Величина расхода электроэнергии, млн кВт⋅ч, на отпуск теплоэнергии зависит от вида топлива, начальных параметров и характера тепловой нагрузки (паровой или водяной) и составляет
Эснт = этсн Qотп, (В.5)
где этсн – удельный расход электроэнергии на отпуск теплоэнергии, который в среднем составляет:
– для газомазутных станций – от 16 до 35 кВт. ч/Гкал;
– для твердотопливных – от 23 до 41 кВт. ч/Гкал.
В.9 Выработка тепловой энергии за период Н, Гкал, (отопительный, межотопительный) может определяться:
а) для паровых котлов (в сумме для оборудования с одинаковыми начальными параметрами пара)
, (В.6)
б) для газовых двигателей
(В.7)
где Qнр = 7 – низшая теплота сгорания условного топлива, Гкал/т у. т.;
В – расход топлива газовым двигателем, тыс. т у. т., определенный по формуле (В.11).
Для водогрейных котлов Qкбр = Qвыр.
В.10 Расчет расходов топлива и удельных показателей производится одинаково для всех рассматриваемых периодов (отопительного, межотопительного, годового) путем подстановки данных соответствующего периода, рассчитанных ранее.
а) Расход топлива паровыми и водогрейными котлами, тыс. т у. т., за период может быть определен на основании предыдущих расчетов по формуле
, (В.8)
где 7 – низшая теплотворная способность условного рабочего топлива, Гкал/т;
зкбр – КПД котлов брутто, % (принимается по отчетным или справочным данным);
Qкф – внесенная в котлоагрегат теплота с воздухом, подогретым в калориферах, тыс. Гкал,
Qкф = бвп. Вн V0 с cр (tвых – tвх)10-3, (В.9)
бвп – коэффициент избытка воздуха на входе в воздухоподогреватель. Принимается по справочным данным. При отсутствии данных можно принять 1,2;
Вн = 1,37.ВПК (ВК) – расход мазута, т натурального топлива, за отчетный период. В случае использования мазута в качестве резервного топлива принимается равным 5 % от суммарного расхода топлива на теплоисточнике;
1,37 – калорийный эквивалент для перевода мазута в условное топливо.
V0, с – соответственно теоретически необходимый объем воздуха для сжигания мазута при 0 оС, м3/кг, и плотность воздуха при 0 оС, кг/м3. Принимается по справочным данным 10,45 . 1,293 = 11,74 кг/кг;
cр – теплоемкость воздуха, ккал/(кг. оС), при средней температуре tвых= 50 оС принимается 0,24 ккал/(кг. оС);
tвых, tвх – соответственно температура воздуха на выходе и входе в калорифер, оС. Принимается по фактическим данным. При отсутствии данных можно принять 70 оС и 30 оС соответственно;
Qт – теплота, внесенная с подогретым топливом, тыс. Гкал
Qт = Вн cт tт.10-3, (В.10)
ст – средняя теплоемкость топлива, ккал/(кг. оС), для мазута можно принимать 0,5 ккал/(кг. оС);
tт – температура топлива, вносимого в топку, оС. Для мазута при отсутствии данных можно принимать 125 оС.
б) Для теплоисточников с газовыми турбинами, в том числе в составе блока ПГУ, и газопоршневыми агрегатами расход топлива, тыс. т у. т., определяется по формуле
, (В.11)
где зГД – КПД газового двигателя по данным завода-изготовителя, %.
в) Суммарный расход топлива на теплоисточнике Bсум, тыс. т у. т., находится как сумма расхода топлива на паровые, водогрейные котлы и газовые двигатели.
В.11 Определение удельных расходов топлива на отпуск тепловой и электрической энергии
В настоящее время действует следующая методика распределения сожженного топлива: на выработку теплоты относится количество топлива, эквивалентное полной отдаче теплоты внешним потребителям, а на выработку электроэнергии – топливо, эквивалентное выработке электроэнергии, отдаваемой внешним потребителям, и теплоте, теряемой в конденсаторе турбин при их наличии на теплоисточнике.
Расходы теплоты и электроэнергии на собственные нужды ТЭЦ и потери теплоты в цикле станции распределяются пропорционально расходам теплоты (топлива) на теплофикацию и выработку электроэнергии следующим образом:
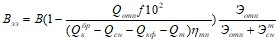
а) расход топлива, относимый к отпуску электроэнергии Вээ, тыс. т у. т, находится для каждой электрогенерирующей установки или теплоисточника в целом по формуле
, (В.12)
где В – расход топлива на установку или теплоисточник, тыс. т у. т.;
Qотп – отпуск тепловой энергии от установки или теплоисточника, тыс. Гкал;
Qсн – расход теплоты на собственные нужды установки или теплоисточника, тыс. Гкал;
f – коэффициент, учитывающий потери с отпуском теплоты, принимается равным 1,015;
ηтп – коэффициент теплового потока, принимается 98 %;
б) расход топлива на отпуск тепловой энергии от установки или теплоисточника, тыс. т у. т.
