1. Приобретение ОС за плату (покупка) отражается в банковском бухгалтерском учете по сумме фактических затрат: расчеты с продавцом ОС, затраты по доставке, установке, монтажу ОС в банке. Затем осуществляется постановка ОС на баланс банка:
Д-т 60401 «Основные средства (кроме земли)»
К-т 60701 «Вложение в сооружение (строительство) создание (изготовление) и приобретение основных средств и нематериальных активов».
2. При внесении ОС в уставный капитал банка выполняется проводка:
Д-т 60401 «Основные средства (кроме земли)»
К-т 102 «Уставный капитал кредитных организаций, созданных в форме акционерного общества, сформированный за счет обыкновенных акций»
103 «Уставный капитал кредитных организаций, созданных в форме акционерного общества, сформированный за счет привилегированных акций»
104 «Уставный капитал кредитных организаций, созданных в форме общества с ограниченной (дополнительной) ответственностью дат»
в зависимости от способа формирования уставного капитала банка.
3. Безвозмездное поступление ОС в банк оформляется проводкой:
Д-т 60401 «Основные средства (кроме земли)»
К-т 70107 «Другие доходы.
В процессе эксплуатации ОС изнашиваются или амортизируются. Для их восстановления в банке ежемесячно производятся амортизационные отчисления.
Начисление амортизации начинается в месяце, следующем после поступления ОС в банк, и заканчивается после начислении 100% балансовой стоимости этого средства. В случае выбытия ОС начисление амортизации заканчивается в месяце, следующем после этого события.
Амортизация рассчитывается в процентах к балансовой стоимости ОС по утвержденным нормативам – нормам амортизации, дифференцированным по видам и группам ОС.
Расчет месячной суммы амортизационных отчислений производится по следующей формуле:
![]()
Общий расчет амортизационных отчислений по банку осуществляется в движении: сумма амортизационных отчислений поступивших ОС минус сумма амортизационных отчислений выбывших ОС.
Все амортизационные отчисления подразделяются на суммы для полного восстановления ОС и для капитального ремонта. Для более эффективного использования средств на восстановления ОС в банке создается фонд амортизационных отчислений, учитываемый в подразделе 606 Плана счетов «Амортизация основных средств». Амортизация всегда начисляется в полных рублях по мемориальным ордерам.
Начисление амортизации осуществляется следующей проводкой:
Д-т 70209 «Другие расходы»
К-т 60601 «Амортизация основных средств»
Выбытие ОС осуществляется из банка следующим образом:
• продажа:
Д-т 61202 «Выбытие (реализация) имущества»
К-т 60401 «Основные средства (кроме земли)»
• передача филиалу из головного банка:
Д-т 30306 «Расчеты между подразделениями одной кредитной организации по переданным ресурсам»
К-т 60401 «Основные средства (кроме земли)»
• полный износ ОС:
Д-т 60601 «Амортизация основных средств»
К-т 60401 «Основные средства (кроме земли)»
• кража или гибель в результате аварии или стихийного бедствия:
Д-т 70209 «Другие расходы»
К-т 60401 «Основные средства (кроме земли)»
Если в результате гибели ОС будет установлено виновное в этом лицо, то проводка будет иметь следующий вид:
Д-т 60323 «Расходы с прочими дебиторами»
К-т 60401 «Основные средства (кроме земли)»
В большинстве случаев ОС списываются по своей остаточной стоимости (балансовая стоимость минус начисленная амортизация).
Инвентаризация ОС проводится периодически, но не реже одного раза в год (чаще всего по состоянию на 1 января нового года). С этой целью председатель правления банка издает соответствующий приказ, в котором указываются председатель (как правило, заместитель председателя правления) и члены комиссии по проведению инвентаризации (обязательным членом является главный бухгалтер банка).
Главная задача инвентаризации: выявление фактического наличия ОС и сопоставление его с данными бухгалтерского учета (данными бухгалтерского баланса, лицевых счетов, инвентарных журналов и карточек). Кроме того, задачами инвентаризации является: проверка соблюдения правил хранения и эксплуатации ОС, выявление основных средств, пришедших в негодность и подлежащих списанию. Если в ходе проведения инвентаризации обнаружены виновные в порче или недостаче ОС лица, то стоимость этих ОС списывается на них. Результаты инвентаризации отражаются в акте, который подписывается с одной стороны – комиссией по проведению инвентаризации, а с другой – материально ответственными за ОС лицами.
