ГЛАВА ПЯТАЯ
ПОДОБИЕ И МОДЕЛИРОВАНИЕ ПРОЦЕССОВ КОНВЕКТИВНОГО ТЕПЛООБМЕНА
5.1. ОБЩИЕ ПОЛОЖЕНИЯ
Конвективный теплообмен описывается системой дифференциальных уравнений и условиями однозначности с большим количеством переменных. Попытки аналитического решения полной системы уравнений наталкиваются на серьезные трудности. Поэтому большое значение приобретает экспериментальный путь исследования. С помощью эксперимента для определенных значений аргументов можно получить числовые значения искомых переменных и затем подобрать уравнения, описывающие результаты опытов. Однако при изучении столь сложного процесса, как конвективный теплообмен, не всегда легко проводить и опытное исследование.
Для исследования влияния на процесс какой-либо одной величины остальные нужно сохранять неизменными, что не всегда возможно или затруднительно из-за большого количества переменных. Кроме того, при этом нужно быть уверенным, что результаты, получаемые с помощью какой-либо конкретной установки (модели), можно перенести и на другие аналогичные процессы (образец.) Эти трудности помогает разрешить теория подобия. С помощью теории подобия размерные физические величины можно объединить в безразмерные комплексы, причем так, что число комплексов будет меньше числа величин, из которых составлены эти комплексы. Полученные безразмерные комплексы можно рассматривать как новые переменные.
При введении в уравнения безразмерных комплексов число величин под знаком искомой функции формально сокращается, что упрощает исследование физических процессов. Кроме того, новые безразмерные переменные отражают влияние не только отдельных факторов, но и их совокупности, что позволяет легче определить физические связи в исследуемом процессе.
Теория подобия устанавливает также условия, при которых результаты лабораторных исследований можно распространить на другие явления, подобные рассматриваемому. Ввиду этого теория подобия прежде всего является теоретической базой эксперимента, а также важным подспорьем теоретических исследований. Хотя методами теории подобия вид искомой функции не может быть определен, эта теория облегчает в ряде случаев анализ процесса и описание полученных результатов.
Теория подобия развивалась в основном благодаря трудам советских ученых , , Л. С Эйген-сона, , Б. С Петухова и др. [37, 38, 77, 78, 79, 152, 220].
Для практического использования выводов теории подобия необходимо уметь приводить к безразмерному виду математические описания изучаемых процессов.
Имеется несколько методов выполнения этой операции. Мы воспользуемся одним из них — методом масштабных преобразований.
5.2. ПРИВЕДЕНИЕ МАТЕМАТИЧЕСКОЙ ФОРМУЛИРОВКИ КРАЕВОЙ ЗАДАЧИ К ЗАПИСИ В БЕЗРАЗМЕРНЫХ ПЕРЕМЕННЫХ
Пусть поверхность твердого тела омывается несжимаемой жидкостью, температура и скорость которой вдали от тела постоянны и равны соответственно t0 и w0. Размер тела l0 задан. Температура поверхности тела равна tc. Для определенности примем, что tc > t0. Будем полагать, что физические параметры жидкости постоянны (учтем только подъемную силу, возникающую в результате зависимости плотности от температуры).
б и др.
129
т >
Однако в такой задаче применительно к течению в трубе отсутствует заданная характерная скорость ш0 и вопрос о масштабе скорости решается по-другому.
Если теплообмен жидкости, текущей по трубе, происходит при граничных условиях II рода (задана плотность теплового потока на стенке), то искомой величиной является температура жидкости на выходе из трубы. Безразмерная температура на выходе из трубы одинакова для подобных процессов:
(14.30) |
* = idem,
при этом отсчет температуры можно производить от начальной температуры жидкости (на входе), а в качестве масштаба избыточной температуры использовать величину qro/K, К.
(14. |
Поля температуры, скорости и давления получены в результате решения системы уравнений конвективного теплообмена при определенных условиях однозначности. Поскольку поля безразмерных величин для подобных процессов тождественны, то должны быть тождественны и системы безразмерных уравнений, из которых получены указанные поля. Следовательно, класс подобных явлений определяется одной и той же системой безразмерных уравнений. Коэффициенты уравнений имеют одно и го же значение для всех подобных процессов. Если ограничиться случаем вынужденного движения жидкости без учета сил тяжести в потоке, то для подобных процессов имеем:
Ре = idem; Re = idem,
так как именно эти числа фигурируют в качестве коэффициентов безразмерных дифференциальных уравнений энергии и движения.
