Обычно ток однофазного короткого замыкания недостаточен для действия токовой защиты со ступенчатой характеристикой выдержки времени. При этом, кик следует из распределения токов на стороне высшего напряжения (рис. 13.4, б), наиболее простая однорелейная схема защиты с включением реле на разность токов двух фаз, например А и С, вообще непригодна, так как отказывает в действии при повреждении на землю фазы В, а схема неполной звезды может оказаться недостаточно чувствительной и поэтому должна дополняться третьим реле, включенным в обратный провод. Из-за этого в ряде случаев применяется специальная токовая защита нулевой последовательности (см. рис. 13.3, б), выполненная посредством, например, вторичного реле КАТ прямого действия типа РТВ. Реле присоединяется к трансформатору тока ТА, установленному в нулевом проводе между силовым трансформатором и точкой заземления нейтрали. При нормальной работе ток в реле определяется несимметрией нагрузки и токами 3-й гармонической, имеющей наибольшее значение при подключении к трансформатору газоразрядных ламп.
В соответствии с ГОСТ 11687—75* двухобмоточный трансформатор со схемой соединения обмоток Y/Y0 рассчитан на продолжительный ток нагрузки нейтрали не более 25% номинального тока обмотки низшего напряжения. При этом ни в одной из фаз ток не должен превышать номинальное значение более чем на 5%. Поэтому условие для выбора тока срабатывания имеет вид
Iс. р=0,25kотckперIт. ном/(kвKI) (13.2)
где kпер—коэффициент, учитывающий перегрузку; для масляных трансформаторов, согласно [3], kпер=1,4; kотс=1,1...1,2.
Выдержка времени защиты согласуется с временем действия защит на отходящих линиях. Чувствительность защиты проверяется по минимальному значению тока однофазного короткого замыкания на шинах низшего напряжения, которое можно найти по выражению (11.3) при Zn=0 (см. § 11.3). Чувствительность считается достаточной, если kч≥1,5. Обычно защита присоединений, отходящих от шин 0,4 (0,23) кВ, выполняется плавкими предохранителями и автоматическими выключателями с зависимой характеристикой выдержки времени, поэтому для защиты от коротких замыканий на землю на стороне низшего напряжения трансформатора применяют реле с зависимой характеристикой (типа PTB, PT-80), поэтому обеспечивается лучшее согласование защит.

Рассмотренная защита должна применяться с учетом вероятности однофазных повреждений на выводах трансформатора со стороны низшего напряжения и в соединениях с шинами 0,4 (0,23) кВ. При незначительных расстояниях между трансформатором и распределительным щитом 0,4 (0,23) кВ (до 30 м) и тщательном выполнении проводки между ними возможность повреждений невелика и защиту допускается не применять.
У трансформаторов с соединением обмоток по схеме Δ/Y0 (треугольник—звезда с заземленной нейтралью) сопротивление нулевой последовательности практически равно сопротивлению прямой последовательности, поэтому токи однофазного и трехфазного короткого замыкания при повреждении у выводов низшего напряжения трансформатора имеют примерно одинаковое значение. В том и в другом случае повреждения должны отключаться третьей ступенью токовой защиты трансформатора.
Защита трансформаторов в замкнутых сетях напряжением до 1 кВ. Целесообразность построения замкнутых сетей напряжением до 1 кВ не вызывает сомнения [107]. В зарубежной практике такие сети успешно эксплуатируются довольно продолжительное время. В качестве отключающих и защитных аппаратов используются плавкие предохранители в совокупности с автоматами обратной мощности [108, 109].
Селективное отключение элементов простейшей замкнутой сети напряжением до 1 кВ (рис. 13.5) обеспечивается предохранителями, установленными по концам линий, и автоматами SFW обратной мощности, установленными на стороне низшего напряжения трансформаторов Т1—Т3. В нормальном режиме и при повреждении в сети (точка K1) через все трансформаторы, а следовательно, и через автоматы обратной мощности проходит мощность в прямом направлении, т. е. от источника питания ИП к потребителям замкнутой сети. Автоматы обратной мощности при этом не срабатывают, поврежденная линия отключается своими предохранителями Fl, F2.
