Таблица 3
Критерии для принятия решений об ограничении потребления
загрязненных продуктов питания в первый год после
возникновения аварии (НРБ-99, табл. 6.5)
Радионуклиды | Удельная радиоактивность в пищевых продуктах, кБк/кг | |
Уровень А | Уровень Б | |
131J, 134Cs, 137Cs | 1 | 10 |
90Sr | 0,1 | 1 |
238Pu, 239Pu, 241Am | 0,01 | 0,1 |
В настоящее время возможность загрязнения продовольствия обусловлена радионуклидами цезий-137 и стронций-90, попавшими во внешнюю среду из-за испытаний ядерного оружия и аварий в 50-60 гг., а также в результате выбросов аварии на ЧАЭС в 1986г.
Таким образом, в случае аварии радиационный контроль должен обеспечивать не превышение нормативов по уровню А (табл. 2) для радионуклидов йода-131, цезия-134 и цезия-137, бета-распад которых сопровождается гамма-излучением, «чистых» бета - излучающих радионуклидов стронция-90 и его дочернего продукта иттрия-90, а также суммарной активности альфа - излучающих радионуклидов, приведенных в таблице 2.
В условиях радиационной обстановки, сложившейся к настоящему времени, радиационный контроль продовольствия должен обеспечить не превышение дозового предела в 1 мЗв/год по радионуклидам стронций - 90 и цезий-137.
Основной особенностью радиационного контроля на рынках является необходимость оценки радиационной безопасности большого количества мелких партий продовольствия за короткое время. Поэтому непреложным требованием к радиационному контролю является приготовление счетных образцов прямо из вещества проб без какого-либо концентрирования, и по возможности, без изменения, гомогенизации и т. п. Эти требования делают принципиально невозможным измерение удельной активности нормируемых радионуклидов по их альфа - или бета-излучению и оставляют возможность проведения радиационного контроля только по гамма-излучению.
Согласно табл.2 для уровня А допустимый предел суммарной активности альфа - излучающих радионуклидов равен 10 Бк/кг. В то же время погрешность измерения пробы «нулевой активности» за время 1800 с даже для лучших альфа - радиометров – не менее 50 Бк/кг, а уж о представительности измерения и говорить не приходится, поскольку масса минимального «толстослойного» по альфа - излучению образца на практике не бывает более 1 г.
В условиях настоящего времени наиболее жесткие нормативы по бета - излучающему радионуклиду стронций-90 для продовольствия биологического происхождения установлены в СанПиН (2.5) по позиции – специализированные продукты для лечебного питания детей – 25 Бк/кг по радионуклиду стронций-90 и 40 Бк/кг по радионуклиду цезий-137. В продовольствии биологического происхождения обязательно содержится бета - излучающий естественный радионуклид калий-40, активностью – 40 – 200 Бк/кг. В этих обстоятельствах даже при использовании бета - спектрометрических радиометров погрешность измерения пробы «нулевой активности» по радионуклиду иттрий-90 при времени измерения 1800 с – не менее 70 Бк/кг, т. е. даже в настоящее время осуществление радиационного контроля радионуклида стронций-90 по бета -излучению на рынках практически невозможно. Тем более это проблематично в условиях аварийной ситуации, например при наличии в выбросах бета - излучающих радионуклидов йода-131, цезия-134, а также церия-144, празеодима-144, рутения-106, рордия-106
В то же время, благодаря сравнительно малому самопоглощению в веществе пробы биологического происхождения гамма – излучение может донести до детектора информацию об удельной активности продовольствия массой до 10 кг и более. Благодаря этому обстоятельству в условиях нашего времени погрешность измерения пробы «нулевой активности» радионуклида цезия-137 для типичных сцинтилляционных гамма -спектрометрических радиометров за время измерения 1800 с составляет (2 – 5).Бк/кг для счетных образцов объемом не менее 0,5 дм3
Контроль радиоактивного загрязнения продукции на продовольственном рынке осуществляют путем оценки соответствия измеренной удельной активности цезия-137 в контролируемом объекте «Контрольным уровням» (КУ). Не превышение «Контрольных уровней» в контролируемом объекте позволяет гарантировать их соответствие требованиям радиационной безопасности без измерения удельной активности стронция-90, т. е. гарантировать выполнение условия:
(Q/H)Cs-137 + (Q/H)Sr-90 ≤ 1, где
Q – удельная активность радионуклидов 137Cs и 90Sr в контролируемом объекте;
H – нормативы удельной активности радионуклидов 137Cs и 90Sr, установленные для данного контролируемого объекта.