В акте содержится ответ на основной вопрос инвентаризации ОС: соответствует ли фактическое их наличие данным бухгалтерского учета на дату проверки. При этом также отмечаются выявленные недостатки по хранению и использованию ОС, их причины и меры, принимаемые для их устранения.
5.2. Учет нематериальных активов
К нематериальным активам относятся нематериальные объекты, используемые в течение длительного периода (минимальный срок один год) и приносящие банку доход: права пользования земельными участками, природными ресурсами, объекты интеллектуальной собственности (патенты на изобретения, печатные издания, научные труды и т. д.). Нематериальные активы могут быть приобретены банком и (или) созданы в нем.
Аналитический учет нематериальных активов ведется в разрезе каждого нематериального актива в таблицах лицевых счетов, карточках, инвентарных журналах аналогично учету основных средств. Нематериальные активы учитываются на балансе банка в суммах, исходя из фактически произведенных затрат по их приобретению за плату, экспертным путем – при их получении безвозмездно, по себестоимости – если они созданы в банке.
Постановка на балансовый учет нематериальных активов отражается проводкой:
Д-т 60901 «Нематериальные активы»
К-т 60701 «Вложение в сооружение (строительство), создание (изготовление) и приобретение основных средств и нематериальных активов»
Амортизация нематериальных активов осуществляется ежемесячно по нормам, определяемым банком самостоятельно исходя из их первоначальной стоимости и срока их полезного использования, но не более срока деятельности самого банка.
По нематериальным активам, по которым невозможно установить срок их полезного использования, нормы амортизации устанавливаются в расчете на десять лет.
Расчет месячной суммы амортизационных отчислений по ним производится по аналогии с ОС.
Проводка по начислению амортизации нематериальных активов выглядит следующим образом:
Д-т 70209 «Другие расходы»
К-т 60903 «Амортизация нематериальных активов»
Амортизация начисляется вплоть до полного погашения стоимости нематериального актива.
Выбытие нематериальных активов осуществляется в случае:
• продажа:
Д-т 61202 «Выбытие (реализация) имущества»
К-т 60901 «Нематериальные активы»
• полного износа:
Д-т 60906 «Амортизация нематериальных активов»
К-т 60901 «Нематериальные активы»
• кражи или стихийного бедствия:
Д-т 70209 «Другие расходы»
К-т 60901 «Нематериальные активы»
• кражи с установлением виновного лица:
Д-т 60323 «Расчеты с прочими дебиторами»
К-т 60901 «Нематериальные активы»
Инвентаризация нематериальных активов производится в рамках общей инвентаризации по банку. Излишки, выявленные в результате инвентаризации, учитываются как безвозмездно полученное имущество проводкой:
Д-т 60901 «Нематериальные активы»
К-т 70107 «Другие доходы»,
а недостача списывается на виновных лиц или расходы.
5.3. Учет материальных запасов
К материальным запасам относятся предметы, используемые для оказания услуг, управленческих, хозяйственных и социально-бытовых нужд.
На счете 61002 «Запасные части» учитываются запасные части и комплектующие изделия, предназначенные для проведения ремонтов, замены изношенных частей оборудования, транспортных средство и т. д.
На счете 61008 «Материалы» учитываются запасы топлива, упаковочные материалы для денег, бумага, дискеты, материалы для пошива спецодежды персоналу банка, материалы для ремонта банковских помещений и т. д.
На счете 61009 «Инвентарь и принадлежности» учитываются инструменты, хозяйственные и канцелярские принадлежности, основные средства ниже установленного учетной политикой банка лимита стоимости.
На счете 61010 «Издания» учитываются книги, брошюры и издания, включая пособия, справочные материалы и т. д.
На счете 61011 «Внеоборотные запасы» учитывается имущество, приобретенное банком по сделкам, в качестве залога и т. д. до принятия им решения о его реализации или использовании для собственных нужд.
Учет материальных запасов ведется в разрезе лицевых счетов по предметам, относящимся к той или иной группе материальных запасов в количественном и стоимостном выражении, если в банке есть склад.
