,
ИНФОРМАТИКА
Издание четвертое, переработанное

Издательство Иркутского государственного
технического университета
2008
УДК [002.6+681.3](075.8)
ББК 32.97я 73
, . Информатика: Учебное пособие/Издание четвертое, переработанное. –Иркутск: Изд-во Иркутского гос. технич. ун-та, 2008. – 160 с.
Поясняются основные понятия информационных технологий, применяемые технические средства, классы программных продуктов, общие приемы работы с операционными системами Windows и с наиболее важными для большинства пользователей приложениями Microsoft Office: с текстовым редактором Word, с табличным процессором Excel и с системой управления базами данных Access. Уделено внимание компьютерным сетям, технологии клиент/сервер, реляционному языку SQL. С ориентацией на среду визуального программирования VBА (Visual Basic for Applications) рассматриваются основы алгоритмизации и программирования. Кроме получения практических навыков работы с популярными программными продуктами, читатель расширит свой кругозор в области информационных технологий, познакомится с историей их развития, с особенностями совершающейся на наших глазах информационной революции, ведущей к превращению индустриального общества в информационное. Авторы убеждены в том, что для будущего специалиста расширение кругозора – не менее важная задача, чем получение практических навыков в области компьютерных технологий.
©, , 2008
©Иркутский государственный технический университет, 2008
Подписано в печать хх. хх.2008. Формат 60 х 84/8.
Бумага типографская. Печать офсетная. Усл. печ. л. 10
Уч.-изд. л. 10. Тираж 1000 экз. Зак. хх
ЛР № 000 от 30.12.96
Иркутский государственный технический университет
Иркутск,
Содержание
ПРЕДИСЛОВИЕ.. 5
1. Информационные технологии. Понятие информации. Информационное общество. Информационные революции. Поколения компьютерных систем... 7
2. Вводные сведения о современных программных средствах.. 12
2.1. Особенности современных программных средств.. 12
2.2. Основные элементы управления в интерфейсе программных продуктов.. 14
2.3. Типовые диалоги в интерфейсе программных продуктов.. 20
3. Кодирование и хранение информации. Системы счисления.. 22
4. Алгоритмы. Роль алгоритмизации в решении задач и формализации знаний. Информационные ресурсы... 29
5. Технические средства информационных технологий.. 34
5.1. Основные блоки персонального компьютера.. 34
5.2. Основные периферийные устройства, подключаемые к компьютеру.. 40
5.3. Компьютерные сети.. 43
6. Классификация и обзор программного обеспечения.. 52
6.1. Системное программное обеспечение.. 52
6.2. Инструментальные средства программирования.. 65
6.3. Прикладное программное обеспечение.. 71
7. Текстовый процессор Microsoft Word.. 77
7.1. Назначение. Основные понятия.. 77
7.2. Модель фрагмента текста. Параметры форматирования. Стили.. 78
7.3. Типовая последовательность создания документа.. 80
7.4. Разработка стилей и форматирование фрагментов текста.. 82
7.6. Списки, табуляция, таблицы, многоколончатая верстка.. 86
7.7. Вставка символа, рисунка, объекта.. 89
8. Электронные таблицы Microsoft Excel.. 92
8.1. Назначение. Основные понятия.. 92
8.2. Обобщенная технология работы в электронной таблице.. 94
8.3. Ввод, редактирование, форматирование данных.. 95
8.4. Выполнение расчетов по формулам и построение диаграмм... 99
9. Системы управления базами данных. СУБД Access. 110
9.1. Основные понятия.. 110
9.2. Нормализация отношений (таблиц) и обеспечение целостности данных в реляционной базе данных.. 112
9.3. Последовательность действий при создании и использовании базы данных.. 115
1. Создание базы данных. 115
2. Создание таблиц базы данных, ввод данных во вспомогательные таблицы.. 115
3. Создание основной таблицы.. 118
4. Создание схемы данных. 118
6. Создание запросов. 120
7. Формирование отчетов. 121
10. Введение в программировние. Создание приложений на языке Visual Basic for Applications. 123
10.1. Основные понятия.. 123
10.2. Создание интерфейса пользователя.. 125
10.3. Модули, процедуры, функции.. 131
10.4. Работа с переменными, массивами, константами и со свойствами объектов.. 137
