
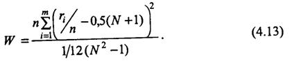
Числитель выражения (4.13) есть умноженная на п сумма квадратов отклонений средних рангов для каждой случайной величины Хi от среднего ранга по всей последовательности; средний ранг рассчитывается по формуле

Знаменатель выражения (4.13) — средний квадрат отклонения от среднего ранга всех элементов последовательности. Если все Хi имеют один и тот же закон распределения, то W принимает малые значения, при разных законах распределения Хi, (т. е. при отсутствии стационарности) W принимает большие значения.
При совпадении законов распределения Хi статистика W(N-l)/N имеет χ2- распределение с числом степеней свободы v=m-1. Поэтому для проверки гипотезы о стационарности потока (одинаковости распределений случайных величин Xi) необходимо:
· задаться уровнем значимости α (обычно 0,05 или 0,01);
· в таблицах χ2 — распределения [9,11] найти квантиль распределения порядка 1-α, при v степенях свободы
;
· если
, то гипотезу о стационарности следует отклонить, в противном случае может быть сделан вывод о соответствии результатов наблюдений предположению о стационарности потока.
1.5.4.2. Проверка отсутствия последействия
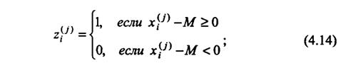
В случае отсутствия последействия случайные величины Х1,...,Хm являются независимыми. Проверку независимости случайных величин Х1,...,Хm можно осуществить с помощью критерия серий [7,9].
Для вычисления значения статистики S критерия серий необходимо:
объединить n реализаций случайных величин Х1, i=1,...,m в одну последовательность с тп элементами и найти ее медиану М;
построить модифицированную последовательность, заменяя xi(j) на

рассчитать число серий S в модифицированной последовательности (серия — это последовательность из одинаковых символов). При четном N число единиц и нулей в модифицированной последовательности будет одинаковым.
При независимости одинаково распределенных величин Хi, i=1,...,m (при стационарности потока) на каждом месте в модифицированной последовательности может с равной вероятностью стоять 1 или 0, а всего имеет место СNk равновероятных вариантов (реализации) этой последовательности, где k — число единиц в модифицированной последовательности. Эти варианты можно перебрать (СNk — это число сочетаний из N по k, или число вариантов расположения k единиц в последовательности длиною N), рассчитать для каждого число серий S и построить функцию распределения числа серий. Малые и большие значения величины 5 свидетельствуют о наличии зависимости между величинами Xi, (о наличии последействия в потоке),
· задаться уровнем значимости α (0,05 или 0,01);
· по таблицам распределения числа серий [9,11] при заданных N,k (k - число единиц в модифицированной последовательности) и а найти нижнюю
и верхнюю
границы критической области;
· если рассчитанное значение статистики S не удовлетворяет неравенству
<S<
, то гипотеза о независимости отклоняется; в противном случае делается вывод о соответствии результатов наблюдений предположению об отсутствии последействия в потоке.
1.5.4.3. Проверка гипотезы о пуассоновском распределении числа сообщений
Если тесты (см. пп. 1.5.4.1 и 1.5.4.2) дали положительный результат (т. е. гипотезы о стационарности и отсутствии последействия не отклонены), то следует выполнить проверку гипотезы о том, что закон распределения числа сообщений (т. е. величин Хi, i=1,...,m) пуассоновский. Для этого можно воспользоваться критерием согласия Пирсона χ2[9].
Выборка наблюдений содержит пт элементов xi(j), j=1,...,n, i=1,...,m. Каждое наблюдение xi(j) — число сообщений в течение интервала Δt = 1ч в j-е сутки наблюдений.
По выборке находим оценку параметра α закона распределения Пуассона:

Для вычисления статистики критерия необходимо:
· разбить диапазон значений xi(j) на k≥6 классов так, чтобы число наблюдений пμ каждого класса было бы не менее 5ч6;
· рассчитать теоретические вероятности рμ попадания в каждый класс значений:

Суммирование в выражении (4.16) осуществляется по значениям числа сообщений, принадлежащих μ-ому классу. Для последнего (k-го) класса

