Р/а препарат 137Cs
R, м | k | Kγ | t, с | Число импульсов | Скорость счета, N, c-1 | Активность | Мощность дозы, Р/ч |
1 | 50 | ||||||
0,5 | 50 |
Часть вторая. Измерение активности р/а препарата методом γ -γ –совпадений.
Схема установки представлена на рис. 5.37 (стр. 15).
В качестве источника излучения используется р/а препарат 60Co.
1.Поместите источник радиоактивного излучения между детекторами и измерьте скорость счета первого и второго детектора.
Затем проведите измерение скорости счета совпадений.
t, c | Число импульсов левый счетчик | Число импульсов правый счетчик | Число импульсов два счетчика | Скорость счета, N1, c-1 | Скорость счета, N2, c-1 | Скорость счета, Nсовп, c-1 | Активность |
50 |
2. Рассчитайте активность по формуле (7) ( стр. 15).
Контрольные вопросы
1. Что такое доза? Единицы, в которых измеряются доза и мощность дозы.
2. Определение единицы дозы облучения рентген.
3. Что такое 1 Грэй и 1 Зиверт?
4. Воздействие ионизирующих излучений на биологические объекты.
5. Коэффициенты качества (взвешивающие коэффициенты). Их физический смысл. Примеры значений коэффициентов качества.
6. Что такое эквивалентная и эффективная дозы?
7. Годовые дозовые пределы для населения и для персонала, работающего с ионизирующим излучением (группы А и Б).
8. Фоновое облучение. Источники фонового облучения в природе.
9. Дозиметрия гамма-излучения. Что такое ионизационная постоянная?
10. Дозиметрия бета-излучения.
11. Дозиметрия альфа-частиц и протонов.
12. Схема экспериментальной установки для изучения зависимости дозы гамма-излучения от расстояния. Методика эксперимента и обработки данных.
13. Расчет мощности дозы в зоне действия пучка гамма-лучей. Формулы.
14. Определение кратности снижения дозы за счет защиты. Формулы.
15. Что такое активность радиоактивного препарата и в каких единицах она измеряется? Методы определения активности радиоактивных препаратов.
16. Блок-схема установки для определения активности источника методом совпадений. Методика эксперимента и обработки данных. Учет фона и случайных совпадений.
Литература
1. Нормы радиационой безопасности НРБ-99, Минздрав России, Москва, 1999
2. . Современная система дозиметрических величин. В журнале «Аппаратура и новости радиационных измерений», №1, стр.4–17, 2000
3. , . Нейтронная физика, М., Энергоатомиздат, 1997
4. , . Справочник по дозиметрии и радиационной гигиене. М. 1990
5. . Защита от ионизирующих излучений. Энергоатомиздат, 1982
6. , . Квантовое излучение радиоактивных нуклидов. М., Атомиздат. 1977
7. . Справочник по радиационой безопасности. М.
Атомиздат 1977.
Лабораторная работа № 4
Экспоненциальный закон поглощения γ-лучей
Цель работы: Определить ядра какого элемента используются в данной работе в качестве радиоактивного источника.
Введение
В отличие от заряженных частиц, которые при прохождении через вещество вызывают ионизацию и постепенно теряют энергию, γ–квант движется со скоростью света и либо совсем не изменяет скорости (не взаимодействует), либо поглощается или рассеивается и выбывает из пучка. При этом может появиться новый γ-квант с меньшей энергией, а поглотившая его заряженная частица получает энергию.
Число γ-квантов, выбывающих из пучка при прохождении поглотителя толщиной dx, пропорционально dx и числу γ-квантов N, падающих на слой вещества dx. Таким образом, уменьшение числа γ-квантов в пучке равно:
(1)
Коэффициент пропорциональности
называется полным линейным коэффициентом ослабления (часто
называют коэффициентом поглащения). Из равенства (1) следует, что
(2)
т. е. полный коэффициент ослабления равен относительному пучка γ-лучей при прохождении слоя единичной толщины.
