Таблица 56
#G0
Потери напора в фильтре, м, при размере зерен ионита, мм
Скорость фильтрования
0,3-0,8
0,5-1,2
, м/ч
при высоте слоя загрузки, м
2
2,5
4
2,5
5
5
5,5
4
4,5
10
5,5
6
5
5,5
15
6
6,5
5,5
6
20
6,5
7
6
6,5
25
9
10
7
7,5
6.302. Интенсивность подачи воды при взрыхлении катионита следует принимать 3-4 л/(с · м
), продолжительность взрыхления - 0,25 ч. Для взрыхления катионита перед регенерацией следует использовать последние фракции воды от отмывки катионита.
6.303. Регенерацию катионитовых фильтров первой ступени надлежит производить 7-10%-ными растворами кислот (соляной, серной). Скорость пропуска регенерационного раствора кислоты через слой катионита не должна превышать 2 м/ч. Последующая отмывка катионита осуществляется ионированной водой, пропускаемой через слой катионита сверху вниз со скоростью 6-8 м/ч. Удельный расход составляет 2,5-3 м на 1 м
загрузки фильтра.
Первая половина объема отмывочной воды сбрасывается в бак для приготовления регенерирующего раствора кислоты, вторая половина - в бак воды для взрыхления катионита.
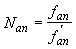
6.304. Водород-катионитовые фильтры второй ступени следует рассчитывать согласно пп. 6.297-6.301 и исходя из концентрации катионов щелочных металлов и аммония.
6.305. Регенерацию катионитовых фильтров второй ступени следует производить 7-10%-ным раствором серной кислоты. Удельный расход кислоты составляет 2,5 мг · экв на 1 мг · экв рабочей обменной емкости катионита.
6.306. Объем анионита
, м
, в анионитовых фильтрах надлежит определять по формуле
, (93)
где
- расход обрабатываемой воды, м
/ч;
- суммарная концентрация анионов в обрабатываемой воде, мг · экв/л;
- допустимая суммарная концентрация анионов в очищенной воде, мг · экв /л;
- число регенераций каждого фильтра в сутки (не более двух);
- рабочая обменная емкость анионта, мг · экв /л:
, (94)
где
- коэффициент эффективности регенерации анионита, принимаемый для слабоосновных анионитов равным 0,9;
- полная обменная емкость анионита, мг · экв /л, определяемая на основании паспортных данных, по каталогу на иониты или экспериментальным данным;
- удельный расход воды на отмывку анионита после регенерации смолы, принимаемый равным 3-4 м
на 1 м
смолы;
- коэффициент, учитывающий тип ионита; для анионита принимается равным 0,8;
- суммарная концентрация анионов в отмывочной воде, мг · экв /м
.
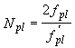
6.307. Площадь фильтрации
, м
, анионитовых фильтров первой ступни надлежит определять по формуле
, (95)
где
- расход обрабатываемой воды, м
/ч;
- число регенераций анионитовых фильтров в сутки, принимаемое не более двух;
- продолжительность работы каждого фильтра, ч, между регенерациями, определяемая по формуле
, (96)
здесь
- продолжительность взрыхления анионита, принимаемая равной 0,25 ч;
- продолжительность пропускания регенерирующего раствора, определяемая исходя из количества регенерирующего раствора и скорости его пропускания (1,5-2 м/ч);
- продолжительность отмывки анионита после регенерации, определяемая исходя из количества промывочной воды и скорости отмывки (5-6 м/ч);
- скорость фильтрования воды, м/ч, принимаемая в пределах 8-20 м/ч.
6.308. Регенерацию анионитовых фильтров первой ступени надлежит производить 4-6%-ными растворами едкого натра, кальцинированной соды или аммиака; удельный расход реагента на регенерацию равен 2,5-3 мг · экв на 1 мг · экв сорбированных анионов (на 1 мг · экв рабочей обменной емкости анионита).
В установках с двухступенчатым анионированием для регенерации анионитовых фильтров первой ступени следует использовать отработанные растворы едкого натра от регенерации анионитовых фильтров второй ступени.
6.309. Загрузку анионитовых фильтров второй ступени следует производить сильноосновным анионитом, высота загрузки 1,5-2 м. Расчет анионитовых фильтров второй ступени следует производить согласно пп. 6.306 и 6.307.
