Таблица 1
Расчетные параметры выраженности эндогенной интоксикации у больных РМЖ до лечения (M±m)
Показатель | Контрольная группа (n=30) | Больные РМЖ (n=103) |
Ко, у. е. | 20,17±0,63 | 24,84±0,94*** |
Кк, у. е. | 2,66±0,13 | 3,72±0,29** |
Кк, % | 11,23±0,45 | 14,28±0,43*** |
ИКП | 0,43±0,02 | 0,56±0,03*** |
К1 | 0,36±0,01 | 0,45±0,02** |
К2 | 0,53±0,04 | 0,84±0,07** |
К3 | 3,73±0,30 | 4,40±0,25 |
ИИ | 0,97±0,03 | 1,02±0,03 |
Примечание: ** - p<0,01, *** - p<0,001 по сравнению с контрольной группой, двусторонний непараметрический U критерий Манна-Уитни.
Таким образом, РМЖ на этапе верификации диагноза сопровождается синдромом эндогенной интоксикации и характеризуется статистически достоверным увеличением в сравнении с контрольной группой ВН и СММ как в плазме крови, на гликокаликсе эритроцитов, так и в моче, что соответствует развитию стадии неполной компенсации (или второй стадии) СЭИ.
При оценке показателей СЭИ в зависимости от стадии заболевания отмечена тенденция к увеличению значений во II и III стадии, в сравнении с I стадией РМЖ. Так, общий пул ВН и СММ в плазме крови у пациенток в I стадии РМЖ составил 23,37±0,97 у. е., во II стадии РМЖ его значение увеличилось до 25,08±1,60 у. е. и несколько изменилось у пациенток в III стадии заболевания - 25,29±0,90 у. е. Такая тенденция прослеживается и при сравнении других показателей СЭИ (табл. 2).
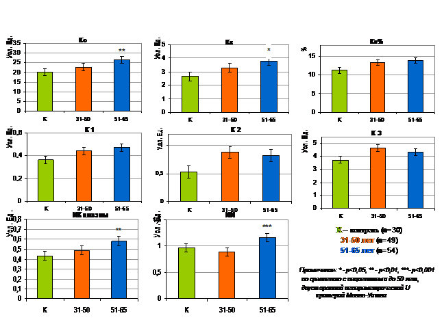
При анализе выраженности синдрома эндогенной интоксикации в зависимости от возраста все больные были разделены на две группы: от 31 до 50 лет и от 51 до 65 лет. Такая градация по возрасту обусловлена менопаузой у 82% женщин старше 50 лет, в группе женщин до 50 лет у 80% сохранялась менструальная функция. В результате получены статистически достоверные отличия следующих показателей: общий пул ВН и СММ (Ко) в группе больных от 51 до 65 лет был достоверно выше, чем в группе больных от 31 до 50 лет (p<0,01); катаболический пул ВН и СММ (Кк) достоверно выше был в группе больных старше 50 лет (p<0,05); интенсивность катаболических процессов (ИКП), так же достоверно выше была в этой группе больных (p<0,01). Более высокий уровень эндогенной интоксикации у больных старше 50 лет подтверждается повышенным интегральным индексом СЭИ, в сравнении с группой больных до 50 лет (p<0,001) (рис. 2).
Таблица 2
Расчетные параметры выраженности эндогенной интоксикации
у больных РМЖ в зависимости от стадии заболевания (M±m)
Показатель | Контрольная группа (n=30) | Больные РМЖ до лечения, (n=103) | ||
I стадия (n=33) | II стадия (n=45) | III стадия (n=25) | ||
Ко, у. е. | 20,17±0,63 | 23,37±0,97* | 25,08±1,60** | 25,29±0,90*** |
Кк, у. е. | 2,66± 0,13 | 3,27±0,22* | 3,70±0,37** | 3,56±0,22** |
Кк, % | 11,23 ± 0,45 | 13,45±0,53** | 13,81±0,58** | 13,94±0,46*** |
ИКП | 0,43± 0,02 | 0,56±0,03** | 0,56±0,03** | 0,56±0,03** |
К1 | 0,36±0,01 | 0,43±0,02** | 0,47±0,03** | 0,46±0,02** |
К2 | 0,53±0,04 | 0,80±0,07* | 0,91±0,07*** | 0,87±0,10** |
К3 | 3,73±0,30 | 4,16±0,40 | 4,77±0,34 | 4,54±0,42 |
ИИ | 0,97±0,03 | 0,97±0,07 | 1,03±0,06 | 1,04±0,05 |
Примечание: * - p<0,05, ** - p<0,01, ***- p<0,001 по сравнению с контрольной группой, двусторонний непараметрический U критерий Манна-Уитни.