При невыполнении данного условия для получения окончательного заключения о соответствии контролируемого объекта требованиям радиационной безопасности проводят полное радиологическое исследование (концентрирование проб, их спектрометрию или радиохимическое исследование) с определением удельной активности каждого радионуклида присутствующего в пробе.
Полное радиологическое исследование проводят в областной ветеринарной лаборатории или при наличии условий в зональной, межрайонной, районной ветеринарной лаборатории, лаборатории ветеринарно-санитарной экспертизы на продовольственном рынке.
Радиационную безопасность продукции животного и растительного происхождения устанавливают на основании результатов радиационной ветеринарно-санитарной экспертизы.
Опасными признают продукцию животного и растительного происхождения, не отвечающую обязательным требованиям безопасности, установленным санитарными, ветеринарными правилами и нормами.
Заключение о радиационной безопасности контролируемых объектов и путях их использования (утилизации, уничтожения) продукции не отвечающей этим требованиям выдают ветеринарные врачи ( ветврачи-радиологи) на основании результатов ее экспертизы.
Для всех видов продукции животного и растительного происхождения, подвергаемых радиационному контролю на продовольственных рынках, введены три значения контрольных уровней, для трех видов продукции.
КУ1 = 20 Бк/кг – для всех видов продукции, в которых нормируемое содержание цезия-137 должно быть меньше 80 Бк/кг (НCs-137 < 80 Бк/кг);
КУ2 = 40 Бк/кг – для продукции, в которой содержание цезия-137 находится в пределах от 80 до 400 Бк/кг (80 ≤ НCs-137 < 400 Бк/кг);
КУ3 = 100 Бк/кг - для продукции, в которой содержание цезия-137 равно или больше 400 Бк/кг (НCs-137 ≥ 400 Бк/кг).
Оценку соответствия результатов исследований требованиям радиационной безопасности проводят по результатам измерения удельной активности радионуклидов цезия-137 или йода-131 (Qизм.) и абсолютной погрешности (∆Q). Соответственно, верхняя граница области возможных значений Q равна (Qизм.+ ∆Q), и в общем виде Q характеризуется соотношением: Q ≤ Qизм. + ∆Q. Если Qизм. < ∆Q из-за флуктуаций фона радиометрической установки, то Qизм. принимается равным 0 (Qизм.= 0) и область возможных значений Q характеризуется соотношением: Q ≤ ∆Q.
Продукция отвечает требованиям радиационной безопасности если (Qизм.+ ∆Q) ≤ КУ. Такую продукцию реализуют на рынке без ограничений. Если (Qизм.+ ∆Q) > КУ, то продукцию нельзя признать соответствующей требованиям радиационной безопасности.
По результатам испытаний продукцию можно признать несоответствующей требованиям радиационной безопасности если ∆Q ≤ КУ/2. В этом случае следует провести исследование данной продукции в лаборатории радиационного контроля в полном соответствии с требованиями методических указаний МУК 2.6.1.717–98 для пищевых продуктов и ветеринарными правилами для кормов (ВП 13.5.13–00).
Средства измерения. Для определения содержания радионуклидов в продукции животного и растительного происхождения на продовольственных рынках используют приборы, отвечающие требованиям, предъявляемым к средствам измерения и внесенные в табель оснащения государственных ветеринарных лабораторий. Необходимым условием пригодности гамма - спектрометра, - радиометра для использования на продовольственных рынках является возможность измерения удельной активности радионуклидов цезия-137 и йода-131. К проведению измерений допускаются приборы, которые в стандартных условиях обеспечивают значение погрешности измерения пробы «нулевой» активности не более 10 Бк/кг для радионуклидов цезия-137 и 40 Бк/кг для радионуклидов йода-131. За пробу «нулевой» активности данного радионуклида принимаются пробы, в которых удельная активность радионуклида не превышает 0,01 Н (Н – норматив, установленный СанПиН для данного радионуклида). Поскольку основной поток на испытания составляют именно пробы «нулевой» активности, то в большинстве случаев задача испытаний может быть сведена к измерению активности цезия-137 в счетных образцах, приготовленных из проб продукции животного и растительного происхождения без какого-либо концентрирования на радиометрических установках со сцинтилляционным счетчиком.