10.5. Основные инструкции языка Visual Basic и отладка программ
11. Основы защиты информации.. 153
11.1. Основные понятия информационной безопасности.. 153
11.2. Классификация угроз информационной безопасности.. 153
11.3. Юридические основы информационной безопасности.. 155
11.4. Принципы защиты информации в компьютерных системах.. 156
11.5. Меры по поддержанию работоспособности компьютерных систем
11.6. Основы противодействия нарушению конфиденциальности информации.. 157
ЛИТЕРАТУРА.. 160
ПРЕДИСЛОВИЕ
Предлагаемое учебное пособие поясняет основные понятия информационных технологий, применяемые технические средства, классы программных продуктов, общие приемы работы с операционными системами Windows и с наиболее важными для пользователей приложениями Microsoft Office. Уделено внимание компьютерным сетям, технологии клиент/сервер, реляционному языку SQL. С ориентацией на среду визуального программирования VBA (Visual Basic for Applications) рассматриваются основы алгоритмизации и программирования.
В учебно-методической литературе встречаются два подхода к описанию программных средств и методов работы с ними. Первый подход можно кратко назвать «От общего к частному», а второй – «Шаг за шагом».
При использовании первого подхода сначала излагаются общие особенности современных программных средств (событийная ориентированность, объектная ориентированность, объекты управления, используемые в интерфейсе всех современных приложений, типичные меню и типовые диалоги), а также общие методы работы с современными многофункциональными программами-приложениями (выделение объектов, использование для работы с ними меню программы, панелей инструментов, контекстного меню, клавиатурных команд и т. п.). После этого поясняются функции конкретных программных продуктов.
Второй подход заключается в том, что каждое приложение (например, Word, Excel, Access) рассматривается изолированно от других, а выполнение каждой функции описывается по шагам.
Первый подход развивает умение думать и понимать логику работы программ, а второй направлен на механическое запоминание последовательности, в которой пользователь реализует каждую функцию каждой программы. Очевидно, что в вузе должно быть отдано предпочтение первому подходу.
В предлагаемом учебном пособии разъясняются общие принципы функционирования современных программ-приложений и вытекающие из этих принципов типовые приемы работы с компьютером. Авторы полагают, что именно такой подход должен стимулировать дальнейшее самообучение, играющее важнейшую роль в овладении информационными технологиями.
Кроме получения практических навыков работы с популярными программными продуктами, читатель расширит свой кругозор в области информационных технологий, познакомится с историей их развития, с особенностями совершающейся на наших глазах информационной революции, ведущей к превращению индустриального общества в информационное. Авторы убеждены в том, что для будущего специалиста расширение кругозора – не менее важная задача, чем получение практических навыков в области компьютерных технологий.
Предлагаемое учебное пособие в основном посвящено теоретической (лекционной) части курса Информатики. Что касается лабораторных, контрольных и самостоятельных работ, то они включены в другие учебные пособия, изданные кафедрой информатики [ 2, 7, 8, 13].
1. Информационные технологии. Понятие информации. Информационное общество. Информационные революции. Поколения компьютерных систем
Предметом изучения информатики являются информационные технологии – процессы сбора, передачи и обработки данных с целью производства информации, пригодной для анализа человеком и принятия решений.
Технология (techne –греч.) – искусство, умение, процессы.
Процесс – определенная совокупность действий, направленная на достижение поставленной цели.
Информация – (от латинского informatio – разъяснение) – сведения об объектах и явлениях, уменьшающие степень неполноты знаний – степень неопределенности. Кроме этого определения, встречаются и другие, например, «отражение реального мира с помощью сведений».