Втэ = В – Вээ, (В.13)
в) удельный расход топлива на отпуск теплоты от установки или теплоисточника, кг у. т./Гкал, составит
, (В.14)
При расчете удельного расхода топлива на отпуск теплоты от теплоисточника в целом
Втэ = Σ Втэi +ВВК,
где Втэi – расход топлива на отпуск теплоты от каждой установки, тыс. т у. т.;
ВВ – расход топлива на водогрейные котлы, тыс. т у. т;
г) удельный расход топлива на отпуск электроэнергии от установки или теплоисточника, г у. т./(кВт⋅ч)
, (В.15)
При расчете удельного расхода топлива на отпуск электроэнергии от теплоисточника в целом
Вээ = Σ Вээi,
где Вээi – расход топлива на отпуск электроэнергии от каждой установки, тыс. т у. т.
В.12 При рассмотрении варианта подключения к ТЭЦ нового объекта, тепловая нагрузка которого не превышает 3 % от его суммарной тепловой нагрузки, расчет пароводяного баланса этого теплоисточника допускается не выполнять.
При этом анализ изменения работы ТЭЦ может быть проведен по изменению его годовых технико-экономических показателей следующим образом:
а) принимается, что отпуск тепловой энергии на теплоснабжение нового объекта от ТЭЦ в летнем и среднем за отопительный период режиме (режимы 4, 5, 6), осуществляется из отборов турбин, установленных на ТЭЦ;
б) годовое увеличение отпуска тепловой энергии от турбин ТЭЦ, тыс. Гкал, составит
QТЭЦдоп= Qотп4.Нот + Qотп5 (8400-Нот), (В.16)
в) увеличение годовой выработки электроэнергии на ТЭЦ за счет подключения новой нагрузки, млн кВт. ч, определится по формуле
Эвырдоп= QТЭЦдоп. WТ-отб, (В.17)
где W – фактическая удельная выработка электроэнергии на тепловом потреблении из теплофикационного отбора турбин ТЭЦ, МВт·ч/Гкал;
г) изменение расхода топлива на ТЭЦ за счет увеличения отпуска тепловой и электрической энергии, тыс. т у. т., определится по формуле
Вдоп = (Эвыр вээ + Qотп втэ)/1000, (В.18)
где вээ, втэ – фактические удельные расходы топлива на выработку электроэнергии по теплофикационному циклу, г у. т./(кВт·ч), и на отпуск тепловой энергии, кг у. т./Гкал.
Приложение Г
(справочное)
Расчет технико-экономического обоснования строительства
локального теплоисточника
При рассмотрении вариантов теплоснабжения жилых районов с тепловой нагрузкой более 10 Гкал/ч расчет финансовой эффективности должен выполняться в соответствии ТКП‑45‑1.02‑298, в остальных случаях расчет может на основании [11] выполняться упрощенно следующим образом.
Г.1 По рассматриваемому варианту i в соответствии с приложением В определяются годовые технико-экономические показатели работы теплоисточника:
- отпуск тепла, Qотпi, Гкал;
- выработка электроэнергии, Эвырi, млн кВт∙ч;
- отпуск электроэнергии, Эотпi, млн кВт∙ч;
- расход электроэнергии на собственные нужды, Эснi, млн кВт∙ч;
- расход топлива, Bi, т у. т.
Г.2 Капиталовложения по вариантам в оборудование Кли, тыс. руб., определяются по объектам –аналогам, в создание инженерной инфраструктуры Кинфр, тыс. руб., можно определить по удельным капвложениям, приведенным в приложении Е. При этом суммарные капвложения по варианту i за 15 лет (срок службы индивидуальных теплогенераторов) составят Ксумi, тыс. долл. США
Ксумi= Кли + Кинфр. (Г.1)
Г.3 Дополнительно необходимо учесть постоянные издержки, связанные с поддержанием оборудования в работоспособном состоянии, которые можно оценить как 5-10 % от первоначальных капитальных затрат Кпиi, тыс. долл. США
Кпиi= 5% . Ксумi. (Г.2)
Г.3 Так как по разным вариантам отпуск электроэнергии различный, для сопоставимости варианты должны быть уравнены по данному показателю. Для этого определяется максимальный отпуск электроэнергии по вариантам Эотпmax и принимается, что электроэнергия, недовыработанная по варианту i по сравнению с Эотпmax, будет выработана на замещающей станции в энергосистеме Эзамi, млн кВт∙ч:
Эзамi = Эотпmax – Эотпi. (Г.3)
Г.4 Определяется расход топлива, необходимый для выработки Эзамi с учетом потерь в электрических сетях, Взамi, т у. т.:
Взамi = Эзамi. kпот. bээ.10-6, (Г.4)
где kпот – коэффициент, учитывающий потери в электрических сетях;
bээ – удельный расход топлива на отпуск электроэнергии принимается равным фактическому расходу топлива на замыкающей станции в энергосистеме. Данные по замещающей КЭС и ее bээ необходимо получать в ГПО «Белэнерго».
Г.5 Общий расход топлива по варианту i Всумi, т у. т., составит
|
Из за большого объема этот материал размещен на нескольких страницах:
1 2 3 4 5 6 7 8 9 10 11 12 |



