Возможно также построение системы стройсбережений и без участия Сберегательного банка РФ. В настоящее время целесообразно было бы создавать систему стройсбережений не на федеральном уровне, а на местном - региональном или даже муниципальном. При поддержке заинтересованного в развитии строительства и реализации строящейся недвижимости местного руководства система строительных сбережений имеет хорошие потенциальные возможности становления.
Решению проблемы рефинансирования жилищных ипотечных ссуд в России будет способствовать деятельность специализированных институтов, выкупающих у банков ипотечные кредиты. Несмотря на отсутствие аналогичных институтов в дореволюционной России, создание подобных структур в современных условиях можно признать позитивным шагом. За десятилетия отсутствия в России системы ипотечного кредитования в мировой практике были выработаны современные и эффективные схемы рефинансирования ипотечных операций. Создание государственных (или полугосударственных) институтов с широким спектром функций (разработка ипотечных стандартов, контроль и регулирование ипотечного рынка и т. д. ) в настоящее время является типичным при формировании системы ипотечного кредитования. Наличие государственных гарантий обеспечивает более высокое качество ипотечных ценных бумаг, что способствует повышению их инвестиционной привлекательности. Недостатком данного механизма рефинансирования является необходимость выделения на начальном этапе значительных государственных средств.
В перспективе в России также возможно развитие рефинансирования ипотечных ссуд через систему закладных листов (наделение правом эмиссии первичных кредиторов). При разработке и внедрении необходимых ограничений (лицензирование эмитентов, регулирование объемов эмиссии (ограничения в зависимости от размера собственного капитала и др.) применение данного метода, исторически более близкого России, а также эффективно используемого в ряде западных стран, может оказаться достаточно успешным. Основными преимуществами данного метода являются большая самостоятельность и независимость ипотечных кредитных институтов (проведение ими собственной кредитной и процентной политики), а также существование конкуренции между ними, тогда как в первом случае роль ипотечных банков практически сводится к соблюдению заранее определенных свыше стандартов.
Кроме ипотеки жилых домов, квартир, дач Гражданским кодексом РФ, а также законом «Об ипотеке» допускается существование: ипотеки земельных участков (кроме земель, находящихся в государственной или муниципальной собственности, земель сельскохозяйственного назначения); ипотеки предприятий, зданий, сооружений и иного имущества. Ипотека предприятия в современной банковской практике не получила широкого распространения. Немногие попытки развития данного направления (Германия, Австрия) не привели к желаемым результатам.
В области промышленного кредита в настоящее время в мировой банковской практике распространено применение более эффективных видов кредитования, нежели ипотечное. Однако в современных российских условиях, когда у банков отсутствуют побудительные мотивы к долгосрочному кредитованию промышленных предприятий, а бюджетного финансирования и собственных средств у предприятий недостаточно, использование ипотеки может способствовать активизации инвестиционного процесса в российской промышленности. Для этого необходимо, во-первых, урегулировать все специфические юридические проблемы, связанные с ипотекой предприятия. Во-вторых, можно рекомендовать банкам предоставлять под залог предприятия кредиты только целевого характера (на реконструкцию и техническое обновление), а также уделять повышенное внимание оценке стоимости залога.
Неплохие перспективы имеет в России кредитование под залог различных видов коммерческой недвижимости (офисных помещений, торговых сооружений и прочих). Развитие соответствующих сегментов рынка недвижимости будет способствовать данному процессу. Предполагается также форсировать применение ипотеки прав аренды земельных участков под строительство (в частности, в Москве). Однако в данном случае при возникновении проблем процесс переоформления прав является достаточно сложным, а сами права становятся небесспорными. В долгосрочной перспективе, несмотря на отсутствие по закону «Об ипотеке» возможностей залога земель сельскохозяйственного назначения, несомненно, широкое распространение в России получит земельная ипотека. Введение платности землепользования, развитие различных форм собственности на землю являются предпосылками к формированию ипотечного механизма в аграрном секторе экономики. В данной области Россия имеет богатый исторический опыт. В настоящее время существуют реальные потребности развития земельной ипотеки.
Что касается перспективных форм и видов российских ипотечных кредитных институтов, представляется возможным выполнение данных операций как в рамках универсального коммерческого банка (в последние годы тенденция к универсализации стала преобладающей в мировой банковской практике), так и создание сети специализированных ипотечных банков различных форм собственности и организационно-правовых форм; возможно, создаваемых по территориальному признаку, а также по роду деятельности (то есть по виду принимаемой в залог недвижимости); применяющих различные методы привлечения ресурсов.