В настоящее время создана новая модификация радиометров – спектрометров типа РСУ-01 «Сигнал-М», СКС-99 «Спутник», в которой учтена специфика проведения измерений в условиях продовольственных рынков, мясо - и молокоперерабатывающих предприятий. Измерение активности цезия-137 в сельскохозяйственной продукции можно проводить в том виде, в котором она поступила в лабораторию на испытания. В качестве объекта измерения может быть, например, фляга с молоком, часть туши животного, банка с вареньем, мешок с картофелем и т. п.
Специальный коллиматор дает возможность проводить измерения в таких объектах, как туша, полутуша и т. п., подвешенных на крюках, что существенно упрощает процесс измерения при входном радиационном контроле мясосырья. Кроме того, этот тип измерения позволяет проводить прижизненное определение активности радионуклида цезия-137 в КРС перед забоем.
Новое программное обеспечение, записанное в приборе, включает в себя контрольные уровни, введенные в нормативных документах ВП 13.5.13-00 и ВП 13.5.13/05-02, регламентирующих порядок и правила оценки радиационной безопасности продукции животного и растительного происхождения лабораториями ветеринарно-санитарной экспертизы на продовольственных рынках, а также порядок и правила входного оперативного радиационного контроля мясного сырья и крупного рогатого скота при приемке на мясоперерабатывающих предприятиях. В процессе измерения прибор периодически проводит обработку набранного спектра и сравнение полученных результатов с соответствующим контрольным уровнем. В тот момент, когда достигнутая точность измерения позволяет дать однозначный ответ о соответствии исследуемой продукции контрольному уровню, прибор подает звуковой сигнал о том, что измерение может быть завершено. Специальное программное обеспечение позволяет получить ответ о соответствии продукции самому жесткому уровню КУ1 = 20 Бк/кг менее, чем за 5 минут.
4.1. Порядок проведения измерений прибором
СКС-99 «Спутник»
Подготовка к работе в условиях рынка: включить блок питания и переключатель на боковой поверхности электронного устройства. На экране появиться сообщение: «Подготовка спектрометра к работе, ждите…». Через несколько секунд на экране появится основное меню: «Пуск. Обработка. Прибор готов к работе».
Калибровка по энергии. Для проведения энергетической калибровки необходимо выполнить следующие операции:
- нажать на клавишу «Ввод». На экране появится меню: «Калибровка. Фон. Измерение»;
- выбрать тип измерения «Калибровка» нажатием клавиши (Ü) и подтвердить свой выбор нажатием клавиши «Ввод»;
- выполнить появившуюся на экране команду: «Установите калибровочный источник Na-22 на детектор»;
- нажать клавишу «Ввод». На экране появится меню: «Стоп. Обработка». Слева от слова «Стоп» будет высвечиваться время измерения;
- через 100 с на экране появится сообщение:
КэВ:
Кан: N1 N2
Контр. ск. сч. = N•A имп/c
- записать данные в рабочий журнал.
Процесс калибровки закончен.
При проведении энергетической калибровки следует помнить, что
значение скорости счета от контрольного источника меняется с течением времени за счет распада радионуклида в соответствии с формулой N(t). = N0∙К(t),
где. N0 (имп/с) – скорость счета от контрольного источника, указанная в свидетельстве о поверке,
K(t) – коэффициент, учитывающий радиоактивный распад радионуклида Na-22 (приведен в таблице).