Сохранность материальных запасов на складе периодически проверяется сотрудниками банка исходя из фактических остатков материальных запасов и данных бухгалтерского и складского учета.
Предоплата поставщику за материальные запасы отражается в банке следующей проводкой:
Д-т 60312 «Расчеты с поставщиками, подрядчиками и покупателями»
К-т 30102 «Корреспондентские счета кредитных организаций в Банке России»
Постановка материальных запасов на балансовый учет оформляется следующим образом:
Д-т «Материальные запасы»
К-т 60312 «Расчеты с поставщиками, подрядчиками и покупателями»
Выбытие материальных запасов осуществляется в случае их расхода или порчи и отражается проводкой:
Д-т 70209 «Другие расходы»
К-т «Материальные запасы»
Инвентаризация материальных запасов осуществляется при смене материально-ответственных лиц на день приема-передачи дел, а также немедленно после кражи или стихийного бедствия. Помимо этого инвентаризация материальных запасов должна проводиться в рамках полной инвентаризации по банку не реже одного раза в год. При этом на фактическую недостачу материальных запасов делается проводка:
Д-т 70209 «Другие расходы»
К-т «Материальные запасы»
Эта проводка выполняется в случае кражи или порчи материальных запасов, если виновные лица не установлены. Если они известны, тогда делается следующая проводка:
Д-т 60323 «Расчеты с прочими»
К-т «Материальные запасы»
При выявлении излишков материальных запасов выполняется проводка:
Д-т «Материальные запасы»
К-т 70107 «Другие доходы»
Все это фиксируется в акте о проведении инвентаризации.
ТЕМА 6. ОТЧЕТНОСТЬ КОММЕРЧЕСКОГО БАНКА
Составление отчетность банка является завершающим этапом учетного процесса в нем. Отчетность банка призвана быть источником достоверной, полной и оперативной информации о его финансово-хозяйственной деятельности, а также основой для принятия управленческих решений.
Отчетность коммерческого банка можно классифицировать следующим образом.
По экономическому содержанию она подразделяется на бухгалтерскую (финансовую) и статистическую.
Бухгалтерская (финансовая) отчетность отражает результаты финансово-хозяйственной деятельности коммерческого банка за отчетность период времени. Она составляется на основе данных бухгалтерского учета, осуществляемого банком. Бухгалтерская финансовая отчетность отражает финансовое и имущественное положение банка и позволяет контролирующим органом, инвесторам, а также другим заинтересованным лицам оценить его устойчивость, ликвидность, платежеспособность, доходность и т. д.
Статистическая отчетность служит для фиксирования органами государственной статистики основных показателей банковской деятельности (таки, как полученная им прибыль за отчетный период, размер его капитала, фонд оплаты труда и т. д.). В дальнейшем эти данные по конкретному банку будут использованы для подготовки различных статистических материалов, характеризующих банковский сектор в экономике страны.
Таким образом, для характеристики и анализа деятельности конкретного коммерческого банка наиболее важными являются бухгалтерская (финансовая) отчетность, а для характеристики и анализа банковской деятельности в целом – статистическая отчетность.
В настоящее время российские коммерческие банки составляют отчетность в соответствии с международными стандартами финансовой отчетности. Бухгалтерская (финансовая) отчетность банков включает:
• бухгалтерский баланс на отчетную дату;
• отчет о прибылях и убытках за отчетный период;
• отчет о движении денежных средств за отчетный период;
• отчет об изменениях собственных средств (капитала) за отчетный период;
• примечание к отчетности, в том числе принципы учетной политики по ее составлению
Бухгалтерская (финансовая) отчетность в указанном составе представляется коммерческими банками в территориальные учреждения Банка России для проведения анализа их деятельности.
Рассмотрим содержание основных документов бухгалтерской (финансовой) отчетности банков: бухгалтерского баланса и отчета о прибылях и убытках.
Бухгалтерский баланс на отчетную дату выглядит следующим образом (см. табл. 6.1).
Таблица 6.1
Бухгалтерский баланс коммерческого банка «Х» по состоянию на … месяц … года