Скорость фильтрования обрабатываемой воды следует принимать 12-20 м/ч.
6.310. Регенерацию анионитовых фильтров второй ступени надлежит производить 6-8%-ным раствором едкого натра. Скорость пропускания регенерирующего раствора должна составлять 1-1,5 м/ч. Удельный расход едкого натра на регенерацию 7-8 г · экв на 1 г · экв сорбированных ионов (на 1 г · экв рабочей обменной емкости анионита).
6.311. Фильтры смешанного действия (ФСД) следует предусматривать после одно - или двухступенчатого ионирования воды для глубокой очистки воды и регулирования величины
ионированной воды.
6.312. Расчет ФСД производится в соответствии с пп. 6.297-6.301, 6.306 и 6.307. Скорость фильтрования - до 50 м/ч.
6.313. Регенерацию катионита следует производить 7-10%-ным раствором серной кислоты, анионита - 6-8%-ным раствором едкого натра. Скорость пропускания регенерирующих растворов должна составлять 1-1,5 м/ч. Отмывку ионитов в фильтрах необходимо производить обессоленной водой. В процессе отмывки иониты следует перемешивать сжатым воздухом.
6.314. Аппараты, трубопроводы и арматура установок ионообменной очистки и обессоливания сточных вод должны изготавливаться в антикоррозионном исполнении.
6.315. Регенерацию ионитов следует производить с фракционным отбором элюатов. Элюат следует делить на 2-3 фракции.
Наиболее концентрированные по извлекаемым компонентам фракции элюата следует направлять на обезвреживание, переработку, утилизацию, наименее концентрированные по извлекаемым компонентам фракции - направлять на повторное использование в последующих циклах регенерации.
Сооружения для электрохимической
6.316. Аппараты для электрохимической очистки сточных вод могут быть как с не подвергающимися (электролизеры), так и с подвергающимися электролитическому растворению анодами (электрокоагуляторы).
Электролизеры для обработки
циансодержащих сточных вод
6.317. Для обработки циансодержащих сточных вод надлежит применять электролизеры с анодами, не подвергающимися электролитическому растворению (графит, титан с металлооксидным покрытием и др.), и стальными катодами.
6.318. Электролизеры следует применять при расходе сточных вод до 10 м
/ч и исходной концентрации цианидов не менее 100 мг/л.
6.319. Корпус электролизера должен быть защищен изнутри материалами, стойкими к воздействию хлора и его кислородных соединений, оборудован вентиляционным устройством для удаления выделяющегося газообразного водорода.
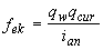
6.320. Величину рабочего тока
, А, при работе электролизеров непрерывного и периодического действия надлежит определять по формуле
или
, (97)
где
- исходная концентрация цианидов в сточных водах, г/м
;
- объем сточных вод в электролизере, м
;
- выход по току, принимаемый равным 0,6-0,8;
- время пребывания сточных вод в электролизере, ч;
2,06 - коэффициент удельного расхода электричества, А · ч/г;
- расход сточных вод, м
/ч
6.321. Общую поверхность анодов
, м
, следует определять по формуле
, (98)
где
- анодная плотность тока, принимаемая равной 100-150 А/м
.
Общее число анодов
следует определять по формуле
, (99)
где
- поверхность одного анода, м
.
Электрокоагуляторы с алюминиевыми электродами
6.322. Электрокоагуляторы с алюминиевыми пластинчатыми электродами следует применять для очистки концентрированных маслосодержащих сточных вод (отработанных смазочно-охлаждающих жидкостей), образующихся при обработке металлов резанием и давлением, с концентрацией масел не более 10 г/л.
При обработке сточных вод с более высоким содержанием масел необходимо предварительное разбавление предпочтительно кислыми сточными водами. Остаточная концентрация масел в очищенных сточных водах должна быть не более 25 мг/л.
6.323. При проектировании электрокоагуляторов необходимо определять:
площадь электродов,
, м
, по формуле
, (100)
где
- производительность аппарата, м
/ч;
- удельный расход электричества, А · ч/м
, допускается принимать по табл. 57;
- электродная плотность тока, А/кв. м;
= 80-120 А/м
;
токовую нагрузку
, А, по формуле
; (101)
длину ребра электродного блока
, м, по формуле
, (102)
где
- толщина электродных пластин, мм;
= 4-8 мм;
- величина межэлектродного пространства, мм;
= 12-15 мм.