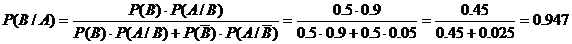
Первое определение предпочтительнее в прикладных аспектах, т. к. позволяет количественно измерять информацию через изменение неопределенности знаний, особенно в тех случаях, когда полученные сведения облегчают выбор варианта решения. Поясним это на примере собаки . Пусть собаку кормили (событие B) в интервале времени от 17 до 20 часов, причем обычно после звукового сигнала (событие А). Пусть, например, P(A/B) = 0.9, т. е. событие A предшествовало событию B в 9 случаях из 10. В то же время, звуковой сигнал в этом интервале времени иногда звучал и в тех случаях, когда собаку не кормили (событие ). Пусть, например, вероятность сигнала в таких случаях равна 0.05, т. е. P(A/ ) = 0.05. В этой ситуации часов в 6 вечера собака уже считает, что шансы получить еду (событие B) в ближайшее время и еще не получить ее (событие ) практически равны. Поэтому априорные вероятности (звукового сигнала еще не было) событий B и в этот период времени примерно одинаковы:
P(B) = 0.5, P(
) = 0.5.
Пусть теперь прозвучал сигнал (событие A), и, следовательно, по формуле Байеса [ 6 ] можно рассчитать апостериорную вероятность (после опыта) событий В и :
![]()
![]()
Формула Байеса, по-видимому, довольно точно моделирует процесс принятия решений мыслящими существами при поступлении новой информации. Получив сигнал, собака обрела уверенность в том, что сейчас ее накормят (вероятность этого равна 0.947), и у нее начала выделяться слюна – а это уже безусловный рефлекс, точно такой же, как у человека.
Оценим теперь количество информации, которое получила собака, когда прозвучал сигнал. Для этого можно воспользоваться введенным К. Шенноном понятием информационной энтропии. В нашем примере до звукового сигнала энтропия H1 = – P(B)×Log2 P(B) – P(
)×Log2 P(
) = 1. Другими словами, до звукового сигнала энтропия, являющаяся мерой информационной неопределенности, была максимальна, так как оба возможных события B и C были равновероятны. После сигнала вероятности событий B/A и
/A стали существенно отличаться друг от друга, и энтропия соответственно уменьшилась:
H2 = – P(B/A)×Log2 P(B/A) – P(
/A)×Log2 P(
/A) = 0.296.
Следовательно, количество информации, которое получила собака, услышав звуковой сигнал, равно I = H1 – H2 = 0.704.
В производственной деятельности, в управлении экономикой и в политике информация необходима для принятия обоснованных и эффективных решений, т. к. информация уменьшает степень неопределенности. Поэтому современный специалист должен уметь с помощью компьютеров и средств связи получать, накапливать, хранить и обрабатывать данные, представляя результаты в виде наглядных документов, облегчающих принятие решений. Наступило время, когда профессионал – инженер, юрист, экономист, социолог, журналист – уже с трудом справляется с потоками данных. Ему необходим инструментарий для обработки информации. Сложившуюся ситуацию сравнивают [5] с использованием средств передвижения: можно и пешком преодолеть любые расстояния, но это несовместимо с современным темпом жизни, с особенностями современного общества, которое называют информационным в отличие от предшествующего индустриального.
В пока еще привычном для нас индустриальном обществе большинство работающих занято производством материальных ценностей – велика численность рабочих многочисленных специальностей. В информационном обществе большинство работающих занято производством, хранением, переработкой и реализацией информации в разнообразных формах. Так в информационной сфере США трудится уже более 60% населения. Согласно докладу Бюро трудовой статистики США (1992 г.) в станкостроительной отрасли в 1990 г. работали 330 тысяч человек, к 2005 г., по прогнозам, должно было остаться 14 тысяч – за счет массового сокращения людей вследствие внедрения автоматических линий, роботов и манипуляторов [5] .