Рассмотрим содержание баланса банка.
Денежные средства и их эквиваленты представляют собой денежную наличность в кассе банка, а также остатки на его корреспондентских счетах.
Обязательные резервы на счетах в Банке России являются средствами, депонированными коммерческим банком в Банке России.
Финансовые активы, оцениваемые по справедливой стоимости через прибыль или убыток включают в себя ценные бумаги, предназначенные для продажа (торговые ценные бумаг), а также финансовые инструменты
" href="/text/category/proizvodnie_finansovie_instrumenti/" rel="bookmark">производные финансовые инструменты
(например, валютообменные контракты, фьючерсы, опционы и другие сделки). Справедливая стоимость финансовых активов рассчитывается либо на основе применения рыночных котировок, либо на основе использования различных методик их оценки. Финансовые активы классифицируются в зависимости от того, является ли эта справедливая стоимость положительной (тогда они оцениваются через прибыль) или отрицательной (в этом случае они оцениваются через убыток).
Средства в других банках это кредиты и депозиты полученные от других банков, а также предоставленные им. Помимо этого сюда относятся средства по договорам с другими банками об обратной продаже приобретенных у них ценных бумаг.
Кредиты клиентам – кредиты, предоставленные банком различным категориям клиентов.
Финансовые активы, имеющиеся в наличии для продажи являются инвестиционными ценными бумагами, которые могут быть проданы в зависимости от требований ликвидности, а также при изменении процентных ставок и цен по ним.
Финансовые активы, удерживаемые до погашения – инвестиционные ценные бумаги
с фиксированным сроком погашения (например, облигации федерального займа, векселя и др.) в отношении которых коммерческий банк имеет намерение и возможность дождаться их погашения.
Инвестиции в ассоциированные и неконсолидируемые дочерние компании представляют собой средства долевого участия в их деятельности. Ассоциированные компании – компании, в которых от 20% до 50% голосующих акций принадлежат банку, однако он не контролирует их деятельность. Дочерние компании – организации, деятельность которых контролируется банком и в которых им принадлежит более 50% голосующих акций.
Гудвил, связанный с покупкой дочерних компаний является превышением стоимости приобретения дочерних компаний над их справедливой стоимостью. Гудвил отражается в банковском балансе как нематериальный актив.
Прочие активы – включают дебиторскую задолженность банка, его авансовые платежи (в частности, налоговые), его нематериальные активы (исключая указанные ранее) и т. д.
Налоговые активы представляют собой расходы банка по уплате налога на полученную им прибыль за год.
Налоговые активы представляют собой расходы банка по уплате налога на полученную им прибыль за год.
Основные средства и инвестиционная недвижимость включают здания под банковские офисы, офисное и компьютерное оборудование, автомобили банка и т. д. с учетом их переоценки. Сюда же относится инвестиционная недвижимость (земля, здания) банка, находящаяся в его собственности или в долгосрочной аренде и представляющая собой вложение капитала.
Средства других банков – являются средствами, находящимися на корреспондентских счетах других банков в банке – составителе финансовой отчетности, а также кредиты и депозиты других банков в банке – составителе бухгалтерской (финансовой) отчетности.
Средства клиентов – средства на расчетных / текущих счетах клиентов (кроме других банков), а также их депозиты, находящиеся в банке – составителе бухгалтерской (финансовой) отчетности.
Финансовые обязательства, оцениваемые по справедливой стоимости через прибыль или убыток есть обязательства банка по поставке ценных бумаг, а также его обязательства по операциям с производными финансовыми инструментами, оцениваемыми по справедливой стоимости через прибыль или убыток.
Выпущенные долговые ценные бумаги
включают векселя, депозитные сертификаты
и облигации, выпущенные банком.
Прочие заемные средства – привлеченные банком срочные займы от других банков и государства (например, приобретение им еврооблигаций).
Прочие обязательства включают кредиторскую задолженность банка, налоги к выплате, дивиденды к выплате и т. п.
Обязательства, относящиеся к группам выбытия, удерживаемые для продажи являются торговыми и прочими текущими обязательствами банка, которые он предназначил для продажи.
Уставный капитал – объявленный уставный капитал банка, который является полностью оплаченным.
Эмиссионный доход представляет собой сумму, на которую взносы в уставный капитал банка превосходят стоимость выпущенных им акций.
Фонд переоценки по справедливой стоимости финансовый активов, имеющихся в наличии для продажи – средства банка, полученные в результате переоценки по справедливой стоимости принадлежащих ему ценных бумаг и других его финансовых активов, предназначенных для продажи и отнесенные в специальный фонд.
Фонд переоценки основных средств – средства банка, полученные в результате переоценки его основных средств и отнесенные в специальный фонд.
Фонд накопленных курсовых разниц – средства банка, полученные в результате накопления положительных курсовых разниц между номиналом и курсом продажи выпущенных им ценных бумаг.
Накопленный дефицит / (нераспределенная прибыль) представляет собой средства из его годовой прибыли, предназначенные для выплаты дивидендов участникам его уставного капитала, а также на пополнения резервного и других фондов, образованных из прибыли.
Отчет банка о прибылях и убытках за отчетный период представлен в табл. 6.2.
Таблица 6.2
Отчет о прибылях и убытках за (год/х-месяцев), закончивши(й/х) … месяц … года коммерческого банка «Х»