Обращение к ипотечному кредитованию может стать элементом разумной и эффективной кредитной политики для универсального банка. Политика диверсификации деятельности оказывает положительное влияние на его развитие, так как повышается финансовая устойчивость банка, что, в свою очередь, позволяет привлекать новых клиентов, желающих получить максимум финансовых продуктов в рамках одного банка; утверждается концепция банка как «финансового супермаркета».
Создание специализированных ипотечных институтов будет способствовать расширению возможностей потенциальных заемщиков. Также в рамках проводимой ЦБ РФ политики существуют реальные возможности осуществления данных операций и небанковскими кредитными институтами. В любом случае ипотечный кредитный институт должен гарантировать высокое качество предоставляемых услуг, что во многом обеспечивается соответствующим уровнем квалификации персонала.
Благоприятным результатом становления в стране различных форм и видов ипотечных кредитных институтов будет являться развитие конкурентной среды, что несомненно послужит мотивом совершенствования технологий кредитования, механизмов финансирования и рефинансирования ипотечных ссуд, оценки кредитоспособности заемщика, а также процедуры обслуживания кредита, и станет мощным фактором развития системы ипотечных кредитных институтов в целом.
Августовский кризис 1998 г. привел к существенному ухудшению экономической ситуации в России, и его последствия оказали негативное влияние на развитие ипотечного кредитования:
· произошло резкое усиление инфляции;
· значительно сократились возможности внешних заимствований (существовавшие программы ипотечного кредитования в качестве источников ресурсов главным образом предполагали использование иностранных кредитов, а также средств внешних финансовых рынков);
· существенно подорвано совсем недавно возникшее доверие населения к коммерческим банкам (значительно сократилось число вкладчиков) и к государству (государственные гарантии в случае выпуска ипотечных ценных бумаг не придадут им большей привлекательности);
· зарегистрирован рост безработицы и падение жизненного уровня населения, что привело к сокращению и без того небольшого количества потенциальных заемщиков по ипотечным ссудам.
Но постепенно доверие населения к правительству и банкам восстанавливается. Активизация процесса действительно ипотечных кредитных отношений станет возможной только при достижении в стране относительной макроэкономической и политической стабилизации. В современных условиях в России нельзя ожидать быстрого и динамичного развития системы ипотечного кредитования. Но, тем не менее, на данном этапе необходимо проведение последовательной работы по совершенствованию законодательной базы, а также по созданию и развитию инфраструктуры ликвидного рынка ипотечных бумаг.
На состоявшемся 28 февраля 2003г президиуме Госсовета по вопросу ипотеки Президент России отметил, что перевести жилищную проблему из зависших в решаемую можно с помощью ипотеки. Ипотека развивается – так в мае 2003г Агентство по ипотечному жилищному кредитованию подписало соглашение уже с 32-м регионом РФ – участником федеральной системы массовой ипотеки. По стандартам АИЖТ кредиты должны выдаваться на срок до 20-ти лет под 15% годовых в рублях.
2. ПРОЦЕДУРы Оформления ипотечного кредита и особенности залога отдельных видов имущества в РФ
2.1. Технология предоставления ипотечного кредита
Процедура предоставления ипотечного кредита (на покупку жилья) обычно включает несколько этапов:
1. Предварительное собеседование
· Разъяснение клиенту основных условий кредитования (срок, процент, схема погашения, залог, требования к клиенту);
· Предоставление клиенту списка документов для получения ипотечного кредита:
- Копия паспорта заемщика;
- Копия документа, являющегося основанием для регистрации постоянного места жительства (документы о собственности на квартиру или дом, ордер на заселение жилой площади);
- Документы, подтверждающие семейное положение заемщика (свидетельства о браке, рождении детей, разводе и т. д.);
- Паспортные данные всех совершеннолетних членов семьи заемщика;
- Выписка из домовой книги по месту постоянной регистрации заемщика;
- Копия финансово-лицевого счета жилого помещения, где зарегистрирован заемщик;
- Военный билет;
- Копия трудовой книжки;
- Справка с места работы о размере дохода за предыдущий и текущий год;
- Документы, подтверждающие наличие счетов в банках;
- Документы, подтверждающие наличие в собственности ценных бумаг (выписки из реестров акционеров);
- Документы, подтверждающие наличие в собственности дорогостоящего имущества;
- Документы по покупаемой квартире (предоставляются после положительного решения кредитного отдела банка);
- Иные документы, дополнительно запрашиваемые банком.