Поэтому если контрольная скорость счета от калибровочного источника отличается от значения указанного в свидетельстве о поверке, необходимо вносить поправку на радиоактивный распад в соответствии с приведенной таблицей.
t, месяцев после поверки | 0 | 3 | 6 | 9 | 12 | 15 | 18 |
К (t) | 1,0 | 0,94 | 0,88 | 0,82 | 0,77 | 0,72 | 0,67 |
Внимание! Срок эксплуатации источника составляет 5 лет. По истечении этого срока источник нуждается в замене.
Измерение активности или фона.
Контроль фона. Для измерения фона необходимо выполнить следующие операции:
- нажать клавишу «Ввод» и войти в меню: «Пуск. Обработка»;
- нажать клавишу «Ввод». На экране появится меню: «Калибровка. Фон. Измерение»;
- клавишей (Þ) обозначить режим «Фон»;
- нажать клавишу «Ввод». На экране появится сообщение: «Фон_М. Фон_2Пи»;
- для измерения фона нажать клавишу «Ввод» (если работа проводиться в геометрии Маринелли);
- выполнить команду «Уберите источник с детектора»;
- установить на детектор пустой сосуд Маринелли и закрыть его свинцовой крышкой;
- нажать клавишу «Ввод» и провести измерение фона в течение 30 минут;
- по истечении 30 минут на экране появится сообщение «Скорость счета от 300 КэВ до 3000 КэВ … имп/с»;
- записать значение фона в рабочий журнал;
- нажать клавишу «Ввод». На экране появится сообщение «Фоновый спектр сохранен в буфере 1».
4.1.1. Измерение активности в режиме Маринелли.
Приступая к измерению активности счетного образца необходимо выполнить следующие операции:
- нажать клавишу «Ввод» и войти в основное меню: «Пуск. Обработка»;
- нажать клавишу «Ввод». На экране появится меню: «Калибровка. Фон. Измерение»;
- нажатием клавиши (Ü) обозначить режим «Измерение»;
- нажать клавишу «Ввод». На экране появится сообщение: «Маринелли 2 Пи»;
- нажать клавишу «Ввод». На экране появится сообщение: «М_пробы 1000» с выделенной первой цифрой. Любую из цифр можно выделить клавишей (Þ), а изменить клавишами (Ý) или (ß);
- установить нужную массу пробы, предварительно определив её с помощью взвешивания (за вычетом веса пустого сосуда Маринелли);
- нажать клавишу «Ввод». На экране появится информация: «Норма 020 Бк/кг». Значение нормы можно изменить нажатием клавиш (Ý) или (ß) в зависимости от вида контролируемой продукции;
- нажать клавишу «Ввод» и выполнить команду: «Установите сосуд Маринелли с пробой на детектор»;
- нажать клавишу «Ввод». На экране появится меню: «Стоп. Обработка» и слева от слова «Стоп» будет высвечиваться время измерения. Через некоторое время нажать клавишу (Þ), при этом будет обозначен режим «Обработка»;
- нажать клавишу «Ввод». На экране появится сообщение: «цезий-137: XX,XX ± YY,YY Бк/кг»;
- в случае, если удельная активность пробы превышает норму, прозвучат три коротких сигнала. Убедитесь в превышении нормы по данным измерений, выведенных на экран;
- нажать клавишу «С». На экране появится меню: «Стоп. Обработка», при этом измерения будут продолжаться;
- для остановки измерения нажать клавишу «Ввод»;
- нажать клавишу «С» и войти в основное меню «Пуск. Обработка». Процесс измерений на этом закончен.
-
4.1.2. Проведение измерений в режиме «2Пи».
Контроль фона. Для измерения фона необходимо выполнить следующие операции:
- убрать сосуд Маринелли с детектора, а детектор установить на уровне плоскости стола;
- нажать клавишу «Ввод». На экране появится меню: «Калибровка. Фон. Измерение»;
- нажатием клавиши (Þ) обозначить режим «Фон»;
- нажать клавишу «Ввод». На экране появится режим «Фон_М. Фон_2Пи»;
- нажатием клавиши (Þ) обозначить режим «Фон_2Пи»;
- заполнить водой измерительный таз, входящий в комплект прибора, и поставить его на детектор;
- нажать клавишу «Ввод» и провести измерение фона в течение 30 минут.