Если повреждается какой-либо трансформатор, например Т1 (точка K2), то мощность через трансформатор Т1 и автомат обратной мощности SFW1 изменяет направление, проходя из замкнутой сети к месту повреждения. Автомат обратной мощности SFW1, реагируя на изменение направления мощности, отключает поврежденный трансформатор Т1 со стороны низшего напряжения. Со стороны высшего напряжения трансформатор отключается защитой, действующей на его выключатель Q1. Неповрежденные трансформаторы остаются в работе, электроснабжение потребителей сохраняется полностью.
При повреждении одной из питающих линий, в частности в точке Кз, электроснабжение также полностью сохраняется. Поврежденная линия со стороны ИП отключается своим выключателем Q3 под действием релейной защиты, а со стороны трансформаторного пункта—вместе с трансформатором Т2 автоматом обратной мощности SFW2. В нашей стране такие автоматы не выпускаются, поэтому в городах, где применяются замкнутые сети напряжением до 1 кВ, защита осуществляется переделанными счетчиками, реле направления мощности разных типов и другими аппаратами, не предназначенными для такой цели. В свое время был разработан комплект защиты РОМ-3, состоящей из электромеханических реле. Однако эксплуатация опытной партии показала его принципиальные и конструктивные недостатки [110]. Наиболее совершенна защита на полупроводниках, разработанная Рижским политехническим институтом [111]. В работе принимал участие Ульяновский политехнический институт. Созданы три модификации защиты применительно к различным схемам распределительных сетей.

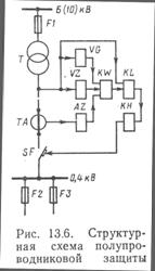
На рис. 13.6 показана структурная схема наиболее простой модификации, которая рекомендуется к установке в сетях рассмотренного типа (см. рис. 135). Комплект защиты предназначен для работы от трансформаторов тока ТА серий ТК-40 и ТК-20. Реле направления мощности KW включается на составляющие прямой последовательности тока (фильтр AZ) и напряжения (фильтр VZ). При этом обеспечивается его срабатывание при всех возможных видах короткого замыкания в защищаемой зоне. Реле создано на принципе сравнения фаз двух электрических величин. Угол максимальной чувствительности реле φP max ч=π/12. Фильтр тока AZ и фильтр напряжения VZ прямой последовательности можно выполнить в соответствии со схемами, рассмотренными выше (см. § 1.7). Фильтр напряжения включается непосредственно в сеть.
Блок питания VG обеспечивает нормальную работу схемы при значительных колебаниях напряжения сети. Исполнительный релейный элемент KL выполнен на полупроводниках и работает от остаточного напряжения сети При срабатывании реле направления мощности KW создается цепь на катушку отключения автомата SF, в которую включено и указательное реле КН.
§ 13.4. ДИФФЕРЕНЦИАЛЬНЫЕ ТОКОВЫЕ ЗАЩИТЫ ТРАНСФОРМАТОРОВ И ОСОБЕННОСТИ ИХ ВЫПОЛНЕНИЯ
Дифференциальный принцип позволяет выполнить быстродействующую защиту трансформатора, реагирующую на повреждения в обмотках, на выводах и в соединениях с выключателями. При этом она может иметь недостаточную чувствительность только при витковых замыканиях и «пожаре стали». Для осуществления защиты используются трансформаторы тока TAI, ТАII, установленные с обеих сторон защищаемого трансформатора вблизи выключателей Q1, Q2 (рис. 13.7, а).

Рис. 13.7. Дифференциальная токовая защита двухобмоточного трансформатора
Вторичные обмотки трансформаторов тока и реле KA соединяются в схему продольной дифференциальной защиты с циркулирующими токами. При этом в реле КА, как и в реле рассмотренных выше дифференциальных защит (см. § 9.3, 12.2), при отсутствии повреждения в защищаемой зоне проходит ток небаланса. Однако этот ток в дифференциальной защите трансформатора определяется не только погрешностью трансформаторов тока, но и рядом дополнительных факторов. Они обусловливают особенности схемы, усложняют ее и должны учитываться при выполнении дифференциальной защиты трансформатора. Рассмотрим эти факторы на примере защиты двухобмоточного трансформатора.