Стремительный переход к информационному обществу является следствием совершающейся на наших глазах информационной революции. В истории развития цивилизации произошло несколько информационных революций, каждая из которых приводила к приобретению человечеством нового качества:
1) изобретение письменности,
2) изобретение книгопечатания в середине XVI века,
3) внедрение электричества в конце XIX века и в результате последующее появление телеграфа, телефона, радио, телевидения,
4) внедрение микропроцессорных технологий, начиная с 70-х годов XX века и, как следствие, переход к информационному обществу.
Развитие информационных технологий непосредственно связано с совершенствованием компьютерных систем и средств связи, в частности, вычислительных сетей. Когда говорят о развитии электронных вычислительных машин и их программного обеспечения, то выделяют поколения ЭВМ:
50-е годы – первые ЭВМ на электронных вакуумных лампах. Эти ЭВМ отличались огромными габаритами, большим потреблением энергии, малым быстродействием, малой надежностью, программированием в кодах машинных команд.
60-е годы – полупроводниковые ЭВМ. Улучшаются их технические характеристики, разрабатываются и начинают применяться алгоритмические языки программирования, а также операционные системы (ОС) – программные комплексы, обеспечивающие функционирование других программ на конкретной ЭВМ с конкретным периферийным оборудованием.
70-е годы – ЭВМ на интегральных схемах с малой и средней степенью интеграции (сотни-тысячи транзисторов в одном корпусе). Резко уменьшаются габариты, повышается надежность и производительность, применяется доступ с удаленных терминалов, развиваются языки программирования и ОС.
С 80-х годов – вычислительные системы на больших интегральных схемах и микропроцессорах (десятки тысяч – миллионы транзисторов в одном кристалле). Массовый выпуск персональных компьютеров (ПК) приводит к переходу от централизованной технологии использования вычислительной техники к децентрализованной, а затем, с развитием вычислительных сетей, к технологии “клиент/сервер”, которая позволила совместить централизованное хранение и обработку данных на сервере с их распределенной обработкой многими компьютерами, связанными сетью друг с другом и с сервером. В качестве сервера обычно используется мощный компьютер, на котором хранятся данные многих пользователей и типовые процедуры обработки этих данных.
Вычислительные системы продолжают развиваться исключительно динамично, причем на наших глазах изменяется не только их элементная база, быстродействие, емкость запоминающих устройств, скорость передачи данных по сетям, но и средства программирования, а также стиль взаимодействия пользователя с компьютером – интерфейс пользователя. Особенно существенно интерфейс пользователя изменился с распространением семейства операционных систем Windows (95, 98, NT, ME, 2000, XP, VISTA) и приложений (многофункциональных программ), ориентированных на эти ОС. Здесь полезно сделать два замечания.
Во-первых, когда мы говорим о персональных компьютерах, то обычно имеем в виду широко распространенные компьютеры разных фирм, обобщенно называемые IBM PC, поскольку корпорация IBM первой начала их массовый выпуск. Второе место по своему распространению занимают персональные компьютеры Macintosh. Они были разработаны корпорацией Apple, причем сразу были ориентированы на применение графического (а не текстового) интерфейса пользователя. Эти компьютеры сравнительно дороги, применяются в издательских системах, компьютерными дизайнерами, конструкторами и в некоторых других областях.
Во-вторых, когда мы говорим о новизне Windows и других программных продуктов, ориентированных на это семейство операционных систем, то надо иметь в виду, что основные особенности этих программных продуктов являются новыми именно для IBM PC, но, как правило, все это еще раньше стало привычным как для пользователей компьютеров Macintosh, так и для пользователей мощных вычислительных систем, работающих под управлением ОС UNIX. Поэтому речь пойдет, по-сути, о тенденциях развития современных программных средств, с которыми мы имеем возможность познакомиться, изучая ОС Windows и программы Microsoft Office (MS Office), используемые сейчас практически на каждом предприятии в России.
Контрольные вопросы к разделу 1: перечислены в названии раздела.
2. Вводные сведения о современных программных средствах
2.1. Особенности современных программных средств
Все современные программные средства характеризуются тремя важнейшими особенностями: они событийно-ориентированные, объектно-ориентированные и обладают дружественным по отношению к пользователю унифицированным графическим интерфейсом.