Измерение активности. Приступая к измерению активности необходимо выполнить следующие операции:
-нажать клавишу «Ввод» и войти в основное меню «Пуск. Обработка»;
- нажать клавишу «Ввод». На экране появится меню: «Калибровка. Фон. Измерение»;
- нажатием клавиши (Ü) установить режим «Измерение»;
- нажать клавишу «Ввод» и войти в меню «Маринелли 2Пи»;
- нажатием клавиши (Þ) обозначить режим «2Пи»;
- нажать клавишу «Ввод». На табло появиться сообщение: «Норма 020 Бк/кг». Значение нормы, или контрольного уровня «КУ», можно изменить нажатием клавиш (Ü), (Þ), (↑) или (ß);
- установить нужный контрольный уровень в зависимости от вида контролируемой продукции;
- нажать клавишу «Ввод» и выполнить команду «Поместите исследуемый объект (ведро с продуктами или фруктами, ящик, мешок и т. д.) на детектор»;
- нажать клавишу «Ввод». На экране появится меню: «Стоп. Обработка» и слева от слова «Стоп» будет высвечиваться время измерения;
- через некоторое время нажать клавишу (Þ), при этом будет обозначен режим «Обработка»;
- нажать клавишу «Ввод». На экране появится сообщение: «цезий-137: XX,XX ± YY,YY Бк/кг»;
- в случае, если удельная активность пробы превышает норму, прозвучат три коротких сигнала. Убедитесь в превышении нормы по данным измерений, выведенных на экран;
- нажать клавишу «С». На экране появится меню: «Стоп. Обработка», при этом измерения будут продолжаться;
- для остановки измерения нажать клавишу «Ввод»;
- нажать клавишу «С» и войти в основное меню «Пуск. Обработка». Процесс измерений на этом закончен.
Просмотр спектра, находящегося в нулевом (активном) буфере.
- нажать клавишу «Ü С» для выхода в альтернативное меню;
- выбрать пункт меню «Интеграл». На спектре появятся две вертикальные линии, соответствующие маркерам А и В, а также номер канала (300) и количество импульсов, соответствующее позиции маркера А;
- нажатием клавиш (Ü,Þ) можно вывести на дисплей значение энергии в КэВ, соответствующее позиции маркера А;
- нажатием клавиш (Ü) и (Þ) можно перемещать маркер в пределах экрана, а клавиши (Ý) и (ß) позволяют изменять масштаб по вертикали;
- последовательно нажимая клавишу «Ввод» можно выводить на экран дисплея значения, соответствующие маркеру В, а также значения скоростей счета импульсов в части аппаратурного спектра, находящегося между маркерами А и В, и результат обработки спектрограммы по методу «трапеции»;
- для выхода из режима просмотра нажать клавишу «С».
Сохранение спектра в памяти. Память СКС-99 «Спутник» позволяет хранить до 80 спектров. Измеряемый спектр всегда находится в нулевом (активном) буфере. Спектры фона для устройств, входящих в состав прибора, хранятся в следующих n-буферах (n – число устройств). Они помещаются автоматически каждый в свой буфер. В остальные буферы можно помещать измеренные спектры. Для запоминания спектра необходимо нажать комбинацию клавиш (Ü Þ).
Просмотр записанного спектра. Для просмотра записанного спектра необходимо скопировать его в нулевой буфер. Для этого:
- нажать клавишу «Ü С» для выхода в альтернативное меню;
- выбрать пункт меню «Память». На экране появится описание находящегося в нулевом буфере спектра;
- нажимая клавиши (Ý) и (ß) вывести на экран информацию о том буфере, в котором хранится спектр, предназначенный для просмотра;
нажать клавишу (ÞÜ) для копирования выбранного спектра в нулевой буфер.
Для удаления спектра из памяти: '
- нажать (Ü )(С) для выхода в альтернативное меню;
- выбрать пункт меню «ПАМЯТЬ»;
- с помощью (Ý) и (ß) выбрать буфер памяти, из которого нужно удалить спектр;
- - нажать (Ü)(С).