При интегрировании выражения (1) от нулевой толщины до данной получим:
N=N0e-μx , (3) откуда
Коэффициент поглощения, также можно найти, вычислив тангенс угла наклона по логарифмическому графику:
tgj=μ
Поглащение γ-квантов в веществе происходит в основном за счет трех процессов: фотоэффекта, рассеивания на свободных электронах (эффект Комптона) и возникновения электронно-позитронных пар. Каждый из перечисленных процессов характеризуется своим коэффициентом поглощения, а полный коэффициент поглощения µ является их суммой:
![]()
Вклад каждого из слагаемых полного коэффициента ослабления зависит от энергии
-квантов и атомного номера вещества.
При малых энергиях наблюдается фотоэлектрическое поглощение. С увеличением энергии преобладающим является комптоновское рассеивание. При достаточно больших значениях энергии проявляется процесс возникновения электроннно-позитронных пар. Поэтому полный коэффициент ослабления
-лучей в веществе сложным образом зависит от энергии
-квантов
Указания по выполнению работы
Установка, при помощи которой измеряется энергия гамма-лучей методом поглощения, изображена на рис. 52.
Источник гамма-лучей 1 помещается внутри массивного свинцового блока 2, который одновременно служит защитой и коллиматором для получения узкого (почти параллельного) пучка.
Гамма-лучи проходят через фильтры 3 и регистрируются детектором, который состоит из сцинтилляционного кристалла NaJ 4и фотоэлектронного умножителя (ФЭУ) 5. Напряжение на ФЭУ подается от стабилизатора высокого напряжения 6.
Импульсы от ФЭУ через формирователь 7 поступают на счетный прибор 8.
Геометрия опыта рассчитывается так, чтобы снизить погрешность измерений, связанную с попаданием в счетчик рассеянных квантов и играющую значительную роль в данном методе измерений. С этой целью источник устанавливается на значительном расстоянии от счетчика, фильтры удаляются от источника и счетчика. В качестве фильтров используются пластины круглой формы, изготовленные из свинца, меди и алюминия. Диаметр d пластин выбран так, чтобы выполнялось условие d = 1/μ для hν ∼ 1 МэВ.
Инструкция по работе с виртуальной установкой.
18.
|
|
|
|
|

19. В режиме «Ознакомления» (первая кнопка внизу слева) изучите названия приборов. На пересчётном приборе выясните, какой дисплей будет показывать время (время измеряется в секундах), а какой число накапливаемых импульсов.
20. Для проведения измерений выйдите из режима «Ознакомления». Щелчком мыши включить высоковольтный источник напряжения и пересчетный прибор (0 на рис.)
21.
Образцы находятся в ящике (1 на рис), чтобы выбрать нужный образец щёлкните на чёрном треугольнике (2на рис) и откроется список:
22.
|
![]() |
Выбирите образец и щёлкните «достать образец» ( 3 на рис).
23. Поместите образец между радиоактивным источником и детектором (4 на рис).
24. Для измерения количества импульсов нажмите старт.
25. Чтобы вынуть образец из-под детектора. Щёлкните по нему и потом перенесите в коробку.
26. Сделайте сброс показаний и выберете следующий образец.
Задание 1. Для каждого из металлов снять кривую зависимости числа N регистрируемых γ-квантов от толщины x фильтров
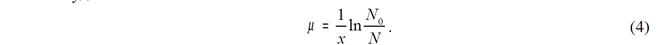
Задание 2. По данным измерений определить коэффициенты ослабления μ по формуле (4) . Зная μ, по кривым зависимости μ от Eγ (см. стр. 4–6) определить энергию γ-кванта. Полученные значения усреднить. По данным о Eγ определить радиоактивный нуклид (по таблице 10).
Все данные занести в таблицы:
Al, x, см | число импульсов, N | LnN | μ, см-1 | Еγ , МэВ |
0 | ||||
1 | ||||
1,5 | ||||
2 | ||||
2,5 |
Pb, x, см | число импульсов, N | LnN | μ, см-1 | Еγ , МэВ |
0 | ||||
0,15 | ||||
0,3 | ||||
0,45 | ||||
0,6 |
Cu, x, см | число импульсов, N | LnN | μ, см-1 | Еγ , МэВ |
0 | ||||
0,3 | ||||
0,6 | ||||
0,9 | ||||
1,2 |
В данной работе в качестве радиоактивного источника используется ядра ___________.
|
Из за большого объема этот материал размещен на нескольких страницах:
1 2 3 4 |