Первая из названных особенностей означает, что как операционная система (ОС), так и программы-приложения после их активизации постоянно находятся в ожидании событий. Например, если пользователь наведет курсор мыши на изображенную на экране кнопку и щелкнет левой кнопкой мыши, т. е. «нажмет кнопку», то произойдет событие, смысл которого часто ясен из надписи на этой кнопке. Каждая из современных программ, а также ОС состоит из событийных и общих процедур. Событийная процедура срабатывает, как только происходит соответствующее событие. Пользователь нажал кнопку Копировать, и выделенный им объект копируется в специальную системную память – в буфер обмена. Пользователь нажал кнопку Вставить, и срабатывает процедура обратного копирования – из буфера обмена в указанное пользователем место документа или экрана. Чтобы указать это место, надо предварительно переместить в его начало курсор, щелкнув там мышью или действуя теми клавишами клавиатуры, на которых изображены стрелки. В качестве реакции на нажатие клавиши мыши или клавиатуры обязательно срабатывает соответствующая событийная процедура, например, процедура перемещения курсора. При выполнении своей функции событийная процедура может использовать общие процедуры. Например, все процедуры перемещения курсора используют общую процедуру его рисования. Важно понять, что современные приложения существенно отличаются от программ двадцатилетней давности своей многофункциональностью: каждая функция выполняется, когда происходит инициирующее событие, например, как только пользователь нажмет кнопку пункта меню, кнопку на панели инструментов или другую командную кнопку.
Вторая особенность современных программных средств заключается в том, что любой графический элемент, изображаемый на экране – прямоугольное окно, кнопка, курсор и т. п. – рассматривается как объект, обладающий свойствами и методами. Например, свойствами объекта «курсор» являются его координаты, форма и др., а методами – событийные процедуры, с помощью которых курсор перемещается, реагируя на действия пользователя. При работе с текстом, по-существу, используются два курсора: указатель мыши и текстовый курсор – чаще всего в форме мерцающего отрезка вертикальной линии. Указатель мыши обычно имеет форму стрелки или, при перемещении по тексту, – вертикального отрезка, но если пользователю надо дать понять, что следует подождать, программа изменяет свойство курсора, определяющее его форму, и на экране появляются песочные часы. Кроме видимых объектов (окно, кнопка, поле с редактируемым текстом и др.), в программах используются также многие невидимые объекты. Например, сетка, в которой отображается умещающаяся на экране часть таблицы, – это видимый объект, обладающий такими свойствами, как размеры ячеек, наличие и вид линий сетки, название, размер, цвет шрифта и т. п. Сама таблица с данными – это объект невидимый. К числу его свойств относятся такие, как число столбцов (число полей в записи – в строке таблицы) и тип каждого поля (текстовое, числовое и т. п.). Методы объекта «таблица» позволяют, например, перемещаться по ней – «встать» на первую, последнюю, предыдущую или следующую по отношению к текущей запись. Работа с невидимыми объектами обычно скрыта от пользователя внутри программ – он имеет дело с видимыми объектами, которые позволяют ему управлять программами и отображают состояние невидимых объектов. Если обозначить любой видимый объект мышью и нажать ее правую кнопку, то появится контекстное меню, позволяющее воспользоваться методами объекта, в том числе для изменения его свойств. Во всех остальных случаях – для выделения, перемещения, копирования объектов, для выбора пунктов меню, нажатия кнопок и т. д. – используется левая кнопка мыши. Если у мыши три кнопки, то средняя, как правило, вообще не используется.
Наконец, третья из важнейших особенностей современных программных продуктов – это унифицированный интерфейс пользователя, интуитивно понятный каждому, кто уяснил назначение основных объектов управления и понял, как пользоваться типовыми диалогами, применяемыми в большинстве программ. Рассмотрим самые употребительные из визуальных объектов управления программами, а также типовые диалоги.
