ФИЗИКА.
УРОК: «РАДИОВОЛНЫ И РАДИОСВЯЗЬ»
Предмет: Физика
Тема: Электромагнитное излучение. Излучение и прием электромагнитных волн радио и СВЧ-диапазона. Радиоволны и радиосвязь.
Класс: 11 класс
Педагог: , методист Учебно-методического отдела ООО "Кирилл и Мефодий"
Город: Москва
При подготовке урока учителю необходимо найти как можно больше точек соприкосновения традиционного учебного материала и информационных потоков «КМ-Школы» (Энциклопедии, Медиатеки, электронные учебные пособия и др.), обеспечив их согласование. Это позволит учителю ставить и решать образовательные цели и задачи, соответствующие каждому конкретному предмету и уроку.
В методической разработке урока сочетаются традиционные методы объяснения нового материала с использованием информационного интегрированного продукта «КМ-Школа». Каждый этап урока снабжен методическим комментарием по его проведению.
Урок проводится в кабинете, оборудованном рабочим местом учителя (компьютер учителя, принтер, мультимедиа-проектор и демонстрационный экран), имеющим выход в Интернет.
|
Предмет, раздел, урок, класс |
СЛАЙД 1 Физика. Электромагнитное излучение. Излучение и прием электромагнитных волн радио и СВЧ-диапазона. Радиоволны и радиосвязь. 11 класс, общеобразовательный (базовый уровень). | |||||||||||||||||||||||||||||||||||||||||||||||||||||||||||||||||||||||||||||||||||||||
|
Цель: |
СЛАЙД 2 Изучить: · принцип радиосвязи; · основные элементы и виды радиосвязи; · применение радиолокации в современном обществе; | |||||||||||||||||||||||||||||||||||||||||||||||||||||||||||||||||||||||||||||||||||||||
|
Оборудование: |
компьютер учителя, принтер, мультимедиа проектор и демонстрационным экран.
| |||||||||||||||||||||||||||||||||||||||||||||||||||||||||||||||||||||||||||||||||||||||
|
Средства обучения |
"Физика. 11 класс", ИПП «КМ-Школа»: энциклопедия, Медиатека по физике.
| |||||||||||||||||||||||||||||||||||||||||||||||||||||||||||||||||||||||||||||||||||||||
|
Этапы урока |
Деятельность учителя и учеников | |||||||||||||||||||||||||||||||||||||||||||||||||||||||||||||||||||||||||||||||||||||||
|
Этап №1. Организационный
|
На данном этапе предусматривается быстрое включение учащихся в деловой ритм урока и полная готовность необходимого оборудования. Тема, цель и план урока, размещены на слайдах, последовательно демонстрируются на экране, сопровождаются необходимым мотивирующим комментарием учителя и записываются учениками в тетрадях. | |||||||||||||||||||||||||||||||||||||||||||||||||||||||||||||||||||||||||||||||||||||||
|
Этап №2. Входной контроль знаний: проверка домашнего задания
|
Данный этап необходим для актуализации базовых знаний учащихся с целью продуктивного восприятия ими нового материала. Устанавливается правильность и осознанность выполненной домашней работы, выявление пробелов и их коррекция. 1) Учитель: "На прошлом уроке мы с вами рассмотрели спектр электромагнитных волн и выяснили, что общий диапазон их частот, фиксируемых современными приборами, лежит в интервале от 0 до 3*1022 Гц. Мы узнали, что, внутри общего диапазона, спектр электромагнитных волн условно делят еще на 8 диапазонов, в зависимости от длины волны и в каждом из этих диапазонов - свой основной источник излучения. Дома вы изучили § 51 учебника и подготовили (устно) ответы на вопросы к этому параграфу". 2) Фронтальный опрос по вопросам § 51. 3) Входное тестирование (СЛАЙДЫ 3 – 6). Примечание: На данном этапе урока можно провести либо опрос, либо тестирование, либо то и другое. Форма работы учеников с тестом, вид и количество тестовых заданий, их содержание, время тестирования выбирается учителем | |||||||||||||||||||||||||||||||||||||||||||||||||||||||||||||||||||||||||||||||||||||||
|