Рис. 2. Расчетные параметры выраженности эндогенной интоксикации
у больных РМЖ в зависимости от возраста.
Таким образом, выраженность синдрома эндогенной интоксикации на момент верификации диагноза обусловлена стадией заболевания (II и III) и возрастом больных раком молочной железы (старше 50 лет).
Особенности синдрома эндогенной интоксикации у больных раком молочной железы на этапах специального лечения: хирургического, лучевой и химиотерапии. Оценка качества жизни больных в зависимости от вида лечения.
При сравнительной характеристике синдрома эндогенной интоксикации у больных РМЖ на различных этапах лечения выявлены следующие особенности: количество общего и катаболического пулов ВН и СММ в плазме крови на 7-8 сутки после операции, а так же их процентное соотношение оставалось на предоперационном уровне. Однако статистически достоверно отличалась интенсивность катаболических процессов в организме, у больных после операции этот показатель в 1,2 раза был выше, чем у больных до операции (p<0,05). Кроме того, у пациенток после операции в 1,3 раза выше был коэффициент элиминации ВН и СММ почками, в сравнении с больными до операции (p<0,001). Так же на данном этапе лечения у больных РМЖ статистически выше был коэффициент элиминации ОП почками (p<0,001), (рис. 3).
![]() |
Рис. 3. Показатели эндогенной интоксикации в зависимости от вида лечения
Таким образом, СЭИ у больных РМЖ после операции характеризуется дальнейшим нарастанием интенсивности катаболических процессов в организме в сравнении с дооперационным уровнем, но так же возрастает элиминация ВН и СММ и ОП с мочой, что является компенсаторной реакцией организма. Поэтому ИИ эндогенной интоксикации достоверно не отличался от его уровня до операции.
Далее на этапе проведения дистанционной гамма-терапии, происходит активация окислительных процессов с образованием свободных радикалов, что является дополнительным источником эндотоксемии. У больных РМЖ на данном этапе лечения зарегистрировано достоверное увеличение катаболического пула ВН и СММ в плазме крови в сравнении с его уровнем до лечения (4,60±0,40 и 3,72±0,29 соответственно; p<0,05). Интенсивность катаболических процессов в организме достоверно выше была после лучевой терапии и составила 0,70±0,03, до лечения – 0,56±0,03 (p<0,001). Усиление СЭИ на данном этапе лечения подтверждается достоверно высоким уровнем интегрального индекса эндогенной интоксикации, в сравнении с его предоперационным уровнем (p<0,01).
Максимальный уровень синдрома эндогенной интоксикации был зарегистрирован у больных раком молочной железы на этапе проведения химиотерапии. На данном этапе лечения отмечено статистически достоверное увеличение всех показателей СЭИ, в сравнении с показателями СЭИ до лечения. В особенности возросло количество ВН и СММ в моче, что не исключает нефротоксическое действие химиопрепаратов. Проведение сопроводительной терапии на данном этапе лечения особенно важно, с целью возможного купирования осложнений химиотерапии и развившегося сочетанного синдрома эндогенной интоксикации.
Таким образом, общий уровень интоксикации у больных раком молочной железы при специальном лечении складывается из интоксикации связанной с опухолевым процессом, последствий хирургического вмешательства, действия лучевой и химиотерапии и характеризуется увеличением токсических веществ в крови и моче. Эти изменения носят компенсаторный характер на хирургическом этапе лечения, что подтверждается стабильностью интегрального индекса СЭИ. Максимальный уровень эндогенной интоксикации зафиксирован у больных на этапе лучевой терапии и, в особенности, на этапе химиотерапии, которая выражается в высокой концентрации ВН и СММ на эритроцитах, значительном увеличении их содержания в плазме крови, преимущественного за счет катаболического пула веществ, а так же сопровождается высокой экскрецией ВН и СММ и ОП с мочой. Кроме того, на данном этапе лечения возрастает интегральный индекс эндогенной интоксикации, что свидетельствует о нарастании эндотоксемии и соответствует развитию стадии временной декомпенсации систем и органов детоксикации (или третьей стадии СЭИ).