2.2. Основные элементы управления в интерфейсе программных продуктов
К числу основных элементов управления (Controls) в современном интерфейсе пользователя программ относятся следующие визуальные объекты (см. рис. 2.1): окна, меню и кнопки нескольких типов, надпись со статическим текстом, поле с редактируемым текстом, список, поле со списком, счетчик, переключатели, флажки, полосы прокрутки.
Рис. 2.1. Основные элементы управления в интерфейсе программных продуктов
Окно – важнейший элемент интерфейса современных программных средств. Операционные системы (ОС) корпорации Microsoft потому и называются Windows (окна), что работают с окнами – прямоугольными рабочими областями экрана. Когда мы включаем компьютер, то на экране появляется основное окно ОС Windows, называемое рабочим столом (см. рис. 2.2). После вызова какого-нибудь приложения в пределах рабочего стола размещается его окно. На рис. 2.1 показано типичное окно современного приложения – окно Excel. В пределах изображенного окна размещаются: строка заголовка с кнопками системного меню, строка меню, панели инструментов, строка состояния и рабочее окно со своей строкой заголовка и полосами прокрутки. Таким образом, окна могут вкладываться друг в друга: окна приложений размещаются на рабочем столе, а рабочие окна, в которых приложения отображают состояние документов и других невидимых объектов, размещаются в пределах окна приложения. Окно может быть «распахнуто», т. е. полностью занимать рабочий стол (если это окно приложения) или рабочую область окна приложения. Но оно может и делить рабочую область с другими открытыми окнами. Состояние окна можно изменить с помощью средней кнопки системного меню, размещенного в правой части строки заголовка каждого окна. На рис. 2.1 окно приложения Excel распахнуто, а рабочее окно документа «Элементы управления программами» занимает только часть рабочей области приложения Excel. В пределах этой области окно можно передвигать «взявшись» за строку заголовка, т. е. поместив указатель мыши в пределы этой строки и удерживая нажатой левую кнопку мыши. Можно изменять размеры окна, «взявшись» за его границу или угол и перемещая мышь. С помощью правой кнопки системного меню окно можно закрыть; при этом программа обязательно выведет поверх рабочего окна небольшое диалоговое окно, содержащее кнопки с надписями, позволяющие пользователю не сохранять или же сохранить в файле документ, отображаемый в закрываемом окне. Во многих случаях пользователь желает временно освободить место на экране, не закрывая активное приложение или документ. В таких случаях надо нажать левую кнопку системного меню – окно исчезнет из рабочей области, но на панели задач ОС (см. рис. 2.2) появится кнопка с надписью в виде заголовка свернутого окна. Если нажать на эту кнопку (навести на нее мышь и щелкнуть левой кнопкой), то окно вновь распахнется. Следовательно, с помощью панели задач ОС и системных меню окон удобно переключаться с приложения на приложение или с одного документа на другой. Завершая рассмотрение роли окон, поясним также их типы. Кроме рабочего стола ОС, окон приложений и размещаемых внутри них окон документов, широко используются диалоговые окна и окна папок, отображающие состав каталогов файлов, называемых в ОС Windows папками.
Диалоговые окна называют еще модальными – программа не станет ничего делать, пока пользователь не сделает один или несколько выборов с помощью элементов управления, размещенных в окне, и не нажмет кнопку Ok (Готово, Принять и т. п.) или Cancel (Отменить, Отказаться). После этого диалоговое окно исчезнет, и программа продолжит работу.
Содержимое папок также просматривают в окнах (см. рис. 2.2). Пока достаточно представлять, что все приложения, документы и другие данные хранятся как бы в контейнерах – файлах, а файлы группируются в папки (каталоги) по принадлежности к одному проекту, одному владельцу или по какому-нибудь другому принципу. Файл – это поименованный фрагмент данных, обычно хранимый в энергонезависимой памяти (например, на жестком диске), содержимое которой сохраняется и после выключения компьютера. Папки образуют иерархическое дерево. Самая общая папка (ствол дерева) называется «Мой компьютер» (Рис. 2.2). Внутри этой папки находятся другие (ветви, отходящие от ствола), например, папка, отображающая состав жесткого диска С (обозначается С:). Внутри папки С: размещаются папки Windows (обозначается C:\Windows), Program Files, Мои документы и др. В каждой из этих папок снова размещаются папки и файлы, так что файлы можно сравнить с листьями дерева. Если в окне, отображающем состав папки, навести мышь на значок (разновидность кнопки), обозначающий вложенную папку, и выполнить двойной щелчок левой кнопкой, то появится окно, отображающее состав вложенной папки, и т. д. К файлам и папкам мы еще вернемся, а здесь продолжим рассмотрение элементов управления.