Дополнительно. Для классов (групп) с углубленным изучением предмета может быть предусмотрена дополнительная проверка знаний терминов. На демонстрационном экране представлен кроссворд, например, "Колебательный контур" (учитель составляет кроссворд в соответствии с требованиями своего плана). Ученикам предлагается решить его. Ученики разгадывают кроссворд каждый в своем темпе, делая записи в тетради. Затем во фронтальном режиме проверяется правильность ответов. Примечание. Кроссворд учитель может создать самостоятельно как объект (рисунок) и разместить на слайде как “сторонний объект” Кроссворд «Колебательный контур»
| ||||||||||||||||||||||||||||||||||||||||||||||||||||||||||||||||||||||||||||||||||||||||
|
Этап №3.Изучение нового материала (начало) |
Учитель: “В информационном обществе постоянно происходят процессы обмена информацией между людьми, и радиосвязь является важнейшим звеном в этом обмене. СЛАЙД 7 Вопросы к классу: 1) "Перечислите известные вам средства радиосвязи и их основные функции" (ответы учеников). 2) "Назовите общий принцип, на котором построено функционирование телевизора, радио, мобильного телефона, радиотелефона и т. п.?" (Ответы учеников.) Комментируя ответы учеников, учитель подводит их к определению радиосвязи. Далее, учитель, используя компьютер и мультимедиа проектор, сопровождает объяснение новой темы демонстрационным материалом, размещенным на слайдах данного блока. По ходу объяснения, учителем ставятся вопросы, подводящие учеников к формулировкам основных понятий нового материала. Основные понятия акцентируются и записываются учениками в тетрадь. | |||||||||||||||||||||||||||||||||||||||||||||||||||||||||||||||||||||||||||||||||||||||
|
СЛАЙД 8
Радиосвязь - это передача и прием информации с помощью радиоволн, распространяющихся в пространстве без использования проводов. | ||||||||||||||||||||||||||||||||||||||||||||||||||||||||||||||||||||||||||||||||||||||||
|
СЛАЙД 9 , российский физик и электротехник. 7 мая 1895 впервые продемонстрировал радиосвязь, используя созданные им радиопередающие устройства. Этот день отмечается в России как День радио.
| ||||||||||||||||||||||||||||||||||||||||||||||||||||||||||||||||||||||||||||||||||||||||
|
СЛАЙД 10 Передатчик Попова Приемник Попова Структурные схемы простейших приемопередающих устройств А. С Попова представлены на данных иллюстрациях. Радиопередатчик излучает радиоволны, переносящие необходимую кодированную информацию Радиоприемник улавливает и декодирует излучаемый передатчиком сигнал. | ||||||||||||||||||||||||||||||||||||||||||||||||||||||||||||||||||||||||||||||||||||||||
|
СЛАЙД 11 По способу кодирования (модуляции) передаваемого сигнала различают четыре вида радиосвязи:
Несущей частотой называется средняя частота передаваемого сигнала. В представленной таблице для каждого вида радиосвязи приведены следующие характеристики: · способ кодирования сигнала · диапазон несущих частот · ( "Физика”, 11 класс) | ||||||||||||||||||||||||||||||||||||||||||||||||||||||||||||||||||||||||||||||||||||||||
|
СЛАЙД 12 Структурная схема современной радиосвязи имеет вид:
| ||||||||||||||||||||||||||||||||||||||||||||||||||||||||||||||||||||||||||||||||||||||||
|
СЛАЙД 13 Радиолокация - процесс обнаружения и наблюдения за различными объектами, осуществляемый радиолокационными станциями (радиолокаторами).
| ||||||||||||||||||||||||||||||||||||||||||||||||||||||||||||||||||||||||||||||||||||||||
|
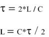
СЛАЙД 14 Формулы радиолокации
Формулы радиолокации связывают два параметра t и L, где: t время распространения электромагнитного импульса от радиолокатора к объекту и обратно. L - расстояние от радиолокатора до объекта.
| ||||||||||||||||||||||||||||||||||||||||||||||||||||||||||||||||||||||||||||||||||||||||
|
Детектирование - это преобразование электромагнитных колебаний, в результате которого обычно получаются колебания другой (как правило, более низкой) частоты. Детектор - это устройство, реализующее процесс детектирования Демодуляция - это выделение модулирующего низкочастотного сигнала из высокочастотных колебаний. | ||||||||||||||||||||||||||||||||||||||||||||||||||||||||||||||||||||||||||||||||||||||||
|
СЛАЙД 16 Дополнительное самостоятельное задание может быть следующим.
