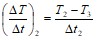
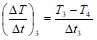
(Т1 - Т2), (Т2 - Т3) и т. д. для интервалов времени Дt1, Дt2 , Дt3 и т. д., на которые разбита ось абсцисс вертикальными линиям Дt1=Дt2=Дt3=1.
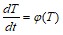
Отношения
;
;
(5)
и т. д. характеризуют скорость охлаждения в данной точке кривой и, следовательно, скорость охлаждения, соответствующую некоторой температуре. Числовые значения, полученные по формуле (5), вносят в таблицу записи результатов и строят график зависимости
для образцов, откладывая по оси абсцисс значения температуры Т, по оси ординат значения
первого графика.
300, 400, 5000С. Для этого в формулу (4) подставляют значения
для каждого образца при этих температурах. За эталон принимается образец из меди для которой зависимость от температуры сдана в таблицы 1.
Теплоёмкость меда в различных температурах
Температура ° С | 0 | 100 | 200 | 300 | 400 | 500 | 600 |
Теплоёмкость кал/ г град | 0,0910 | 0,0940 | 0,0975 | 0,1008 | 0,1038 | 0,1070 | 0,1090 |
Массы m1, m2 ,m3 образцов определяют взвешиванием.
Все полученные опытом и вычислением результаты вносят в таблицу.
№ | t через каждые 10 с | ТCu | TFe | TAl |
|
|
| СFe | СAl |
T1 | T2 | T | T1 | T2 | T | T1 | T2 | T | |
Контрольные вопросы
Что такое теплоёмкость? Как определяется теплоемкость металлов? Какие методы в знаете для определения теплоёмкость материалов?
ЛАБОРАТОРНАЯ РАБОТА № 5
ОПРЕДЕЛЕНИЕ ТЕМПЕРАТУРНОГО КОЭФФИЦИЕНТА ЛИНЕЙНОГО РАСШИРЕНИЕ ТВЕРДЫХ ТЕЛ
Цель работы: изучение и определение коэффициента линейного расширения твердых тел во время нагревания.
Приборы и принадлежности: образцы твердых тел, амперметр, милливольтметр, ЛАТР, термопара, микрометр.
Теоретическая часть
Если нагревать телу он расширяется по всем направлениям. Существует следующая зависимость между величинами, характеризующими тепловое расширения твердых тел,
![]()
где r, r0 – расстояния между колеблющимися частицами, l – длина тела, Дl - приращение длины, Т - температура, б - коэффициент линейного расширения; б –коэффициент линейного расширения. Имеет различную величину для различных интервалов температур, поэтому берут коэффициент линейного расширения.
Средним ккоэффициент линейного расширения называется физическая величина, численно равная среднему удлинению каждой единицы первоначальной длины l0 при нагревании на 10С в рассматриваемом интервале температур Дt:
![]()
Величина
- среднее удлинение при нагревании на 10С в интерале Дt. Величина
- относительное удлинение, происходящее при нагревании 10С.
Длина нагретого твердого тела равна: ![]()
Порядок выполнения работы

Собрать схему рис.1.
графит; электропечь; микрометр; милливольтметр Образец отпускается в печь. При этом образец должно полностью оказался внутри него. После проверки соединения установки, он включаются к источнику питания. Образец нагревается до температуры 500 – 600 0С. Отключается схема от источника питания. Измеряется расширение образца с микрометром. С помощью милливольтметра определяется температура образца до и после нагрева. На основе полученных данных заполняется таблица.
№ | ℓt (mm) | t, (0C) |
( град -1) | Д ( град -1) | е (%) |
1 | |||||
2 | |||||
3 | |||||
Ср. з. |
Контрольные вопросы.
Что такое коэффициента линейного расширения? Чем обусловлена расширения твердых тел при нагревание? Каким величинами характеризуется расширения твердых тел?
ЛАБОРАТОРНАЯ РАБОТА № 6
ТЕПЛООБМЕН ИЗЛУЧЕНИЕМ МЕЖДУ ТЕЛАМИ
Цель работы: освоить методику расчетов при теплообмене излучением.
Приборы и принадлежности: Муфельная трубчатая печь, металлическая труба, термометр, мерный стакан, секундомер.
Теоретическая часть
Передача тепла излучением осуществляется по средством электромагнитных волн определенной длины. Любому телу свойственно тепловое излучение, при условии, что его температура отлична т абсолютного нуля. Зависимость интенсивности теплового излучения от температуры выражается законом Стефана-Больцмана. Закон Стефана-Больцмана гласит: излучательная способность абсолютно черного тела прямо пропорциональна четвертой степени его абсолютной температуры. Закон Стефана-Больцмана обычно записывают в форме:
;
где: СS – коэффициент лучеиспускания абсолютно черного тела, равный 4,9 ккал/м2 час К4; Т– абсолютная температура, К.
Величину, характеризующую излучательную способность серого тела по отношению к излучательной способности абсолютно черного тела, называют степенью черноты. Степень черноты ε - может быть определена как отношение излучения серого тела Е к излучению абсолютно черного тела ЕS при определенной температуре:
или
;
Тогда:
;
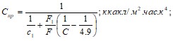
где: С – коэффициент лучеиспускания серого тела, равный: С = ε СS.
Величина С не является постоянной и зависит от температуры, физических свойств и состояния поверхности тела.
При теплообмене между двумя серыми поверхностями на интенсивность лучистого теплообмена оказывает влияния их расположение относительно друг друга. Влияние этого фактора называется угловым коэффициентом. Угловой коэффициент показывает, какая часть всей излучаемой энергии одного тела попадает на другое.
Суммарный лучистый поток при теплообмене излучением между серыми телами пропорционален разности четвертых степеней абсолютных температур этих тел и рассчитывается по формуле:

где: Спр – приведенный коэффициент излучения.
Для случая двух коаксиальных цилиндров Спр рассчитывается по формуле:

где: F1 – площадь поверхности первого тела;
F2 – площадь поверхности второго тела4
С1 = 4,9 ε1 – коэффициент излучения первого тела;
С2 = 4,9 ε2 - коэффициент излучения второго тела;
ε1 – степень черноты первого тела;
ε2 - степень черноты второго тела.
Описания прибора в метод измерения

Рис.1. Установка для исследования теплообмена излучением. 1. Муфельная печь; 2. Металлическая печь; 3.Металлическая труба; 4. Мерный стакан; 5. Стакан; 6. Воронка.
Количество тепла, переданное воде, будет равно:
![]()
где: c – удельная теплоемкость воды;
m – количество воды;
t2 и t1 – температура воды на входе и выходе трубы.
Это же количество тепла передается излучением от поверхности муфеля к поверхности трубы. 
Поэтому можно приравнять: ![]()
|
Из за большого объема этот материал размещен на нескольких страницах:
1 2 3 4 5 6 |