Расшифруем отдельные статьи отчета о прибылях и убытках коммерческого банка.
Процентные доходы включают доходы банка полученные по предоставленным кредитам, размещенным депозитам, приобретенным ценным бумагам, а также за оказанные услуги.
Процентные расходы составляют расходы банка, произведенные за полученные межбанковские кредиты, привлеченные депозиты, выпущенные ценные бумаги, а также за полученные услуги.
Резерв под обесценение кредитов включает средства, отчисленные банком в данный резерв в виде страхования от обесценения предоставленных им кредитов различным категориям заемщиков. Кроме того, сюда относятся кредиты, списанные как безнадежные.
Комиссионные доходы представляют собой комиссии, взимаемые банком за расчетное и кассовое обслуживание, за инкассацию, операции с ценными бумагами и т. д.
Комиссионные расходы являются расходами банка по расчетно-кассовому обслуживанию клиентов, по его операциям с ценными бумагами, за инкассацию и т. д.
Расходы от предоставления активов по ставкам ниже рыночных представляют собой банковский убыток от предоставления кредитов и других средств банкам и другим организациям по ставкам ниже рыночных.
Расходы от привлечения средств по ставкам выше рыночных характеризуются как расходы, связанные с привлечением средств по ценным бумагам и иностранной валюте по ставкам выше рыночных.
Резерв под обесценение финансовых активов, имеющихся в наличии для продажи – резерв, созданный в банке под обесценение ценных бумаг, предназначенных им для продажи.
Резерв под обесценение финансовых активов, удерживаемых до погашения – резерв, созданный в банке под обесценение ценных бумаг, по которым банк дожидается их погашения.
Операционные расходы – затраты на заработную плату персонала банка, на услуги охраны, связи, рекламы, функционирование компьютеров, оргтехники и т. д.
Расходы / (возмещение) по налогу на прибыль – расходы банка в связи с уплатой налога на прибыль за финансовый год.
Базовая прибыль (убыток) за акцию рассчитывается путем вычитания из прибыли (убытка) на обыкновенную акцию банка за год сумм, истраченных им на покупку собственных обыкновенных акций у акционеров.
В соответствии с действующим законодательством РФ бухгалтерская (финансовая) отчетность коммерческих банков подлежит публикации в открытой печати. Коммерческие банки, являющиеся головными в составе банковских групп (например, имеющие филиалы) должны предоставить в Банк России для целей публикации консолидированную бухгалтерскую (финансовую) отчетность, включающую информацию о всех членах банковской группы. Публикуемая отчетность банков содержит агрегированные показатели по сравнению с непубликуемой.
Публикуемая отчетность банков предназначена для всех желающих ознакомиться с их деятельностью с целью иметь общее представление о ней. Публикуемая отчетность не позволяет глубоко анализировать особенности функционирования конкретного коммерческого банка. Кроме того, эта отчетность благодаря агрегированным показателям способствует сохранению тайны банковских операций.
ПРАКТИКУМ
Учебная ситуация 1.
По расчетному счету в АКБ «Инкомбанк» 23.05.2002 г. были совершены следующие операции:

Задание
Составьте бухгалтерские проводки по перечисленным операциям.
Решение
Приведем проводки по операциям, связанным с отражением операций по безналичным расчетам:

Учебная ситуация 2.
заключило депозитные договоры с АКБ «Инкомбанк» и АКБ «Индустрия». В АКБ «Инкомбанк» открыт счет А на сумму 10 тыс. руб. сроком на 2 года под 60 % годовых, начисляемых ежегодно по принципу сложного процента. В банке «Индустрия» открыты счета В и С на суммы по 10 тыс. руб. каждый на 2 года под 60% годовых, начисляемых по сложному проценту, по счету В — по полугодиям, по счету С — ежеквартально. является клиентом АКБ «Инкомбанк» и не имеет расчетного счета в банке « Индустрия».
Задание
1. Определите будущую стоимость денег, размещенных на депозитные счета; какая сумма будет находиться на депозитных счетах А, В, С через 2 года?
2. Сравните результаты и составьте бухгалтерские проводки.
Решение
Основой приведенной выше учебной ситуации является то, что деньги с течением времени изменяют свою стоимость. Деньги «сегодня» стоят дороже, чем те, которые будут получены в будущем, так как их можно инвестировать, например положить на депозит.
В основе концепции «временной стоимости денег» лежат расчеты сложного процента, механизм его действует таким образом, что процент начисляется на основную часть вклада плюс проценты после первого периода начисления и так далее на каждом периоде начисления, являющемся частью общего срока хранения вклада.
Сумма вклада с процентами S в конце срока составит:
![]()
где Р — первоначальная сумма вклада, руб.;
in — ставка на период начисления (кв., месяц);
N — количество периодов начисления в течение срока хранения вклада;
n — срок вклада в годах.
N = n • m,
где m — количество периодов начисления в году.
Начисление сложных процентов может осуществляться несколько раз в году (по месяцам, кварталам, полугодиям). В этих случаях указывается либо ставка, процентов на период, либо годовая ставка процентов, которую называют номинальной ставкой процентов j. На основе ее определяют ставку на период начисления. Сумма вклада с процентами:
![]()
Сумма начисленных процентов
J = S - P.
Определим будущую стоимость денег, размещенных на депозитных счетах А, В, С, через два года.
Счет A: S = 10(1 + 0,6)2= 25,6 тыс. руб.
J = S - Р= 25,= 15,6 тыс. руб.
Счет В: S= 10(1 + 0,6/2)4= 28,6 тыс. руб.
J = 28,6 - 10,0 = 18,6 тыс. руб.
Счет С: S = 10(1+ 0,6/4)8 = 30,6 тыс. руб.
J = 30,6 - 10,0 = 20,6 тыс. руб.
Данные расчетов и бухгалтерские проводки отразим в таблице:

Учебная ситуация 3.
Негосударственному коммерческому предприятию «Заря» была выдана ссуда на год под 50 % годовых в сумме 40 тыс. руб. на оплату материальных ценностей. Предприятие является клиентом данного банка, ссуда выдана под гарантию другого банка.
Задание
Составьте бухгалтерские проводки по балансовым счетам по выдаче и погашению кредита.
Решение
Отразим бухгалтерские проводки по этой ситуации в таблице:

Учебная ситуация 4.
По истечении срока кредитного договора негосударственное коммерческое предприятие «Люкс» должно уплатить банку 20 тыс. руб. — сумма основного долга по кредиту и 5 тыс. руб. — процент за кредит, но у него нет средств на расчетном счете.
Предприятие является клиентом банка, ссуда была предоставлена на срок от 31 до 90 дней.
Задание
Сделайте необходимые бухгалтерские проводки по просроченному кредиту и процентам.
Решение
Отразим бухгалтерские проводки по этой ситуации в таблице:

Учебная ситуация 5.
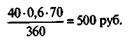
Вексель со сроком погашения до 90 дней и сроком оплаты 10.11.1997 г. предъявлен к учету в банк 01.09.2002 г. Сумма векселя 4000 руб. Учетная ставка банка 60% годовых.
Задание
Определите доход банка при учете векселя.
Сделайте необходимые проводки по учету векселя в банке и погашению.
Решение
Доход (дисконт) банка при учете векселя при ставке 60%:
![]()
Бухгалтерские проводки по учету векселя в банке отразим в таблице:

Учебная ситуация 6.
Акционерный коммерческий банк «Кредит» для привлечения заемных средств выпустил облигации на 500 тыс. руб., под 50% годовых, на год, продажу осуществил по номинальной стоимости.
Задание
1. Сделайте необходимые бухгалтерские проводки по продаже облигаций, погашению, начислению и выплате процентов.
2. Укажите, какими проводками оформляются расходы по выпуску и размещению облигаций, если они составили 2% от суммы эмиссии.
Решение
Отразим бухгалтерские проводки по этой ситуации в таблице:

Учебная ситуация 7.
АКБ «Инкомбанк» приобретает средства: вычислительные машины, оргтехнику, офисную мебель. В порядке предоплаты перечислен но в адрес иногороднего поставщика 2500 тыс. руб.
Задание
Составьте бухгалтерские проводки по оплате основных средств и оприходованию их на баланс, начислению амортизации.
Решение
Отразим бухгалтерские проводки по этой ситуации в таблице:

Учебная ситуация 8.
КБ «Спектр» приобрел столовый инвентарь для буфета на 90 тыс. руб. и настольных ламп 10 штук по 15 тыс. руб.
Задание
Составьте бухгалтерские проводки по приобретению и списанию МБП.
Решение
Отразим бухгалтерские проводки в таблице:

Учебная ситуация 9.
Коммерческий банк перечислил в порядке предоплаты 420 тыс. руб. за программный продукт для ЭВМ. Полученные компьютерные программы приняты на баланс, срок амортизации — 3 года.
Задание
Составьте бухгалтерские проводки с учетом амортизации по учету нематериальных активов.
Решение
Отразим бухгалтерские проводки по этой ситуации в таблице:

Учебная ситуация 10.
КБ «Альтернатива» приобрел в порядке предоплаты канцтовары, бумагу для ксерокса, соответственно на 85 тыс. руб. и на 90 тыс. руб. Одновременно, согласно акту, утвержденному зам. председателя банка, списываются израсходованные в течение месяца запчасти для автотранспорта — на 85 тыс. руб., материалы для упаковки денег — на 46 тыс. руб.
Задание
1. Составьте бухгалтерские проводки.
2. Охарактеризуйте аналитический учет материальных запасов.
Решение
Бухгалтерские проводки приведем в таблице:

Учебная ситуация 11.
В конце года Ставропольский филиал АКБ «Возрождение» произвел следующие операции:

Задание
Составьте бухгалтерские проводки по операциям банка в конце года.
Решение
Отразим бухгалтерские проводки по учебной ситуации в таблице:

Продолжение таблицы

БЛОК КОНТРОЛЯ
КОНТРОЛЬНАЯ РАБОТА
Выбор варианта контрольной работы происходит по начальной букве фамилии студента (см. таблицу):
Номер варианта | 1 | 2 | 3 | 4 | 5 | 6 | 7 | 8 | 9 | 10 |
Начальная буква фамилии | А-Б | В-Д | Е-З | И-Л | М-О | П-С | Т-Ф | Х-Ч | Ш-Э | Ю-Я |
Требования к оформлению письменных работ изложены в «Информационных материалах и методических рекомендациях по самоорганизации образовательного процесса студентами заочной формы обучения» (ч. 2).
Задание к контрольной работе
|
Из за большого объема этот материал размещен на нескольких страницах:
1 2 3 4 5 6 7 |