Измерение мощности эквивалентной дозы.
- отсоединить блок детектирования и вместо него на вход подсоединить специальную заглушку, входящую в комплект прибора;
- включить прибор;
- нажать клавишу «Ü С» для выхода в альтернативное меню;
- выбрать пункт меню «МЭД». На дисплее появиться надпись «Измерение МЭД»;
- после набора достаточной статистики появится значение рассчитанной мощности эквивалентной дозы в мкЗв/час.
-
4.2. Результат измерения
Результатом измерения активности р/н в счетном образце Асч является
Аизм - ΔАсч <Аизм ≤Асч +ΔАсч, (1)
интервал значений активности от (Аизм -ΔАсч) до (Аизм|+ΔАСЧ), в котором с вероятностью Р=0,95 находится значение измеряемой величины Асч. При этом, если Аизм-ΔА<0, т. е. часть интервала {(Аизм-ΔАсч) ÷Аизм} находится в области отрицательных значений,

то следует считать, что с вероятностью Р=0,95 значение величины Асч находится в интервале {0÷ΔАизм+ΔАсч)}.
Если при соблюдении условия |Аизм|<ΔАсч в результате статистических флуктуаций фона радиометрической установки оказалось, что Аизм<0,

то следует считать, что значение величины Асчс вероятностью Р=0,95 находится в интервале {0 ÷ ΔАсч}.
Результатом определения удельной активности р/н в веществе пробы Q является соотношение:
Qизм - ΔQ < Q ≤ Qизм + ΔQ, (2)
Где Qизм = Аизм /К·Мпр ; ΔQ = ΔАсч/К·Мпр+Δпр,
здесь Δпр - составляющая погрешности, обусловленная процедурой приготовления счетного образца из вещества пробы.
4.3. Соответствие продовольствия требованиям критериев радиационной безопасности
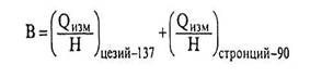
Результаты испытаний проб продовольствия на соответствие критериям безопасности определяют по показателю соответствия В и его погрешности ΔВ, значения которых рассчитывают по результатам определения удельной активности цезия-137 и стронция-90 в пробе:

(3)
(4)
где,
Q – удельная активность радионуклидов 137Cs и 90Sr в контролируемом объекте;
H – нормативы удельной активности радионуклидов 137Cs и 90Sr, установленные для данного контролируемого объекта.
ΔВ – показатель погрешности.
Продовольствие безусловно соответствует требованиям радиационной безопасности в СанПиН, если
В+ΔВпр ≤ 1 (5),
|
О В-∆В В+∆В |
т. е.
Продовольствие безусловно не соответствует требованиям, если .
В-ΔВ >1 т. е (6).

5.4. Продовольствие нельзя признать соответствующим требованиям безопасности, если
В –ВΔ ≤ 1 < В + ΔВ (7).

Однако при этом следует иметь в виду, что при проведении более точных изменений (т. е. при уменьшении значения ΔВ*) может оказаться, что В+ΔВ<1.
При выполнении условия (7) заключение о несоответствии пробы продовольствия требованиям радиационной безопасности в СанПиН может быть сделано, только если при измерениях соблюдено условие точности
ΔВ ≤ 0,3 (8).
*Снижение значения ΔВ достигается путем увеличения значений коэффициента концентрирования С, массы Мпр, времени измерения t и др.
Раздел 5. Спектрометрические методы
радиологического контроля
До аварии на ЧАЭС контроль за активностью цезия-137 и стронция-90 в продукции животноводства
и растениеводства
основывался на селективной радиохимической экстракции цезия и стронция из вещества проб с измерением активности каждого радионуклида в соответствующих счетных образцах на бета - радиометрических установках (например УМФ-1500, ДП-100 и т. п.) После аварии на ЧАЭС необходимый объем измерений возрос настолько, что осуществление на этой аппаратурно-методической основе массового контроля оказалось невозможным. В первую очередь из-за ограничений, обусловленных слишком большой продолжительностью и трудоемкостью химических процедур приготовления счетных образцов.