Ток намагничивания трансформатора. У силовых трансформаторов коэффициент трансформации nт=U1I/U1II≠1,0, поэтому в защите должны сравниваться токи I1Iи I1II/nт. При отсутствии повреждения в защищаемой зоне ток намагничивания Iнам=I1I-I1II/nт обусловливает неравенство сравниваемых токов I1I и I1II/nt. В связи с этим в обмотке реле появляется дополнительная составляющая тока небаланса Iнб нам, которая при нормальной работе и внешних коротких замыканиях незначительна и поэтому может не учитываться.
Иное происходит при появлении в питающей обмотке трансформатора броска тока намагничивания Iбр. нам, максимальные мгновенные значения которого достигают 6—8-кратных значений амплитуды номинального тока в первый момент включения трансформатора под напряжение и при восстановлении напряжения после отключения внешних коротких замыканий. Ток намагничивания, проходя через реле, может вызвать неправильное срабатывание защиты. Переходный ток намагничивания содержит значительные высшие гармонические (2-ю и 3-ю), а также значительную апериодическую составляющую, в результате чего кривая его мгновенных значений почти полностью смещается от оси времени (рис. 13.7,6).
Время полного затухания переходного тока намагничивания определяется постоянными времени ветви намагничивания трансформатора и сети и может достигать нескольких секунд. Однако уже по истечении времени t=0,3...0,5 с его максимальные мгновенные значения становятся меньше амплитуды номинального тока трансформатора. Отстройка дифференциальной защиты от бросков тока намагничивания является первым условием при выборе тока срабатывания. В этом случае другими слагающими тока небаланса, малыми по сравнению с Iбр нам, можно, пренебречь, поэтому расчетный первичный ток небаланса Iнб. рсч max≈Iбр. нам. Отстройка защиты от броска тока намагничивания достигается в основном тремя путями: загрублением защиты по току срабатывания; включением реле через промежуточные насыщающиеся трансформаторы тока (НТТ); выявлением различия между формой кривой тока к. з. и формой кривой тока намагничивания (реле в комплекте устройства ЯРЭ-2201). При этом ток срабатывания выбирают исходя из значения номинального тока трансформатора по условию
Iс. з≥kотсIт. ном (13.3)
В зависимости от используемых реле и способа отстройки коэффициент kотc принимается равным 0,3... 4,5.
Схемы соединения обмоток трансформатора. Так как nт≠1,0, то при нормальной работе и сверхтоках, обусловленных перегрузкой или внешними короткими замыканиями, тохи I1I и I1II на стороне высшего U1I и низшего U1II напряжений не равны между собой. В трансформаторах с соединением обмоток Y/Y-12 токи отличаются только по абсолютному значению (ток намагничивания не учитывается).
В случае разного соединения обмоток трансформатора, например по схеме Y/Δ, первичные токи сдвинуты по фазе на угол, определяемый группой соединения обмоток. Соответственно сдвинуты по фазе и вторичные токи I2I и I2II.
Для группы соединения Y/Δ-11 угол сдвига фаз составляет π/6 (рис. 13.7, в). Поэтому при отсутствии повреждения в защищаемой зоне в симметричном режиме в обмотке реле появляется значительный ток Iн. б=2I2I sin (π/12). Для его устранения необходимо, чтобы сравниваемые вторичные токи независимо от группы соединения трансформатора совпадали по фазе.
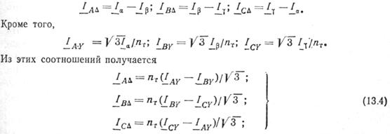
При принятых условных положительных направлениях токов (рис. 13.8)

Выражения (13.4) показывают, что дифференциальная защита трансформаторов с соединением обмоток Y/Δ-11 должна выполняться так, чтобы сравнивались совпадающие по фазе токи: IAΔ и (IAY — IBY); IвΔ и (IBY — ICY): ICΔ и (IAY — ICY). Это достигается путем соединения вторичных обмоток трансформаторов тока TAI, установленных со стороны звезды защищаемого трансформатора, по схеме треугольника, а ТАII со стороны его треугольника — по схеме звезды. Группа соединения трансформаторов тока должна соответствовать группе соединения обмоток защищаемого трансформатора. При этом в случае заземленной нейтрали (рис. 138) по схеме треугольника должны соединяться именно трансформаторы тока ТАI со стороны звезды защищаемого трансформатора. Действительно, если эти трансформаторы тока соединить в звезду, а трансформаторы тока ТАII со стороны треугольника защищаемого трансформатора — в треугольник, то из выражения (13.4) имеем

Соотношния (13.5) показывают, что дифференциальная защита трансформатора с указанным соединением трансформаторов тока может правильно работать при условии, если в фазных токах IAY, IBY, ICY при нормальной работе и внешних коротких замыканиях нет составляющей нулевой последовательности I0. Такое положение имеется лишь при изолированной нейтрали трансформатора.