Немаловажное значение при проведении специального лечения у онкологических больных имеет оценка качества жизни (КЖ). В нашем исследовании для оценки КЖ мы использовали опросник SF-36. При сравнительном анализе параметров качества жизни у пациенток РМЖ до начала лечения и после комбинированного лечения не выявлено достоверного снижения показателей физического компонента здоровья по двум его составляющим: физическое функционирование (ФФ) и ролевое функционирование (РФФ), обусловленное физическим состоянием (рис. 4). Таким образом, наличие злокачественного новообразования в молочной железе в узловой форме не влияет на физический компонент здоровья. Что объясняет позднее обращение пациенток за медицинской помощью в 30% случаев. Оценка качества жизни по шкале физическая боль (Б), не показала достоверного снижения показателя после комбинированного лечения в сравнении с суммой баллов до лечения. Ни у одной пациентки из группы исследования, не зафиксировано болевого синдрома, вызванного наличием опухоли в молочной железе. Что так же объясняет позднее обращение пациенток за медицинской помощью. При оценке качества жизни по шкале общее здоровье (ОЗ), которая отражает состояние здоровья в настоящий момент, у пациенток до лечения и после комбинированного лечения зафиксировано снижение показателя. До лечения он составил 61,41±2,51 баллов, после лечения 58,46±2,10 баллов. Статистически достоверных отличий выявлено не было.

Рис. 4. Оценка качества жизни (опросник SF-36) у больных раком молочной железы на этапах лечения.
Примечание: * - p<0,05, по сравнению с группой больных до лечения, двусторонний непараметрический U критерий Манна-Уитни
Однако выявлены статистически достоверные отличия при оценке качества жизни по шкалам, отражающим состояние психического компонента здоровья. Так, показатель жизненной активности (ЖА), отражающий ощущение себя полным сил и энергии или, напротив, обессиленным, был умеренно снижен у больных до лечения и составил 71,28±3,12 баллов и достоверно ниже был после лечения 58,85±2,22 баллов (p<0,001). Показатель социального функционирования (СФ), определяющий уровень, в котором физическое или эмоциональное состояние ограничивает социальную активность и роль эмоциональных проблем в ограничении жизнедеятельности (РЭФ) у пациенток после лечения имели статистически достоверные отличия от пациенток до лечения. Так, показатель СФ у больных до лечения составил 73,72±3,43 баллов, после лечения 64,62±2,54 баллов (p<0,01). Показатель РЭФ у больных после лечения, так же достоверно ниже был в сравнении с больными РМЖ до лечения (p<0,05). Показатель психического здоровья (ПЗ) пациенток после лечения был статистически достоверно ниже (p<0,01). Полученные данные представляют практическую значимость для врачей онкологов при медицинском обеспечении больных раком молочной железы, в частности помощи врача психотерапевта.
Таким образом, сравнительный анализ качества жизни пациенток РМЖ до начала лечения и после комбинированного лечения, выявляет невыраженные изменения физического компонента здоровья, не имеющие достоверных отличий в зависимости от лечения. Тогда, как психическое состояние здоровья и изменения в эмоциональной сфере у пациенток РМЖ были достоверно ниже после хирургического и лучевого лечения.
При этом корреляционной взаимосвязи синдрома эндогенной интоксикации с параметрами качества жизни получено не было.
Взаимосвязь трофического статуса и фактического питания с синдромом эндогенной интоксикации у больных раком молочной железы
Анализ антропометрических данных выявляет нарушение трофического статуса (ТС) у большинства пациентов с РМЖ вне зависимости от вида лечения. Так оценка индекса массы тела (ИМТ) показала, что у пациенток РМЖ данный параметр составил в среднем 28,74±6,72. В диапазоне нормальных значений ИМТ находилось 30,1% обследованных, снижение ИМТ отмечено лишь у 2,91%, избыточная масса тела – 17,42%, ожирение I степени у 21,96%, ожирение II степени у 18,45% и ожирение III степени у 7,77% больных РМЖ (рис. 5).
![]() |
Рис. 5. Индекс массы тела у больных РМЖ
Комплексный анализ трофического статуса у больных РМЖ показал, что наиболее часто регистрируемыми нарушениями ТС у больных РМЖ являются увеличение толщины КЖСТ (97%), увеличение ИМТ (67%), вызванное избыточной массой тела и ожирением 1-3 степени, снижение ОМП (43%) и снижение ИМТ (3%) (рис. 6).


|
Из за большого объема этот материал размещен на нескольких страницах:
1 2 3 |