2. Сбор и проверка информации о клиенте
· Проверка трудоустройства клиента;
· Подтверждение текущих доходов и расходов потенциального заемщика;
· Проверка клиента службой экономической безопасности банка.
3. Принятие решения о возможности предоставления кредита основывается на анализе финансовых возможностей заемщика. Для определения возможности кредитования, например, «Инвестсбербанк» рассчитывает коэффициенты П/Д и О/Д.
Коэффициент П/Д (Платёж/Доход) равен отношению платежа в счет погашения основного долга и процентов по ипотечному кредиту к среднемесячному чистому доходу заёмщика. Данный коэффициент не должен превышать 35% (согласно западным нормативам кредитования)
Коэффициент О/Д (Обязательства/Доход) равен отношению общей суммы обязательных ежемесячных платежей к ежемесячному чистому доходу заёмщика. Данный коэффициент не должен превышать 65%.
Решение кредитного комитета банка о предоставлении ипотечного кредита действительно в течение 3 месяцев и за это время заемщику вместе с банком предстоит полностью оформить сделку, иначе вопрос о кредитовании будет рассматриваться последним повторно.
4. Выбор квартиры. Получив положительное решение кредитного отдела банка, заемщику предстоит определиться с выбором квартиры. Он может искать квартиру самостоятельно или с помощью риэлтерских кампаний. Участие риэлтерских компаний в процессе подбора квартиры может оказаться очень полезным, поскольку они знают все нюансы оформления ипотечной сделки, включая технологию расчетов, четко представляют себе требования банка по качеству и юридической чистоте жилья, приобретаемого с помощью ипотечного кредита. Кроме поиска квартиры (район, цена, метраж), риэлтеры проведут проверку документов по квартире, а также предоставят покупателю все необходимые консультации по вопросам приобретения жилья, прописки-выписки и т. д.
Рыночную стоимость выбранной квартиры поможет определить независимая оценочная компания (ее может порекомендовать банк). Отчет об оценке должен содержать следующую информацию:
· Цель данной оценки;
· Описание недвижимости, ее нахождение;
· Данные о ценах продажи и покупки, возможных доходах и расходах, относящихся к объекту недвижимости;
· Приложение одного или нескольких использованных методов оценки данной недвижимости;
· Оценка стоимости имущества на основе проведенных расчетов и дата, на которую она была сделана;
· Вспомогательный материал (карты, фотографии и т. д.).
5. Проверка банком предоставленных заемщиком документов на приобретаемую квартиру.
6. Заключение кредитной сделки. Для получения кредита на приобретение выбранной квартиры заемщику необходимо заключить с банком:
· кредитный договор, определяющий условия получения и погашения кредита;
· договор ипотеки квартиры.
Также оформляется трехсторонний договор купли-продажи квартиры, который заключается между продавцом квартиры, ее покупателем и банком-кредитором. После оплаты покупателем первоначального взноса (как правило, 30% от стоимости квартиры), который можно положить на специальный счет в банке-кредиторе или наличными деньгами в депозитную ячейку и государственной регистрации договора ипотеки (см. пункт 2.2.) банк перечисляет деньги продавцу и квартира становится собственностью покупателя.
Обязательным условием получения жилищного ипотечного кредита является страхование приобретаемой квартиры от рисков повреждения, утраты права собственности, а также страхование жизни и потери трудоспособности заемщика. Услуги страховой компании оплачивает заемщик.
При покупке жилья покупатель (заемщик) имеет право на льготы по уплате налога на доходы с физических лиц. В соответствии с Налоговым Кодексом налогоплательщик может вычесть из своего налогооблагаемого дохода суммы, фактически израсходованные на приобретение жилья, а также суммы, направленные на погашение процентов по ипотечным кредитам. Размер данного вычета не может быть более рублей без учета сумм, направленных на погашение процентов по ипотечному кредиту.
2.2. Государственная регистрация договора ипотеки
Ипотечная сделка подлежит обязательной государственной регистрации. Для этого в специализированное учреждение должны быть представлены: нотариально удостоверенный договор об ипотеке и его копия; доказательства уплаты регистрационного сбора; документ, подтверждающий возникновение обеспеченного ипотекой обязательства; документы, содержащие описание жилого помещения, которое является предметом договора об ипотеке.