Соединение трансформаторов тока по схеме треугольника со стороны звезды защищаемого трансформатора с заземленной нейтралью исключает проникновение токов нулевой последовательности в цепи циркуляции и в реле и тем самым предотвращает воможность неправильной работы защиты при внешних коротких замыканиях на землю.
Коэффициенты трансформации трансформаторов тока. Номинальные токи защищаемого трансформатора определяются с каждой его стороны по номинальной мощности Sт. ном:
Iт. ном=Sт. ном/(
UY); Iт. номΔ=Sт. ном/(
UΔ)
Расчетные коэффициенты трансформации трансформаторов тока выбираются исходя из равенства абсолютных значений сравниваемых вторичных токов, в данном случае IаΔ и IаbY (рис. 13.8). С учетом коэффициента схемы k(3)сх и при вторичном номинальном токе I2ном=5А коэффициент трансформации KI=k(3)схIт. ном/5. При принятых обозначениях первичных номинальных токов коэффициенты трансформации трансформаторов тока равны:
для соединенных по схеме звезды KIY=Iт. номΔ/5;
для соединенных по схеме треугольника KIΔ=
/5.
Получающиеся расчетные коэффициенты в общем случае отличаются от коэффициентов трансформации, которые принимаются по шкале номинальных токов как ближайшие большие. В связи с этим токи в цепях циркуляции могут быть различными и обусловливают дополнительную составляющую тока небаланса:
Iнб. вр=(Δƒвр/100)(I(3)к. вн. max/KI) (13.6)
где Δƒвр=[(I2I—I2II)/I2I]100—погрешность от неточности выравнивания токов.
При Δƒвр>5% токи выравниваются автотрансформаторами или уравнительными обмотками реле с НТТ (см. § 13.5).
Автоматическое регулирование коэффициента трансформации. Регулирование коэффициента трансформации защищаемого трансформатора (см. § 13.10) нарушает соотношение между первичными токами I1I и I1II. В связи с этим нарушается степень выравнивания токов в цепях циркуляции, а в реле появляется дополнительная составляющая тока небаланса Iнб. рег, пропорциональная диапазону изменения напряжения ΔUрег в одну сторону от номинального:
Iнб. рег=(ΔUрег/100)(I(3)к. вн. max/KI). (13.7)
Разнотипность трансформаторов тока. Разнотипность трансформаторов тока, установленных со стороны высшего и низшего напряжений, обусловливает различие их характеристик намагничивания и в связи с этим приводит к увеличению составляющей тока небаланса Iнб. пгр, определяемой полной погрешностью трансформаторов тока ε (%):
Iнб. пгр=(koднkапε/100)(I(3)к. вн. maxKI). (13.8)
У трехобмоточных трансформаторов, а также у двухобмоточных с расщепленными обмотками не одинаковы кратности тока при внешних коротких замыканиях для трансформаторов тока, установленных с разных сторон защищаемого трансформатора. Это обусловливает различную степень намагничивания магнитопрово-да трансформаторов тока и увеличивает тем самым составляющую Iнб. пгр. Неидентичность характеристик трансформаторов тока учитывается коэффициентом однотипности kодн, который для дифференциальной защиты трансформатора принимается максимальным (kодн=1,0).
Из изложенного следует, что ток небаланса дифференциальной защиты трансформатора при внешних коротких замыканиях имеет повышенное значение: в худшем случае все рассмотренные составляющие (13.6) — (13.8) складываются арифметически, образуя при внешнем коротком замыкании максимальный расчетной, ток небаланса:
|
Из за большого объема этот материал размещен на нескольких страницах:
1 2 3 4 5 6 |