а для первого класса суммирование начинается c j=0;
· найти значение статистики

Эта статистика имеет χ2 - распределение с числом степеней свободы v=k-1-r, где r - число параметров закона распределения, оценки которых получены по выборке и использованы при вычислении χ2 (для закона распределения Пуассона r=1). Статистика χ2 принимает большие значения, когда экспериментальные данные не соответствуют гипотезе о пуассоновском распределении. В процессе проверки гипотезы необходимо:
o задаться уровнем значимости a (0,05 или 0,01);
o по таблице из [9,11] найти квантиль χ2-распределения порядка 1-α при v степенях свободы (
);
o если рассчитанное значение
, то гипотеза о том, что закон распределения пуассоновский, отклоняется. В противном случае делается вывод о том, что имеющиеся данные не противоречат предположению о пуассоновском распределении числа событий.
1.5.4.4. Выбор модели потока сообщений о погрузке и выгрузке вагонов на станции
В табл.1.1 приведены данные о числе сообщений о погрузке-выгрузке вагонов, поступавших в течение каждого часа с 8 до 18 ч. на протяжении трех суток [7].
На основе приведенных в табл.4.1 данных дадим обоснования для выбора простейшей модели потока сообщений.
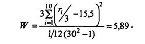
Проверка стационарного потока. Используем критерий Крускала-Уоллиса (см. п. 1.5.4.1). В табл. 1.1 приведены ранги наблюдений и суммарные ранги (ri, i=1,10) по 10 часовым интервалам1). В данном примере п=3, т=10, N=nm=30:

Зададимся уровнем значимости α=0,05. Из таблицы χ2— распределения при v=m-1=9 находим
.
Так как
, то основания для отклонения гипотезы о совпадении законов распределения нет. Поток сообщений можно считать стационарным.
Проверка отсутствия последействия. Используем критерий серии (см. п. 1.5.4.2). Медиана последовательности из N=30 выборочных значений табл.1.1 М=4.
Модифицированная последовательность, полученная по правилу (4.14), приведена табл.1.1. Здесь k=18 (число единиц), N-k=12 (число нулей).
Зададимся уровнем значимости α = 0,05. По таблицам из [9] находим
;
.
По модифицированной последовательности из табл.1.1 рассчитываем число серий S=17. Так как значение S= 17 оказывается в промежутке между
и
, то делаем вывод о независимости чисел сообщений на последовательных непересекающихся интервалах
1)В данных табл. 1.1 выборка содержит много совпадающих элементов. В том случае в знаменателе формулы (4.13) для статистики Крускала-Уоллиса следует ввести поправку [9].
времени, и, следовательно, о соответствии результатов наблюдений предположению об отсутствии последействия в потоке.
Таблица 1.1.
Данные о числе сообщений о погрузке-выгрузке вагонов
Сутки | Параметр | Значение параметра по часам (i) | |||||||||
1 | 2 | 3 | 4 | 5 | 6 | 7 | 8 | 9 | 10 | ||
1 | xi1 Ранг Модифицированная последовательность | 6 7 1 | 2 24,5 0 | 5 11 1 | 5 11 1 | 0 30 0 | 5 11 1 | 6 7 1 | 4 16 1 | 2 24,5 0 | 4 16 1 |
2 | xi2 Ранг Модифицированная последовательность | 1 28,5 0 | 3 20 0 | 5 11 1 | 8 2 1 | 4 16 1 | 3 20 0 | 3 20 0 | 2 24,5 0 | 4 16 1 | 2 24,5 0 |
3 | xi3 Ранг Модифицированная последовательность | 2 24,5 0 | 4 16 1 | 1 28,5 0 | 5 11 1 | 7 4,5 1 | 2 24,5 0 | 8 2 1 | 6 7 1 | 8 2 1 | 7 4,5 1 |
ri | |||||||||||
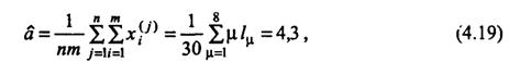
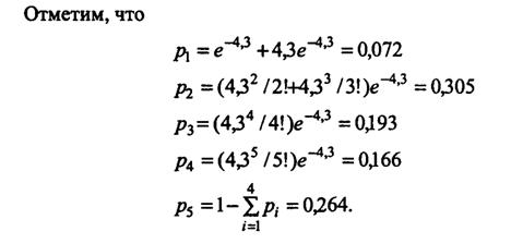
Проверка гипотезы о пуассоновском распределении числа сообщений. Найдем оценку
параметра закона распределения Пуассона. Так как в законе Пуассона α — это математическое ожидание числа событий (сообщений) на заданном интервале (в данном случае — в течение 1ч), то согласно методу моментов [9] имеем:

