодержании воды:
#G1
до 5 мг · экв./л - 20;
5-15 “ - 15;
15-20 “ - 10;
свыше 20 “ - 8.
#G0
6.300. Число катионитовых фильтров первой ступени следует принимать: рабочих - не менее двух, резервных - один.
6.301. Потери напора в напорных катионитовых фильтрах надлежит принимать по табл. 56.
|
Из за большого объема этот материал размещен на нескольких страницах:
1 2 3 4 5 6 7 8 9 10 11 12 |