Кнопка (Button, Command Button) - важнейший после окна элемент управления в интерфейсе пользователя. По форме кнопка может быть прямоугольником с надписью или значком с рисунком. Кнопки мы видим почти в каждом окне и обязательно – в диалоговом. Из кнопок состоят также меню и панели инструментов. Поскольку надпись на кнопке может быть очень краткой, а рисунок – символическим и не сразу понятным, то во многих приложениях используются подсказки (примечания). Подсказка появляется в виде текста в рамке, если на кнопку навести указатель мыши.

Рис. 2.2. Важнейшие элементы интерфейса ОС Windows: рабочий стол с размещенными на нем ярлыками часто используемых программ и окнами открытых папок; панель задач с кнопкой Пуск и кнопками для активизации свернутых программ и папок
Меню (Menu) представляет собой совокупность кнопок. Меню приложения (см. рис. 2.1) называют еще главным меню. Оно состоит из пунктов, некоторые из которых (Файл, Правка, Вид, Формат, Сервис, Окно, ? – помощь-справка) присутствуют в меню большинства приложений. При выборе пункта меню (щелчок мышью) раскрывается подменю, пунктам которого соответствуют событийные процедуры, реализующие функции приложения. Пункты меню Файл служат для запоминания (сохранения на диске) создаваемых документов, для их открытия, печати и т. д. Пункты меню Правка позволяют отыскивать фрагмент текста, заменять его на другой, копировать в буфер обмена, вставлять из буфера в документ. Пункты меню Вид обычно определяют особенности представления документа на экране, масштаб изображения, элементы разметки страницы, требуемые панели инструментов. Например, панель инструментов Рисование надо помещать на экран для рисования схем и других рисунков. В остальных случаях эта панель просто будет занимать место, сужая рабочее окно документа. Пункты меню Формат служат для выбора шрифта, отступов строк в абзацах, способов их выравнивания (например, по центру страницы, по ширине – по обоим краям) и т. п. В меню Сервис, кроме разнообразных пунктов, регламентирующих «поведение» программы в различных ситуациях, обычно присутствует пункт Параметры. В соответствующем ему диалоговом окне есть возможность указать рабочий каталог, который программа будет предлагать пользователю для размещения его файлов. Меню Окно служит для переключения с одного документа на другой, если пользователь одновременно открыл или создал несколько файлов и работает с несколькими документами. Наконец, меню Помощь (?) открывает доступ к документации, поясняющей функции программы и методы работы. Необходимо также отметить, что большая часть функций, предоставляемых пунктами меню Файл, Правка, Формат, для удобства дублируется панелями инструментов Стандартная и Форматирование. Эти панели присутствуют в окне приложения, если установлены соответствующие флажки в диалоговом окне, появляющемся после выбора пункта меню Вид/Панели инструментов. Кроме главного меню, во всех современных приложениях используются контекстные меню, «всплывающие», если на выделенном объекте щелкнуть правой кнопкой мыши – это уже пояснялось в подразделе 2.1.
Надпись со статическим текстом (Label) обычно используется для вывода заголовков. Часто надпись размещается рядом с элементом управления, который не имеет собственного заголовка (свойства Caption). К числу таких элементов, например, относятся объекты поле и счетчик.
Поле (Text Box) – элемент управления, предназначенный для ввода и редактирования данных. Вводимый текст может быть длиннее стороны прямоугольника, ограничивающего поле, т. е. может быть похож на бегущую строку.
