2. Ежегодная экономия средств на возмещение ущерба пострадавшим после внедрения варианта трудоохранного мероприятия (ожидаемая прибыль) определяется по формуле:
. (65)
Если капитальные затраты (КИ0) и дополнительная прибыль (
Пч) формируются в течении периода больше 1 года, то их необходимо привести к одному моменту времени по формуле (62).
Выбор варианта мероприятия по улучшению условий и охране труда на конкретном рабочем месте производится при минимальном значении критерия «затраты/прибыль».
Максимизация экономии денежных средств на возмещение ущерба потерпевшим (ожидаемая прибыль) в рамках участка, цеха, предприятия в целом производится сравнением критерия «затраты/прибыль» для разных рабочих мест и выбором нескольких вариантов, которые в комплексе позволят наиболее эффективно использовать выделенные финансовые ресурсы на повышение безопасности производства.
Пример расчета критерия «затраты/прибыль».
Расчет выполнен с использованием условных данных, приведенных в образце протокола обследования опасных рабочих мест.
Полные затраты, обусловленные причиной 1, оцениваются по формуле (64).
Условно принимаем:
РХС УД = 21000 грн.;
РХИ УД = 2500 грн.;
РХТ УД= 345 грн.
Тогда полные затраты за 5 лет, обусловленные причиной 1, с учетом данных табл. 5, составят:
;
![]()
Среднеежегодные затраты для данного рабочего места:
.
Аналогично для причины 2 полные затраты составят:
грн/год.
Средние ежегодные затраты составят:
.
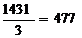
Результаты расчетов отражены в таблице 5. Из данных табл. 5 следует, что вариант 1 не влияет на количество несчастных случаев по причине 1, а количество несчастных случаев по причине 2 уменьшается на 50%, то есть экономия, обусловленная вариантом 1, составит:
![]()
=
3 - 690 = 1431 грн.
Вариант 1, действует 3 года. Тогда дополнительная прибыль, связанная с вариантом 1 в среднем в год составит:
грн.
При этом увеличение чистой прибыли в год:
грн.;
Поскольку затраты на реализацию варианта 1 составляют 1000 грн., то на каждую гривну затрат, ожидается 0,358 грн. чистой прибыли.
Другой вариант предусматривает нейтрализацию как причины 1, так и причины 2. Дополнительная прибыль от варианта 2:
грн.
Поскольку затраты на реализацию варианта 1 составляют 2000 грн., то
![]()
то есть прибыль в 13,7 раз больше затрат.
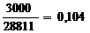
Рассмотрим третий вариант, который является комбинацией вариантов 1 и 2. Здесь предполагается, что реализация двух вариантов одновременно всегда приводит к суммированию затрат и прибыли, то есть экономия от варианта 3 составит:
грн.
в среднем за год
грн.
Отношение «затраты/прибыль»:
![]()
Таблица 5 - Анализ эффективности капитальных затрат на
внедрение трудоохранных мероприятий
Базовый вариант | Вариант 1 | Вариант 2 | Вариант 3 | |
1. Расход на возмещение ущерба потерпевшим при: | ||||
- смертельном исходе | 21000 | 21000 | 21000 | 21000 |
- инвалидности | 2500 | 2500 | 2500 | 2500 |
- с временной потерей трудоспособности | 345 | 345 | 345 | 345 |
2. Количество несчастных случаев по причине 1: | ||||
- со смертельном исходом | 1 | 1 | ||
- инвалидности | 2 | 2 | 1 | |
- с временной потерей трудоспособности | 4 | 4 | 2 | |
3. Количество несчастных случаев по причине 2: | ||||
- со смертельном исходом | ||||
- инвалидности | 1 | |||
- с временной потерей трудоспособности | 3 | 2 | 1 | |
4. Возмещение ущерба потерпевшим: | ||||
- по причине 1 всего | 27380 | 27380 | 3190 | 30570 |
- по причине 1 за год | 5476 | 5476 | 638 | 6114 |
- по причине 2 всего | 3535 | 690 | 345 | 1035 |
- по причине 2 за год | 707 | 230 | 69 | 207 |
5. Период эксплуатации, лет | 5 | 3 | 5 | 5 |
6. Экономия затрат по возмещению ущерба: | ||||
- всего | 1431 | 27380 | 28811 | |
- за год | 477 | 5476 | 5762,2 | |
7. Капитальные инвестиции | 1000 | 2000 | 3000 | |
8. Коэффициент рентабельности инвестиций | 0,358 | 2,05 | 1,44 | |
9. Соотношение затрат к прибыли | 0,699 | 0,073 | 0,104 |
Таким образом, можно сделать вывод, что наивыгоднейшим вариантом для данного рабочего места является вариант 2, в котором отношение затрат к прибыли наименьший – 0,075; вариант 3 уступает варианту 2, а вариант 1 можно считать условно выгодным – он в значительной мере уступает вариантам 2 и 3
[1] При выполнении расчетов в атоматизированноме режиме, формулу следует преобразовать следующим образом ![]()

2 Анологично выполняется расчет дополнительной прибыли в результате снижения уровня травматизма.
|
Из за большого объема этот материал размещен на нескольких страницах:
1 2 3 4 5 6 7 8 |



