- оценку финансовой устойчивости в части формирования запасов и затрат;
- определение типа финансовой устойчивости.
Содержание и последовательность выполнения заданий
1. Записать номер практической работы, тему и цель работы.
2.Решить задачу
3.Сделать вывод по работе.
4.Подготовиться к устному ответу на контрольные вопросы.
Задача
Выполнить финансовую диагностику предприятия по данным таблицы. Оценить финансовую устойчивость предприятия.
Исходные данные:
Наименование показателя | на 01.01.2009 | на 01.04.2009 | на 01.07.2009 |
Собственный капитал, ден. ед. | 41121245 | 38122732 | 38765576 |
Долгосрочные обязательства, ден. ед. | 0 | 0 | 0 |
Текущие обязательства, ден. ед. | 12977657 | 14746046 | 15141807 |
Необоротные активы, ден. ед. | 47592033 | 47581413 | 41550334 |
Производст- | 317871 | 319616 | 346366 |
Незавершен- | 219979 | 220958 | 306443 |
Авансы поставщикам, ден. ед. | 316226 | 314456 | 359035 |
Контрольные вопросы
Что представляет собой финансовая устойчивость предприятия? От каких показателей зависит финансовая устойчивость предприятия? Почему оценка финансовой устойчивости является важной задачей? Какие задачи финансовой устойчивости вам известны?
Рекомендуемая литература
Скляренко предприятия (в схемах, таблицах, расчетах). - М.: Инфро - М, , Веретенникова организаций (предприятий): учеб. / под ред. . – 3-е изд., перераб. и доп. – М., 2007.Практическое занятие № 9
по теме 3.1. Кадры предприятия и производительность труда
Тема практической работы:
«Планирование численности работников организации».
Цель практической работы:
- закрепить и конкретизировать знания студентов в области планирования численности работников развитие общих компетенций по организации собственной деятельности, выбору типовых методов и способов выполнения профессиональных задач, оценке их эффективности и качества воспитание ответственности за результат выполнения заданий.
Общие теоретические сведения
Явочное количество работников – это необходимое для выполнения производственной программы количество работников.
Списочное количество работников – это число работников, принятое на предприятии и входящее в кадровый список (с учетом лиц, находящихся в командировках, отпусках, выполняющих государственные или общественные обязанности, отсутствующих по болезни и т. д.).
Количество рабочих рассчитывается по списочному и явочному количеству, работников всех остальных категорий – только по списочному.
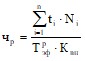
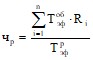
Численность рабочих определяется тремя методами:
По нормам времени:
ti – трудоемкость изготовления i-го изделия в нормо-часах.
Ni – количество i-ых изделий по плану.
- эффективный фонд времени одного рабочего.
Квн – коэффициент выполнения норм.
По штатным рабочим местам:
- эффективный фонд времени оборудования.
Ri – численность рабочих мест по обслуживанию i-го вида оборудования.
По нормам обслуживания:![]()
Но – норма обслуживания - количество агрегатов, которое может обслужить один человек.
S – количество смен.
Численность руководителей и специалистов рассчитывается на основе плановой численности рабочих и принятых норм управляемости. Численность специалистов и служащих определяется на основе штатного расписания.
Численность МОП определяется на основе норм обслуживания. Численность учеников определяется в соответствии с планом подготовки кадров. Численность охраны определяется в зависимости от охраняемой территории, количества постов, сменности работы, криминальной обстановки.
Общая численность ППП определяется как сумма численности всех категорий работников.
Содержание и последовательность выполнения заданий
1. Записать номер практической работы, тему и цель работы.
2.Решить задачу № 1
3. Решить задачу № 2
5.Сделать вывод по работе.
6.Подготовиться к устному ответу на контрольные вопросы.
Задача 1. Структура работников предприятия
Категория работников | Численность, чел. | Удельный вес, % | В % к производственным рабочим |
Производственные рабочие | |||
Вспомогательные рабочие | |||
Работники управления цехом | |||
Работники управления предприятием | |||
Всего: | 100 |
Задача 2. Предприятию установлена годовая производственная программа с нормативной трудоемкостью 280 000 нормо-часов, в том числе по цехам: цех № 1 – 80 000 нормо-часов, цех № 2 – 75 000 нормо-часов, цех № 3 – 58 000 нормо-часов, цех № 4 – 67 000 нормо-часов. Потери рабочего времени в среднем по предприятию (из-за болезней и сокращения длительности рабочего дня) составляют 5%. Нормы выполняются в среднем – по цеху № 1 на 114%; по цеху № 2 – на 118%, по цеху № 3 – на 116%, по цеху № 4 – на 112%. Режим работы предприятия двухсменный.
Определить численность рабочих в смену по цехам и в целом по предприятию.
Контрольные вопросы
Что такое персонал предприятия? На какие группы подразделяется промышленно-производственный персонал Суть планирования кадров и их подбор Что такое явочное количество работников? Что такое списочное количество работников?
Рекомендуемая литература
Грузинов предприятия. – М., 2002. Скляренко предприятия (в схемах, таблицах, расчетах). - М.: Инфро - М, 2008. - 256 с.Практическое занятие № 10
по теме 3.1. Кадры предприятия и производительность труда
Тема практической работы:
«Планирование производительности труда. Методика расчета».
Цель практической работы:
- закрепить и конкретизировать знания студентов в области планирования производительности труда развитие общих компетенций по организации собственной деятельности, выбору типовых методов и способов выполнения профессиональных задач, оценке их эффективности и качества воспитание ответственности за результат выполнения заданий.
Общие теоретические сведения
Эффективность использования трудовых ресурсов предприятия характеризует производительность труда, которая определяется количеством продукции, произведенной в единицу рабочего времени, или затратами труда на единицу произведенной продукции или выполненной работы.
Выработка измеряется количеством продукции, произведенной в единицу рабочего времени или приходящейся на одного среднесписочного работника или рабочего в год, (квартал, месяц), и определяется по формуле
![]()
где ВП - количество произведенной продукции или выполненной работы в
натуральных или условно-натуральных единицах измерения;
Чсп – среднесписочная численность работающих, чел.
Дневная производительность труда — это количество продукции произведенной одним работником за день (смену), за определенный период (год, месяц)
Пр. труда (дневная) = Q / ч Ч Д, (26)
где Д — среднее количество дней, отработанных одним работником за
определенный период (год, месяц).
Часовая производительность труда — это количество продукции, произведенной одним работником за 1 час в течение определенного периода
Пр. труда (часовая) = Q / чЧ ДЧ t, (27)
где t — среднее количество часов, отработанных одним работником в
течение рабочего дня за определенный период.
При наличии определенного исходного материала показатели производительности труда можно представить в ином виде
Пр. труда (дневная) = пр. трудаЧ t, (28)
где t — среднее количество часов, фактически отработанных одним
работником в смену.
Годовую (месячную) производительность труда можно представить в следующем виде
Пр. труда (годовая, дневная) = пр. трудаЧ Д, (29)
где Д — среднее количество дней (часов), фактически отработанных одним
работником за период.
Также годовую производительность труда можно представить в виде другой формулы
Пр. труда (годовая, часовая) = пр. трудаЧ tЧ Д, (30)
Планируемый рост производительности труда
![]()
Трудоёмкость продукции представляет собой затраты рабочего времени на производство единицы продукции
|
Из за большого объема этот материал размещен на нескольких страницах:
1 2 3 4 5 6 7 8 9 10 |