Даны две схемы, каждая из которых может быть использована для детектирования сигнала в детекторном приемнике. В каждой схеме есть колебательный контур (Lk - Ck) и диод D, выпрямляющий амплитудно-модулированный сигнал несущей частоты. Надо начертить в тетради представленные схемы, проанализировать их работу, дать ответ на вопрос: в чем отличие работы данных схем. | ||||||||||||||||||||||||||||||||||||||||||||||||||||||||||||||||||||||||||||||||||||||||
|
Этап № 4. Закрепление полученных знаний |
Вариант I
С целью установления правильности и осознанности усвоения учащимися нового учебного материала и последующего его закрепления, проводится фронтальная работа класса по вопросам, представленным на СЛАЙДЕ №16 В ходе работы используются: §52 учебника, рабочие тетради, демонстрационные слайды объяснения. Учитель обращается к разным ученикам (сильным, средним и слабым) с требованием дать развернутый ответ на поставленный вопрос, повторить основные формулировки, уточнить, привести примеры. Если у того или иного ученика обнаруживается непонимание, то учитель тут же добивается усвоения трудного материала, привлекая к этому сильных учащихся. Такая работа с классом позволяет ученикам осознанно усваивать новые знания, избегая типичных ошибок и неверных представлений. СЛАЙД 17 Вопросы: 1. Какой вид передачи и приема информации называют радиосвязью? 2. Кого вы считаете основоположником радиосвязи. 3. Основные структурные элементы радиосвязи. 4. Перечислить виды радиосвязи; чем они отличаются друг от друга с точки зрения передаваемого сигнала? 5. Охарактеризовать тип кодирования сигнала и частотный диапазон при различных видах радиосвязи. 6. Радиолокация и ее использование в современном мире. 7. В каких случаях беспроводная связь между объектами является единственно возможной? | |||||||||||||||||||||||||||||||||||||||||||||||||||||||||||||||||||||||||||||||||||||||
|
Вариант II С целью установления правильности и осознанности усвоения учащимися нового учебного материала и последующего его закрепления, проводится фронтальная работа класса по вопросам теста. В ходе работы учениками используются: рабочие тетради, слайды теста на демонстрационном экране. Правильный ответ заносится в тест учителем или учеником, выбранным учителем в качестве ассистента. Примечание: форма работы учеников с тестом, вид и количество тестовых заданий, их содержание, время тестирования выбирается учителем. Пример тестовых заданий приводится в электронном варианте урока в «КМ-Школе» (СЛАЙДЫ 18–22). | ||||||||||||||||||||||||||||||||||||||||||||||||||||||||||||||||||||||||||||||||||||||||
|
Этап №5. Подведение итогов урока |
1. Обобщающее и завершающее выступление учителя: · дается анализ и оценка успешности достижения цели урока; · намечается перспектива последующей работы. 2. Объявление оценок, полученных учащимися за ответы на вопросы по домашней работе. 3. Объявление оценок учащимся, активно участвовавшим в закреплении нового материала. 4. Выдача домашнего задания: учитель зачитывает список групп учащихся и каждой группе дает тему для сообщения на следующем уроке. Количество групп, их состав, темы сообщений и их объем определяются учителем. СЛАЙД 23 Домашнее задание 1. Выучить §52 учебника и знать ответы на вопросы к этому параграфу (стр.205). 2. Подготовить сообщения по темам: Группа №1. "Опыты Герца” Группа №2. " и его открытия в области радиосвязи". Группа №3. "Эволюция радиосвязи от устройств до наших дней" Группа №4. "Роль радиосвязи в современном мире". |







диапазон длин волн
Радиолокаторы используют в военном деле, навигации (морской, воздушной и космической), метеорологии, 
СЛАЙД 15 