Удельный расход алюминия на очистку сточной воды
, г/м
, следует принимать по табл. 57.
6.324. После электрохимической обработки сточные воды следует отстаивать не менее 60 мин.
6.325. Предварительное подкисление сточных вод следует производить соляной (предпочтительно) или серной кислотой до величины
4,5-5,5.
6.326. Пластинчатые электроды следует собирать в виде блока. Электрокоагулятор должен быть снабжен водораспределительным устройством, приспособлением для удаления пенного продукта, устройствами для выпуска очищенной воды и шлама, прибором для контроля уровня воды, устройством для реверсирования тока.
Примечание. Электрокоагулятор снабжается устройством для реверсирования тока лишь в случае его отсутствия в источнике постоянного тока.
6.327. В качестве электродного материала следует применять алюминий или его сплавы, за исключением сплавов, содержащих медь.
6.328. Расчет производительности вытяжной вентиляционной системы следует производить исходя из количества выделяющегося водорода, при этом производительность вентилятора
, м
/ч, надлежит определять по формуле
, (103)
где
- удельный объем выделяющегося водорода, л/м
, допускается принимать по табл. 57.
Таблица 57
#G0Технологический параметр
Содержание масел, г/м![]()
2000
2500
3000
3500
4000
4500
5000
5500
6000
8000
10000
, А · ч/м![]()
180
225
270
315
360
405
430
495
540
720
860
, г/м![]()
60
75
92
106
121
136
151
166
182
242
302
, л/м![]()
85
95
113
132
151
170
184
208
227
303
368
Электрокоагуляторы со стальными электродами
6.329. Электрокоагуляторы со стальными электродами следует применять для очистки сточных вод предприятий различных отраслей промышленности от шестивалентного хрома и других металлов при расходе сточных вод не более 50 м
/ч, концентрации шестивалентного хрома до 100 мг/л, исходном общем содержании ионов цветных металлов (цинка, меди, никеля, кадмия, трехвалентного хрома) до 100 мг/л, при концентрации каждого из ионов металлов до 30 мг/л, минимальном общем солесодержании сточной воды 300 мг/л, концентрации взвешенных веществ до 50 мг/л.
6.330. Величина
сточных вод должна составлять при наличии в сточных водах одновременно:
шестивалентного хрома, ионов меди и цинка:
4-6 при концентрации хрома 50-100 мг/л;
#G1 5-6 " " " 20-50 ";
6-7 " " " менее 20 ";
#G0
шестивалентного хрома, никеля и кадмия:
5-6 при концентрации хрома свыше 50 мг/л;
#G1 6-7 " " " менее 50 ";
#G0
ионов меди, цинка и кадмия (при отсутствии шестивалентного хрома) - свыше 4,5;
ионов никеля (при отсутствии шестивалентного хрома) - свыше 7.
6.331. Корпус электрокоагулятора должен быть защищен изнутри кислотостойкой изоляцией и оборудован вентиляционным устройством.
6.332. При проектировании электрокоагуляторов надлежит принимать:
анодную плотность тока - 150-250 А/м
;
время пребывания сточных вод в электрокоагуляторе - до 3 мин;
расстояние между соседними электродами - 5-10 мм;
скорость движения сточных вод в межэлектродном пространстве - не менее 0,03 м/с;
удельный расход электричества для удаления из сточных вод 1 г
при наличии в сточных водах только одного компонента - соответственно 3,1; 2-2,5; 4,5-5; 6-6,5 и 3-3,5 А · ч;
удельный расход металлического железа для удаления из сточных вод 1 г шестивалентного хрома - 2-2,5 г; удельный расход металлического железа для удаления 1 г никеля, цинка, меди, кадмия - соответственно 5,5-6; 2,5-3; 3-3,5 и 4-4,5 г.
6.333. При наличии в сточных водах одного компонента величину тока
, А, надлежит определять по формуле
, (104)
где
- производительность аппарата, м
/ч;
- исходная концентрация удаляемого компонента в сточных водах, г/м
;
- удельный расход электричества, необходимый для удаления из сточных вод 1 г иона металла, А · ч/г.