Счетчик (Spin Button) – элемент управления, используемый для изменения числового значения, выводимого в поле. Чаще всего счетчик размещается рядом с полем. Например, поле может отображать количество копий документа, выводимых на печать, а счетчик служит для удобства изменения этого числа. Счетчик, по-существу, состоит из двух кнопок – для увеличения и уменьшения числа, хранимого в виде свойства счетчика “Значение” (Value).
Список (List Box) – применяется для хранения текстовых строк – элементов списка. В списке пользователь выбирает один или несколько элементов. Предположим, например, что список включает в себя названия информационных слоев карты местности: автомобильные дороги, железные дороги, малые населенные пункты, крупные населенные пункты, реки, озера и т. д. Программа предоставляет пользователю этот список в диалоговом окне, а пользователь выбирает те элементы, которые ему требуются на карте, которую построит программа. Чтобы выбрать сразу несколько элементов списка, надо, удерживая нажатой клавишу <Ctrl>, поочередно щелкнуть мышкой по каждому элементу. Если выбираемые элементы размещены в списке последовательно, то можно щелкнуть только по первому и последнему элементу, но в этом случае надо удерживать клавишу <Shift>.
Поле со списком (Combo Box) – позволяет выбрать элемент из списка или ввести данные вручную. Текущее значение отображается в поле, а список возможных значений раскрывается при нажатии кнопки со стрелкой.
Переключатели (Option Buttons) – используются для предоставления возможности выбора одного варианта из нескольких (многих). В одной группе переключателей можно выбрать только один. Для объединения переключателей в группу, а также для группировки других элементов управления часто используется еще один объект – рамка (Frame). Важнейшим из свойств рамки является заголовок (Caption).
Флажок (Check Box) – квадратик, который пользователь может пометить, щелкнув по нему мышью. В помеченном квадратике появляется галочка. Если по флажку щелкнуть мышью повторно, то галочка исчезнет, т. е. пометка будет отменена. Одним из свойств флажка является заголовок (Caption), располагающийся справа от квадратика. Заголовок – это название флажка, поясняющее его смысл. Например, если при использовании текстового процессора Word выбрать пункт меню Сервис/Язык/Расстановка переносов, то появится диалоговое окно, в котором можно пометить флажок Автоматическая расстановка переносов. В зависимости от состояния этого флажка Word поступает по-разному, когда очередное слово не помещается в текущей строке. Если флажок не установлен, то слово целиком перейдет в следующую строку. Если флажок установлен, то слово будет перенесено по слогам.
2.3. Типовые диалоги в интерфейсе программных продуктов
Диалоги между программой и пользователем реализуются с помощью уже упоминавшихся диалоговых окон. Разнообразие применяемых диалогов бесконечно, но некоторые диалоги используются практически во всех современных программах. К их числу относятся: Открыть (имеется в виду – файл), Сохранить как (т. е. в каком формате, в каком каталоге и под каким именем), Параметры страницы и Печать. Эти диалоги открываются с помощью одноименных пунктов в меню Файл, имеющемся практически в каждом приложении. На рис. 2.3, 2.4 показаны два из этих диалогов – Параметры страницы и Сохранить как.
Эти диалоги используются на начальной стадии создания нового документа. После установки параметров страницы, и внесения в документ нескольких строк рекомендуется выполнить первое сохранение формируемого файла. При этом надо выбрать каталог (папку – см. рис. 2.4) для его размещения, дать ему имя и выбрать тип. Чтобы облегчить эту работу, в диалоговом окне предусмотрены соответствующие поля со списками. Тип документа (файла), по-существу, означает формат его хранения. Например, если документ, подготовленный с помощью Word 2003, записать в формате Word 6.0/95 или RTF, то с ним можно работать на другом компьютере, где установлен Word 6.0.
|
Из за большого объема этот материал размещен на нескольких страницах:
1 2 3 4 5 6 7 8 9 10 11 12 |



