Вентилируемый зазор в
фасадных системах
Методические указания
СПб-2007

1. Назначение и конструкция вентилируемого зазора
2. Характеристики теплозащиты фасадов с вентилируемым зазором
3. Расчет скорости движения воздуха в воздушном зазоре
4. Расчет температуры воздуха в воздушном зазоре
Конструкция воздушного зазора

F min ширина 20 мм
F min сечения отверстий для приточного и отработавшего воздуха 50 см2/м



G снижение теплопотерь во время зимнего периода до 5-25%
G сбережение до 2/3 тепловой нагрузки внутреннего помещения
Характеристики теплозащиты фасадов с вентилируемым воздушным зазором
СНиП II-3-79* - Строительная теплотехника
(1)
(2)
Из (1) и (2), получаем
(3)
,
,
![]()
- коэффициент теплотехнической однородности.
=f (материал подконструкции, вид подконструкции)
Зависимость коэффициента теплотехнической неоднородности от количества кронштейнов, приходящихся на 1 м2 фасада (при площади поперечного сечения кронштейна 2 см2)

Расчет скорости движения воздуха в воздушном зазоре
. (4)
,
- аэродинамические коэффициенты на входе в прослойку и выходе из нее
- сумма коэффициентов местных сопротивлений
(5)
,
- объемный вес наружного воздуха и воздуха в прослойке
При ![]()
(6)
Расчет температуры воздуха в воздушном зазоре
Температура воздуха в зазоре зависит от:
Ø Геометрических параметров прослойки (высота)
Ø Теплотехнических характеристик стены и фасада
Ø Погодных условий (температура воздуха и скор. ветра)
(7)
(8)
(9)
Н. У.:
,
, получаем
(10)
(11)
§
- начальная температура воздуха на входе в зазор;
§
- предельное откл-е температуры воздуха в вент. зазоре от своего начального значения;
§
- высота, на которой разность температур
становится меньше своего предельного значения в
раз.
Изменение температуры по высоте воздушного зазора при различных скоростях движения воздуха.

Совместный расчет температуры и скорости движения воздуха в воздушном зазоре
Расчет тепломассобмена:
Ø Лучистый теплообмен - 
(между поверхностями облицовки и теплоизоляции)
Ø Конвективный теплообмен - ![]()
(между воздухом в зазоре и элементами конструкции)
Экспериментальные данные:
° термическое сопротивление стены – 3.4 м2 0С/Вт
° термическое сопротивление облицовки – 0.06 м2 0С/Вт
° толщина воздушного зазора – 0.06 м
° температура внутреннего воздуха – 20 0С
° температура наружного воздуха – -20 0С
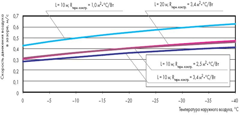
Зависимость максимальной скорости движения воздуха в зазоре от температуры наружного воздуха при различных сопротивления стены с утеплителем

Зависимость скорости воздуха в воздушном зазоре от температуры наружного воздуха при различных значениях ширины зазора d

Зависимость эффективного термического сопротивления воздушного зазора,
, от ширины зазора, d, при различных значениях высоты фасада, L

Список использованных источников
1. Тепловлажностный расчет фасадных систем с воздушным зазором: Методические указания к курсовой работе по курсу «Строительная теплофизика» / и др.- Н. Новгород: Изд-во НГАСУ, 2005.-32с.
2. Расчет теплозащиты фасадов с вентилируемым воздушным зазором. , , // АВОК. 2004. № 2, № 3.
3. О некоторых теплотехнических ошибках, допускаемых при проектировании вентилируемых фасадов. // АВОК. 2005. № 2
4. Строительная теплофизика. - Изд-во «АВОК Северо-Запад», 2006.-400с.
5. СНиП II-3-79*. Строительная теплотехника.