При наличии в сточных водах нескольких компонентов и суммарной концентрации ионов тяжелых металлов менее 50% концентрации шестивалентного хрома величину тока надлежит определять по формуле (104), причем в формулу подставлять значения
и
для шестивалентного хрома. При суммарной концентрации ионов тяжелых металлов свыше 50% концентрации шестивалентного хрома величину тока, определяемую по формуле (104), следует увеличивать в 1,2 раза, а величины
и
принимать для одного из компонентов, для которого произведение этих величин является наибольшим.
6.334. Общую поверхность анодов
, м
, надлежит определять по формуле
, (105)
где
- анодная плотность тока, А/м
.
При суммарной концентрации шестивалентного хрома и ионов тяжелых металлов в сточных водах до 80 мг/л, в интервалах 80-100, 100-150 и 150-200 мг/л анодную плотность тока следует принимать соответственно 150, 200, 250 и 300 А/м
.
6.335. Поверхность одного электрода
, м
, следует определять по формуле
, (106)
где
- ширина электродной пластины, м;
- рабочая высота электродной пластины (высота части электродной пластины, погруженной в жидкость), м.
6.336. Общее необходимое число электродных пластин
надлежит определять по формуле
. (107)
Общее число электродных пластин в одном электродном блоке должно быть не более 30. При большем расчетном числе пластин необходимо предусмотреть несколько электродных блоков.
6.337. Рабочий объем электрокоагулятора
, м
, следует определять по формуле
, (108)
где
- расстояние между соседними электродами, м.
Расход металлического железа для обработки сточных вод
, кг/сут, при наличии в них только одного компонента надлежит определять по формуле
, (109)
где
- удельный расход металлического железа, г, для удаления 1 г одного из компонентов сточных вод;
- коэффициент использования материала электродов, в зависимости от толщины электродных пластин принимаемый равным 0,6-0,8;
- расход сточных вод, м
/сут.
При одновременном присутствии в сточных водах нескольких компонентов и суммарной концентрации ионов тяжелых металлов менее 50% концентрации шестивалентного хрома расход металлического железа для обработки сточных вод надлежит определять по формуле (109), в которую подставляются значения
и
для шестивалентного хрома.
При одновременном присутствии в сточных водах нескольких компонентов и суммарной концентрации ионов тяжелых металлов свыше 50% концентрации шестивалентного хрома расход металлического железа надлежит определять по формуле (109) с коэффициентом 1,2, а
и
относить к одному из компонентов сточных вод, для которого произведение этих величин является наибольшим.
Сооружения для обработки осадка сточных вод
Общие указания
6.338. Осадок, образующийся в процессе очистки сточных вод (сырой, избыточный активный ил и др.), должен подвергаться обработке, обеспечивающей возможность его утилизации или складирования. При этом необходимо учитывать народнохозяйственную эффективность утилизации осадка и газа метана, организацию складирования неутилизируемых осадков и очистку сточных вод, образующихся при обработке осадка.
6.339. Выбор методов стабилизации, обезвоживания и обезвреживания осадка должен определяться местными условиями (климатическими, гидрогеологическими, градостроительными, агротехническими и пр.), его физико-химическими и теплофизическими характеристиками, способностью к водоотдаче.
6.340. При обосновании по рекомендациям специализированных научно-исследовательских организаций допускается совместная обработка обезвоженных осадков и твердых бытовых отходов на территории очистных сооружений канализации или мусороперерабатывающих заводов.
6.341. Надлежит предусматривать использование обработанных осадков городских и близких к ним по составу производственных сточных вод в качестве органоминеральных удобрений.
Уплотнители и сгустители осадка
перед обезвоживанием или сбраживанием
6.342. Уплотнители и сгустители следует применять для повышения концентрации активного ила. Допускается подача в них иловой смеси их аэротенков, а также совместное уплотнение сырого осадка и избыточного активного ила.
Для этой цели допускается применение илоуплотнителей гравитационного типа (радиальных, вертикальных, горизонтальных), флотаторов и сгустителей.
Данные по проектированию уплотнителей аэробно стабилизированных осадков приведены в п. 6.367.
6.343. При проектировании радиальных и горизонтальных илоуплотнителей надлежит принимать:
выпуск уплотненного осадка под гидростатическим напором не менее 1 м;
илососы или илоскребы для удаления осадка;
подачу иловой воды из уплотнителей в аэротенки;
число илоуплотнителей не менее двух, причем оба рабочие.