Ипотека должна быть зарегистрирована в течение одного месяца со дня поступления всех необходимых документов. Государственная регистрация ипотеки может быть отложена не более чем на 1 месяц, если какой-либо из документов, необходимый для регистрации, не предоставлен; если договор об ипотеке, закладная и приложенные к ним документы не соответствуют требованиям закона (отсутствует нотариальное заверение); если необходимо проверить подлинность представленных документов.
Принимая решение об отложении государственной регистрации, орган, ее осуществляющий, запрашивает необходимые документы или требует устранения выявленных несоответствий. При невыполнении требований данного органа в установленный им срок в государственной регистрации ипотеки должно быть отказано. Заявителю в течение пяти дней после рассмотрения заявления, направляется сообщение о причине отказа и копия такого сообщения помещается в дело с его документами.
При наличии судебного спора по поводу прав на имущество, являющегося предметом ипотеки, или по поводу обращения на него взыскания государственная регистрация ипотеки откладывается до решения спора судом.
Регистрационная запись об ипотеке в государственном реестре прав на недвижимое имущество должна содержать сведения о залогодержателе, предмете ипотеки и сумме обеспеченного ею обязательства. Если договор об ипотеке предусматривает, что права залогодержателя удостоверяются закладной, то это также указывается в регистрационной записи (на основании договора об ипотеки залогодержателю регистрирующим органом может быть выдана закладная. Это ценная бумага, которая упрощает процедуру уступки прав по ипотечным кредитам. Закладная удостоверяет следующие права ее владельца: право на получение исполнения по денежному обязательству, обеспеченному ипотекой имущества, указанного в договоре об ипотеке, без предоставления других обязательств существования этого обязательства; право залога на указанное в договоре об ипотеке имущество. В закладной указываются: слово «закладная», имя залогодателя и указание места его проживания, наименование залогодержателя, название кредитного договора, сумма основного обязательства и размер процентов, сроки уплаты суммы обязательства, описание переданного в ипотеку имущества, по которому оно может быть опознано, денежная оценку имущества, подписи залогодателя и залогодержателя, сведения о нотариальном удостоверении договора об ипотеке, дата выдачи закладной и сведения о государственной регистрации. Закладная может быть передана другому лицу. Новый залогодержатель приобретает все права прежнего. При этом согласия должника-залогодателя на это не требуется. Эта уступка или цессия также требует нотариального удостоверения и государственной регистрации. Передача прав оформляется передаточной надписью на самой закладной).
Орган, осуществляющий государственную регистрацию ипотеки, оставляет в своем архиве копию договора об ипотеке, а если договор предусматривает выдачу закладной – то и копию закладной.
Технические ошибки в записях, допущенные при государственной регистрации, исправляются в трехдневный срок по решению регистратора после их обнаружения или получения от любого участника сделки письменного заявления об ошибке в записях. Участники сделки в такой же срок в обязательном порядке получают информацию об исправлении ошибок в письменной форме. Изменения и дополнения в регистрационную запись об ипотеке вносятся на основании соглашения между залогодателем и залогодержателем об изменении или дополнении условий договора об ипотеки. Такое соглашение должно быть нотариально удостоверено.
Государственная регистрация удостоверяется путем надписи на самом договоре. Она содержит полное наименование органа, зарегистрировавшего ипотеку, дату, место регистрации и номер, под которым она зарегистрирована. Эти данные заверяются подписью должностного лица и скрепляются печатью. Учреждение регистрации оставляет в своем архиве копию договора об ипотеке, а если договор предусматривает выдачу закладной, также и ее копию.
Расходы по уплате государственной пошлины за регистрацию и внесение изменений и дополнений в регистрационную запись об ипотеке возлагаются на залогодателя.
Если ипотека прекращается, то регистрационная запись погашается, а закладная аннулируется. Это происходит на основании совместного заявления залогодателя и залогодержателя либо на основании решения суда общей юрисдикции или арбитражного суда о прекращении ипотеки.
Государственная регистрация является публичной. Любое лицо вправе получить в органе, осуществляющем государственную регистрацию прав на недвижимое имущество, сведения о том, имеется ли регистрационная запись об ипотеке соответствующего имущества, и заверенную выписку из нее. Однако копия закладной к документам публичного характера не относится.
