Реферат - это самостоятельная научно-исследовательская работа студента, где автор раскрывает суть исследуемой проблемы; приводит различные точки зрения, а также собственные взгляды на нее. Содержание материала должно быть логичным, изложение материала носит проблемно-поисковый характер. Следует отметить, что самостоятельный выбор студентом темы реферата или направления исследования только приветствуется. Прежде чем выбрать тему реферата, автору необходимо выяснить свой интерес, определить, над какой проблемой он хотел бы поработать, более глубоко ее изучить и получить консультацию преподавателя.
Темы рефератов:
Структура математических методов, используемых в экономике Возможности использования числовых последовательностей в экономике Сравнительный анализ возможностей использования функций и графиков в экономике Возможности использования дифференциального исчисления в экономике на конкретном примере Принципы решения экономических задач с применением методов линейного программирования Возможности использования математических методов при планировании товарных запасов на конкретном примере Математические подходы к планированию рыночной деятельности в условиях неопределенности Возможности решения экономических задач с применением методов линейного программирования Самодиагностика рационального уровня запасов Анализ структуры факторов, предопределяющих неопределенность деятельности фирмы Особенности решения многошаговых задач оптимизации Задача о кратчайшем маршруте Задача об оптимальном распределении инвестиций Задача о загрузке рюкзака Задача о замене оборудования Экономико-математическая постановка задач массового обслуживания Антагонистические игры Прогнозирование экономических процессов Трендовые модели Моделирование случайных величин методом Монте-Карло Имитационное моделирование с применением функций ППП EXCEL Примеры задач динамического программирования, их особенности и геометрическая интерпретация Задача о распределении ресурсов Динамическое программирование на ориентированных графах Динамическое программирование в задачах сетевого планирования Элементы теории игр в задачах моделирования экономических ситуаций Математические подходы к управлению запасами на предприятии Решение задачи об обосновании срока возврата инвестиций (на примере) Распределение экономических ресурсов предприятия с использованием метода ветвей и границ Использование инструментов сетевого анализа при решении экономических задач10.Фонд оценочных средств для проведения промежуточной аттестации по итогам освоения дисциплины (модуля).
10.1 Перечень компетенций с указанием этапов их формирования в процессе освоения образовательной программы (выдержка из матрицы компетенций):
Таблица 6
Циклы, дисциплины (модули) учебного плана ОП | |
1-2 семестр | |
Индекс компетенции | Высшая математика |
Общекультурные, общепрофессиональные компетенции | |
ОК-3 | Высшая математика Вводный курс математики Информационные технологии в образовании Теория вероятностей и математическая статистика Использование современных информационных и коммуникационных технологий в учебном процессе |
10.2 Описание показателей и критериев оценивания компетенций на различных этапах их формирования, описание шкал оценивания:
Таблица 7
Карта критериев оценивания компетенций
Код компетенции | Критерии в соответствии с уровнем освоения ОП | Виды занятий | Оценочные средства | ||
пороговый (удовл.) 61-75 баллов | базовый (хор.) 76-90 баллов | повышенный (отл.) 91-100 баллов | |||
ОК-3 | Знает:
| Знает:
| Знает:
| лекции, практические занятия | Тест Контрольная работа Реферат Практические задания |
Умеет:
| Умеет:
| Умеет:
| практические занятия | Реферат Практические задания | |
Владеет:
| Владеет:
| Владеет:
| практические занятия | Реферат Практические задания | |
ОК-3 | Знает:
| Знает:
| Знает:
| лекции, практические занятия | Тест Контрольная работа Реферат Практические задания |
Умеет:
| Умеет:
| Умеет:
| практические занятия | Реферат Практические задания | |
Владеет:
| Владеет:
| Владеет:
| практические занятия | Реферат Практические задания |
10.3 Типовые контрольные задания или иные материалы, необходимые для оценки знаний, умений, навыков и (или) опыта деятельности, характеризующей этапы формирования компетенций в процессе освоения образовательной программы.
Примерные контрольные работы:
тема «Использование понятия производной в экономике»
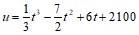
Задача 1. Объем производства зимней обуви u, выпускаемой некоторой фирмой, может быть описан уравнением
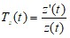
), где t - календарный месяц года. Вычислить производительность труда z(t)=u'(t), скорость z'(t) и темп
изменения производительности в начале года (t=0); в середине года (t=6); в конце года (t=12).
Задача 2. Зависимость между спросом D и ценой Р за единицу продукции, выпускаемой некоторым предприятием, дается соотношением
. Найти эластичность спроса. Выяснить, при каких значениях цены спрос является эластичным, нейтральным и неэластичным.
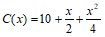
Задача 3. Найти максимальную прибыль, которую может получить фирма-производитель, при условии, что весь товар реализуется по фиксированной цене за единицу Р=10,5 и известен вид функции издержек
.
Задача 4. Зависимость между издержками производства y и объёмом выпускаемой продукции x выражается функцией
(ден. ед.). Определить средние и предельные издержки при объёме продукции х=10 ед.
тема «Использование понятия интеграла в экономике»
Задача 1. Найти объем продукции, выпущенной предприятием за год (258 рабочих дней), если ежедневная производительность этого предприятия задана функцией
, где 1≤t≤8, t – время в часах.
|
Из за большого объема этот материал размещен на нескольких страницах:
1 2 3 4 |