6.344. Данные для расчета гравитационных илоуплотнителей следует принимать по табл. 58.
Таблица 58
#G0Характеристика избыточного активного ила
Влажность уплотненного активного ила, %
Продолжительность уплотнения, ч
Скорость движения жидкости в отстойной зоне вертикального
Уплотнитель
илоуплотнителя,
верти - кальный
радиаль - ный
верти - кальный
радиаль - ный
мм/с
Иловая смесь из аэротенков с концентрацией 1,5-3 г/л
-
97,3
-
5-8
-
Активный ил из вторичных отстойников с концентрацией 4 г/л
98
97,3
10-12
9-11
Не более 0,1
Активный ил из зоны отстаивания аэротенков-отстойников с концентрацией 4,5-6,5 г/л
98
97
16
12-15
То же
Примечание. Продолжительность уплотнения избыточного активного ила производственных сточных вод допускается изменять в зависимости от его свойств.
6.345. Для флотационного сгущения активного ила надлежит применять метод напорной флотации с использованием резервуаров круглой или прямоугольной формы. Флотационное уплотнение следует производить как при непосредственном насыщении воздухом объема ила, так и с насыщением рециркулирующей части осветленной воды.
Влажность уплотненного активного ила в зависимости от типа флотатора и характеристики ила составляет 94,5-96,5%.
6.346. Расчетные параметры и схемы флотационных установок надлежит принимать по данным научно-исследовательских организаций.
Метантенки
6.347. Метантенки следует применять для анаэробного сбраживания осадков городских сточных вод с целью стабилизации и получения метансодержащего газа брожения, при этом необходимо учитывать состав осадка, наличие веществ, тормозящих процесс сбраживания и влияющих на выход газа.
Совместно с канализационными осадками допускается подача в метантенки других сбраживаемых органических веществ после их дробления (домового мусора, отбросов с решеток, производственных отходов органического происхождения и т. п.).
6.348. Для сбраживания осадков в метантенках допускается принимать мезофильный (Т=33 °С) либо термофильный (Т=53 °С) режим. Выбор режима сбраживания следует производить с учетом методов последующей обработки и утилизации осадков, а также санитарных требований.
6.349. Для поддержания требуемого режима сбраживания надлежит предусматривать:
загрузку осадка в метантенки, как правило, равномерную в течение суток;
обогрев метантенков острым паром, выпускаемым через эжектирующие устройства, либо подогрев осадка, подаваемого в метантенк, в теплообменных аппаратах. Необходимое количество тепла следует определять с учетом теплопотерь метантенков в окружающую среду.
6.350. Определение вместимости метантенков следует производить в зависимости от фактической влажности осадка по суточной дозе загрузки, принимаемой для осадков городских сточных вод по табл. 59, а для осадков производственных сточных вод - на основании экспериментальных данных; при наличии в сточных водах анионных поверхностно-активных веществ (ПАВ) суточную дозу загрузки надлежит проверять согласно п. 6.351.
Таблица 59
#G0
Режим сбраживания
Суточная доза загружаемого в метантенк осадка
, %, при влажности загружаемого осадка, %, не более
93
94
95
96
97
Мезофильный
7
8
8
9
10
Термофильный
14
16
17
18
19
6.351. При наличии в сточных водах ПАВ величину суточной дозы загрузки
, %, принятую по табл. 59, надлежит проверять по формуле
, (110)
где
- содержание поверхностно-активных веществ (ПАВ) в осадке, мг/г сухого вещества осадка, принимаемое по экспериментальным данным или по табл. 60;
- влажность загружаемого осадка, %;
- предельно допустимая загрузка рабочего объема метантенка в сутки, принимаемая, г/м
:
40 - для алкилбензолсульфонатов с прямой алкильной цепью;
85 - для других "мягких" и промежуточных анионных ПАВ;
65 - для анионных ПАВ в бытовых сточных водах.
Если значение суточной дозы, определенное по формуле (110), менее указанного в табл. 59 для заданной влажности осадка, то вместимость метантенка необходимо откорректировать с учетом дозы загрузки, если равно или превышает - корректировка не производится.
|
Из за большого объема этот материал размещен на нескольких страницах:
1 2 3 4 5 6 7 8 9 10 11 12 |