Отказ в государственной регистрации ипотеки, либо уклонение соответствующего органа от ее регистрации или от выдачи закладной, отказ во внесении в регистрационную запись об ипотеки исправлений и другие действия регистрирующей организации могут быть обжалованы заинтересованными сторонами в суде.
2.3. Обращение взыскания на заложенное имущество
Залогодержатель вправе обратить взыскание на имущество, заложенное по договору об ипотеке, при неисполнении залогодателем своих обязательств (выплаты суммы долга и процентов).
Если договором об ипотеке не предусмотрено иное, обращение взыскания на имущество, заложенное для обеспечения обязательства, исполняемого периодическими платежами, допускается при систематическом нарушении сроков их внесения (более трех раз в течение 12 месяцев, даже если каждая просрочка незначительна).
Взыскание по требованиям залогодержателя обращается на имущество, заложенное по договору об ипотеке, по решению суда. В обращении взыскания на имущество, заложенное по договору об ипотеке, может быть отказано, если допущенное должником нарушение обеспеченного ипотекой обязательства крайне незначительно и размер требований залогодержателя вследствие этого явно несоразмерен стоимости заложенного имущества. Принимая решение об обращении взыскания на имущество, заложенное по договору об ипотеке, суд должен определить и указать в нем:
1) суммы, подлежащие уплате залогодержателю из стоимости заложенного имущества;
2) способ реализации имущества, на которое обращается взыскание;
3) начальную продажную цену заложенного имущества в случае его реализации;
4) меры по обеспечению сохранности имущества до его реализации, если таковые необходимы.
По просьбе залогодателя суд при наличии уважительных причин вправе в решении об обращении взыскания на заложенное имущество отсрочить его реализацию на срок до одного года. Отсрочка реализации заложенного имущества не освобождает должника от возмещения возросших за время отсрочки убытков кредитора, причитающихся кредитору процентов и неустойки. Если должник в пределах предоставленного ему отсрочкой времени удовлетворит требования кредитора, обеспеченные ипотекой, суд по заявлению залогодателя отменяет решение об обращении взыскания.
Отсрочка реализации заложенного имущества не допускается, если она может повлечь существенное ухудшение финансового положения залогодержателя; если в отношении залогодателя или залогодержателя возбуждено дело о признании его несостоятельным (банкротом).
Удовлетворение требований залогодержателя за счет имущества, заложенного по договору об ипотеке, без обращения в суд допускается на основании нотариально удостоверенного соглашения между залогодержателем и залогодателем, заключенного после возникновения оснований для обращения взыскания на предмет ипотеки. В соглашении об удовлетворении требований залогодержателя, стороны могут предусмотреть:
· открытую реализацию заложенного имущества;
· приобретение заложенного имущества залогодержателем для себя или третьих лиц.
При заключении соглашения об удовлетворении требований залогодержателя стороны должны указать в нем:
1) название заложенного по договору об ипотеке имущества, за счет которого удовлетворяются требования залогодержателя, и стоимость этого имущества;
2) суммы, подлежащие уплате залогодержателю должником на основании обеспеченного ипотекой обязательства и договора об ипотеке;
3) способ реализации заложенного имущества, либо условие о его приобретении залогодержателем.
Соглашение об удовлетворении требований залогодержателя во внесудебном порядке может быть признано судом недействительным по иску лица, чьи права нарушены этим соглашением.
2.4. Особенности залога отдельных видов имущества
2.4.1. Ипотека земельных участков
По договору об ипотеке могут быть заложены земельные участки (предназначенные для садоводства, животноводства, индивидуального жилищного, дачного и гаражного строительства), находящиеся в собственности физических и юридических лиц
Ипотека земель, находящихся в государственной или муниципальной собственности, а также сельскохозяйственных угодий из состава земель сельскохозяйственных организаций, крестьянских (фермерских) хозяйств и полевых земельных участков личных подсобных хозяйств не допускается.
Если договором об ипотеке не предусмотрено иное, при ипотеке земельного участка право залога на находящиеся или возводимые на этом участке здания и сооружения залогодателя, в том числе на жилые строения, не распространяется.
При отсутствии в договоре условия, предусматривающего, что находящееся или возводимое на земельном участке здание или сооружение, принадлежащее залогодателю, заложено тому же залогодержателю, залогодатель при обращении взыскания на земельный участок сохраняет право на это здание или сооружение и приобретает право ограниченного пользования той частью участка, которая необходима для использования здания или сооружения в соответствии с его назначением. Условия пользования этой частью участка определяются соглашением между залогодателем и залогодержателем, а в случае спора - судом.