где lμ — число раз, когда в течение 1ч на станцию поступало μ сообщений.
Ниже приведена сгруппированная выборка:
Число сообщений (μ) | 0-1 | 2-3 | 4 | 5 | 6-8 |
lμ | 3 | 9 | 5 | 5 | 8 |
Отметим, что в данном случае из-за недостаточного объема выборки (N=30) не удается обеспечить условие k≥6 при lμ≥5ч6. Поэтому распределение статистики лишь приближенно следует закону χ2.
Расчет значения χ2 показан в табл. 1.2.
Таблица 1.2.
Расчет значения χ2
j | lμ | Pj | PjN |
|
1 | 3 | 0,072 | 2,16 | 0,3266667 |
2 | 9 | 0,305 | 9,15 | 0,002459 |
3 | 5 | 0,193 | 5,79 | 0,1077893 |
4 | 5 | 0,166 | 4,98 | 0,0001 |
5 | 8 | 0,264 | 7,92 | 0,0008081 |
Z | 30 | 1 | 30 | 0,4378034 |

Полученное значение χ2=0,438 является реализацией случайной величины, подчиненной χ2 — распределению с v=5-1-1=3.
Приняв a=0,05, находим в таблицах из [9]
.
Так как
, то нет оснований для отклонения гипотезы о пуассоновском распределении числа сообщений о погрузке и выгрузке вагонов, поступающих на станцию в течении 1ч.
Проведенные исследования позволяют сделать вывод о возможности использования модели простейшего потока.
1.6. Процедуры обоснования решений при проектировании информационных систем
1.6.1. Постановка задачи выбора варианта решения
Проектирование — это выбор лучшего варианта построения системы: лучшей программно-технической платформы, СУБД, размещения комплекса технических средств, технологии передачи данных, топологии сети и т. д.
Выбор — это почти всегда компромисс между противоречивыми требованиями, стремлением к широким возможностям создаваемой системы и низкой стоимостью.
Формально задача выбора лучшего варианта создаваемой системы (технологии, элемента системы) ставится следующим образом. Имеется^ вариантов решения, каждый из которых может быть оценен по k различным характеристикам. Все варианты приемлемы, т. е. среди них отсутствуют такие, которые могли бы быть исключены из рассмотрения по ограничениям, жестко накладываемым на какие-либо показатели. Например, если имеются ограничения на стоимость, несоответствующие этому условию варианты исключаются из дальнейшего рассмотрения. Из N вариантов надо выбрать лучший по совокупности характеристик.
Для обоснования выбора лучшего варианта может быть использована процедура, основанная на экспертных оценках и включающая следующие действия:
составление полного перечня характеристик (свойств, показателей), по которым следует производить выбор;
оценку важности каждой характеристики на основе процедур экспертного оценивания;
оценку степени обладания каждым вариантом решения, представленным для выбора, каждым из рассматриваемых свойств;
оценку коэффициентов важности (предпочтительности) каждого варианта и выявления варианта с наибольшим значением коэффициента важности.
1.6.2. Составление полного перечня характеристик (свойств, показателей)
При решении этой проблемы важно, чтобы были учтены все свойства, важные для принятия решений.
Один из возможных способов составления перечня характеристик заключается в сборе и обработке мнений экспертов [7]. При этом каждому эксперту предлагается составить список характеристик (свойств, показателей), по которым следует осуществлять выбор варианта системы (технологии и т. п.). Списки, представленные разными экспертами, объединяются. Объединенный список подвергается анализу, при котором выявляются отношения между каждой парой элементов списка. Эти отношения могут быть следующими:
тождественность — обладание первым свойством означает обладание и вторым, и наоборот. Например, свойства "безопасность данных" и "защита данных от несанкционированного доступа" являются тождественными;
подчиненность — второе свойство подчинено первому, если обладание первым свойством означает и обладание вторым, но не наоборот. Например, свойство "достоверность данных" подчинено свойству "качество данных", так как "достоверность" является одной из составляющих понятия "качество данных";
независимость — обладание одним свойством никак не отражается на степени обладания другим. Например, независимы свойства "наличие доступной документации" и "скорость выполнения операции" и т. д.
Определение окончательного перечня характеристик осуществляется: исключением одного из каждой пары тождественных свойств; при наличии множества свойств, подчиненных одному (первому), из списка удаляются первое свойство либо множество подчиненных ему свойств.
В результате реализации этой процедуры в списке характеристик остаётся только множество независимых свойств вариантов выбора.
|
Из за большого объема этот материал размещен на нескольких страницах:
1 2 3 4 |