Выходом явилось использование компьютеризированных гамма-, бета - спектрометрических Комплексов (далее Комплексы). Применение спектрометров позволяет в значительной степени упростить и удешевить процедуры приготовления счетных образцов, а возможности современной вычислительной техники, реализованные в программном обеспечении, позволяют автоматизировать обработку спектрограмм, все вычисления значений удельной активности, их погрешности и т. д. В методическом обеспечении сохраняются апробированные традиционные способы предварительного отбора проб, принятые в различных ведомствах, а методики приготовления счетных образцов изменены для использования возможностей спектрометрических методов радиометрии. Внедрение Комплексов в систему измерений лабораторий радиационного контроля помогло обеспечить работу по соблюдению требований ВДУ-93 к содержанию цезия-137 и стронция-90 в продовольствии. Действие ВДУ-93 закончилось в связи с переходом к новым нормам радиационной безопасности (НРБ). В соответствии с НРБ разработаны нормативы допустимых уровней удельной активности цезия-137 и стронция-90 в различных видах продовольствия, вошедшие в «Гигиенические требования к качеству и безопасности продовольственного сырья и пищевых продуктов. Санитарные правила и нормы. СанПиН 2.3.2.560-96».
Следует подчеркнуть, что при определении соответствия продовольствия требованиям радиационной безопасности задача испытаний сводится лишь к получению однозначного ответа на вопрос: «Удовлетворяет это продовольствие критериям радиационной безопасности или нет?», и при этом не ставится задача определения истинных значений удельной активности радионуклидов с максимальной точностью.
5.1. Измерение активности 137Сs и 90Sr в счетных образцах с помощью спектрометрического комплекса «Прогресс»
Подготовка спектрометра к работе.
1. Включить компьютер, питание детектора и принтер.
2. Прогреть установку 45 минут.
3. Войти в рабочую программу нажав клавишу F 2.
4. Отметить в меню маркером строку «Прогресс 3.2».
5. Нажать клавишу «ЕNTER».
Порядок проведения измерений
Для проведения измерений необходимо выполнить следующие операции:
1. Провести калибровку обоих измерительных трактов (гамма и бета) по энергии в следующей последовательности:
1. Нажать мышью кнопку «Пуск».
2. Выбрать мышью в списке задач строку «Эн. Калибр».
3. Поместить калибровочный источник на детектор.
4. Закрыть крышку свинцовой защиты.
5. Нажать кнопку «Продолжить».
По истечении 150 с. сравнить результаты калибровки (позиции пиков и контрольные скорости счета) с контрольными значениями, полученными при первичной поверке установки.
Контрольные значения
(для гамма-спектрометрического тракта):
энергия
позиция 252±20% 335±20%
скорость счета в диапазоне 600-720кэВ 41±10%
Контрольные значения
(для бета-спектрометрического тракта):
энергия кэВ
позиция 49 ± 20% 820 ± 20%
скорость счета в диапазоне 250-500 кэВ 290 ± 10%
Убрать с экрана сообщение о результатах энергетической калибровки, щелкнув левой клавишей мыши в любом месте экрана
2. Приготовить из пробы счетные образцы для измерения активности:
- на гамма-спектрометре заполнить сосуд Маринелли (1л) веществом пробы и определить массу полученного таким образом счетного образца МГ;
- на бета-спектрометре приготовить в измерительной кювете из вещества пробы счетный образец (таблетку равной толщины) и определить его массу.
3. Запустить измерение активности счетного образца на гамма - спектрометре в геометрии «Маринелли» в следующем порядке:
- нажать кнопку «Пуск»;
- выбрать задачу «Маринелли» и подтвердить свой выбор повторным нажатием на соответствующую кнопку (левая кнопка мыши);
- ввести ответы на вопросы:
Номер пробы: НПР нажать Enter
Тип пробы: пищ. Пр. нажать Стрелка вниз
Масса сч. Образца: мг нажать Enter
- нажать кнопку «Продолжить».
4. Запустить измерение активности счетного образца на бета-спектрометре по алгоритму «учет -40К»:
|
Из за большого объема этот материал размещен на нескольких страницах:
1 2 3 4 5 |