На земельном участке, заложенном по договору об ипотеке, залогодатель вправе без согласия залогодержателя возводить в установленном порядке здания или сооружения, если иное не предусмотрено договором об ипотеке.
Если возведение залогодателем на заложенном земельном участке здания или сооружения влечет или может повлечь ухудшение обеспечения, предоставленного залогодержателю ипотекой этого участка, залогодержатель может потребовать изменения договора об ипотеке, в том числе, если это необходимо, путем распространения ипотеки на возведенное здание или сооружение.
Если ипотека установлена на земельный участок, на котором находится здание или сооружение, принадлежащее не залогодателю, а другому лицу, при обращении залогодержателем взыскания на этот участок и его реализации к приобретателю участка переходят права и обязанности, которые в отношении этого лица имел залогодатель как владелец участка.
К договору об ипотеке земельного участка должна быть приложена в качестве обязательного приложения копия плана (чертежа границ) этого участка, выданная соответствующим комитетом по земельным ресурсам и землеустройству.
2.4.2. Ипотека предприятий, зданий и сооружений
При ипотеке предприятия как имущественного комплекса право залога распространяется на все входящее в его состав имущество.
Ипотека здания или сооружения допускается только с одновременной ипотекой по тому же договору земельного участка, на котором находится это здание или сооружение, либо части этого участка, функционально обеспечивающей закладываемый объект.
Если предметом ипотеки является предприятие и иное не предусмотрено договором, в состав заложенного имущества входят относящиеся к данному предприятию материальные и нематериальные активы, в том числе здания, сооружения, оборудование, инвентарь, сырье, готовая продукция.
Состав передаваемого в ипотеку относящегося к предприятию имущества и оценка его стоимости определяются на основе полной инвентаризации данного имущества. Акт инвентаризации, бухгалтерский баланс и заключение независимого аудитора о составе и стоимости имущества, относящегося к предприятию, являются обязательными приложениями к договору об ипотеке.
Ипотекой предприятия может быть обеспечено обязательство, сумма которого составляет не менее половины стоимости имущества, относящегося к предприятию. Ипотекой предприятия обеспечивается денежное обязательство, подлежащее исполнению не ранее чем через год после заключения договора об ипотеке. В случае, когда договором предусмотрено, что ипотекой предприятия обеспечивается обязательство с менее продолжительным сроком исполнения, право на обращение взыскания на предмет ипотеки по неисполненному или ненадлежащим образом исполненному обязательству возникает у залогодержателя по истечении года с момента заключения договора об ипотеке.
Залогодатель вправе продавать, обменивать, сдавать в лизинг имущество, относящееся к предприятию, переданному в ипотеку, и иным образом распоряжаться указанным имуществом, а также вносить изменения в состав данного имущества, если это не влечет уменьшения указанной в договоре об ипотеке общей стоимости имущества, относящегося к предприятию, а также не нарушает других условий договора об ипотеке.
Без разрешения залогодержателя залогодатель не вправе передавать имущество, относящееся к предприятию, в залог, совершать сделки, направленные на отчуждение недвижимого имущества, относящегося к предприятию, если иное не установлено договором об ипотеке.
В случае непринятия залогодателем предприятия мер по обеспечению сохранности заложенного имущества, неэффективного использования этого имущества, что может привести к уменьшению стоимости предприятия, залогодержатель вправе обратиться в суд с требованием о досрочном выполнении обеспеченного ипотекой обязательства или введении ипотечного контроля за деятельностью залогодателя.
Решением суда залогодержатель в порядке ипотечного контроля может быть уполномочен:
· требовать от залогодателя регулярно представлять бухгалтерские и иные отчетные документы, предварительно согласовывать вопросы, связанные с заключением сделок с относящимся к предприятию имуществом;
· предъявлять в суд иски о признании сделок, заключенных залогодателем, недействительными;
· осуществлять иные права, предусмотренные ипотечным контролем за деятельностью залогодателя.
2.4.3. Ипотека жилых домов и квартир
Ипотека жилых домов и квартир, находящихся в государственной или муниципальной собственности, не допускается. Гостиницы, дома отдыха, дачи, садовые домики и другие строения и помещения, не предназначенные для постоянного проживания, могут быть предметом ипотеки на общих основаниях.
Ипотека жилого дома или квартиры, находящихся в собственности несовершеннолетних граждан, ограниченно дееспособных или недееспособных лиц, над которыми установлены опека или попечительство, осуществляется через их законных представителей.
При предоставлении кредита для сооружения жилого дома договором об ипотеке может быть предусмотрено обеспечение обязательства незавершенным строительством и принадлежащими залогодателю материалами и оборудованием, которые заготовлены для строительства.
Если иное не предусмотрено договором, жилой дом или квартира, приобретенные за счет кредита банка или иной кредитной организации в собственность, считаются находящимися в залоге с момента государственной регистрации договора купли - продажи жилого дома или квартиры.
Обращение залогодержателем взыскания на заложенный жилой дом или квартиру и реализация этого имущества не являются основанием для выселения приобретателем жилого дома или квартиры совместно проживающих в этом помещении залогодателя и членов его семьи, если оно является для них единственным пригодным для постоянного проживания помещением (поэтому российские банки предоставляют ипотечные кредиты только под залог квартир или жилых домов, являющихся не единственным жильем залогодателя и свободных от регистрации).
Между лицом, которое приобрело бывший предметом ипотеки жилой дом или квартиру в результате его реализации, и бывшим собственником жилого дома или квартиры либо кем-либо из проживающих с ним членов его семьи заключается договор найма занимаемого ими жилого помещения. Если соглашение о заключении договора не достигнуто, любая из сторон вправе в судебном порядке потребовать его заключения и определения его условий.
После обращения взыскания на заложенный жилой дом или квартиру и реализации этого имущества залогодатель и проживающие совместно с ним члены его семьи обязаны по требованию собственника жилого дома или квартиры в течение месяца освободить занимаемое помещение при условиях, что:
· жилой дом или квартира был заложен по договору об ипотеке в обеспечение возврата кредита, предоставленного на приобретение или строительство этого жилого дома или квартиры;
· проживающие с залогодателем члены его семьи дали до заключения договора об ипотеке, а если они были вселены в заложенный жилой дом или квартиру позже - до их вселения нотариально удостоверенное обязательство освободить заложенный жилой дом или квартиру в случае обращения на него взыскания.
2.5. Многообразие методов погашения ипотечного кредита
Многообразие методов погашения ипотечного кредита объясняется необходимостью достижения и поддержания баланса интересов ипотечных кредиторов и заемщиков в различных экономических условиях. Наиболее распространенными методами являются следующие:
· Погашение кредита равными срочными уплатами;
· Неполное погашение задолженности равными срочными уплатами с выплатой остатка долга в конце срока;
· Погашение кредита на основе роста ежемесячных платежей в течение определенного периода;
· Погашение кредита на основе постоянного периодического увеличения размера взносов;
· Погашение кредита с предоставлением льготного по платежам периода.
Рассмотрим подробно каждый из заявленных методов.
· Погашение кредита равными срочными уплатами. Платежи. как правило, осуществляются несколько раз в году (р – раз) проценты начисляются также несколько раз в году (m – раз) в конце или в начале периода (месяца, квартала, года). При осуществлении платежей за кредит по этой схеме – это будут, соответственно, ренты постнумерандо и пренумерандо.
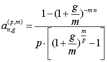
При использовании сложных процентов и ренты постнумерандо в общем виде для определения срочной уплаты (т. е., годовой суммы выплат, включающей часть долга и сумму начисленных за год процентов) можно использовать формулу:

где: D – размер выданной ссуды (кредита);
– коэффициент приведения p-срочной ренты;
g - % ставка за кредит из расчета годовых;
n - срок кредита в годах;
р - число выплат в течение каждого года (например, 12 при ежемесячных выплатах, 4 – при ежеквартальных);
m – количество начислений % в течение каждого года.
Если платежи в счет погашения кредита производятся р - раз в году в конце каждого периода в течение n - лет из расчета g - % годовых, а проценты начисляются m – раз в году, то коэффициент приведения определяется по формуле:
При использовании сложных процентов и ренты пренумерандо (т. е., выплаты по кредиту и начисление процентов будут производиться в начале периодов), в общем виде, для определения срочной уплаты можно использовать формулу:

Размер одной выплаты (R) можно определить по формуле:

где: p – число платежей в течение года.
Общая сумма погашения кредита определяется по формуле:
![]()
|
Из за большого объема этот материал размещен на нескольких страницах:
1 2 3 4 5 6 7 8 9 10 |