Условия (14.27) — (14.32) представляют собой совокупность следствий {Bi} (необходимых условий), вытекающих из факта подобия. Вопрос о следствиях В,- рассмотрен здесь на простом частном случае. При общем подходе эти положения формулируются в виде первой и второй теорем подобия.
Первая теорема подобия: если физические процессы подобны между собой, то одноименные числа подобия попарно имеют одинаковые значения.
336
Числом подобия называют безразмерный комплекс, составленный из величин, существенных для данного процесса. Конкретные числовые значения координаты, скорости, температуры, безразмерные числа в условиях (14.27) — (14.32) —все это числа подобия; вместе с тем координаты, скорость и температура в безразмерном виде, безразмерное давление (число Эйлера) одновременно являются безразмерными переменными (аргументами и функциями).
Вторая теорема подобия: решения дифференциальных уравнений, описывающих физический процесс, можно представить в виде зависимости между числами подобия.
Такое безразмерное решение [см., например, выражения (14.12'), (14.14), (14.16) и (14.19)] называют уравнением подобия. В уравнении подобия различают определяющие числа подобия, содержащие независимую переменную (например, безразмерные координаты, безразмерное время в нестационарных процессах), и определяемое число подобия, содержащее зависимую переменную (искомую величину); определяемые числа подобия — Nu, Eu и т. д.
Наконец, перейдем к третьему положению — рассмотрим совокупность достаточных условий {С,-}, выполнение которых влечет за собой подобие процессов [см. формулу (14.23)].
Проведенный в § 49 анализ задачи конвективного теплообмена методом подобия показывает, что безразмерная система дифференциальных уравнений включает следующие величины: координаты X, Y; искомые функции 6, W и Ей; постоянные коэффициенты уравнений Ре и Re (Re и Pr).
Пусть имеются два процесса конвективного теплообмена, о которых заранее неизвестно, подобны они или нет. Система уравнений для первого процесса дает решение:
(14.33) |
^е^Х, Y, Re,, Pr,).
Система уравнений для второго процесса дает свое
решение:
е2=92(Х, У, Re2, Pr
Чтобы процессы были подобными, их поля безразмерной температуры должны быть идентичными, т. е.
337 |
12 Зак. 506
ГЛАВА 14. ОСНОВЫ КОНВЕКТИВНОГО ТЕПЛООБМЕНА
§ 48. Исходные положения "
Конвективный теплообмен обусловлен совместным действием конвективного и молекулярного переносов теплоты. В каждой точке движущейся среды можно рассматривать вектор плотности теплового потока, равный в соответствии с двумя указанными видами переноса сумме двух векторов:
где дТп = —Я grad t — вектор плотности молекулярного переноса (теплопроводность), обусловленный неоднородностью поля темпе-
-*• -»■
ратуры в рассматриваемой точке пространства; qK=pwh — вектор плотности конвективного (молярного) переноса, обусловленный существованием движения среды. В первом случае носителями являются микрочастицы, во втором — макрочастицы (моли); микрочастицы осуществляют хаотическое тепловое движение; движение молей — «видимое» движение жидкости (т. е. доступное визуальному наблюдению).
Во многих случаях поток среды частично или полностью ограничен поверхностями твердых тел (стенками). Чаще всего передачу теплоты от горячего теплоносителя к холодному нельзя осуществлять путем их непосредственного контакта (смешения), поэтому приходится разделять теплоносители стенкой. Наличие разделяющей теплоносители стенки вносит дополнительное термическое сопротивление, которое зависит от механизма теплового и динамического взаимодействия среды со стенкой. Конвективный теплообмен между движущейся средой и поверхностью ее раздела с другой средой называют теплоотдачей. Именно процесс теплоотдачи и является предметом изучения в данной главе.
Интенсивность процесса теплоотдачи принято характеризовать коэффициентом теплоотдачи, который равен
a = ql(tm—tB), (14.1)
где q — плотность теплового потока на стенке; tm — температура жидкости (например, температура среды вдали от стенки, где исчезает тепловое возмущение, обусловленное поверхностью теплообмена); tc—температура стенки.
Коэффициент теплоотдачи численно равен плотности теплового потока при температурном напоре 1 К, его единица измерения Вт/(м2-К).
314
Исторически понятие коэффициента теплоотдачи связано с законом Ньютона — Рихмана, выражением которого является равенство (14.1). Однако следует иметь в виду, что выражение (14.1) не является простой физической закономерностью, выражающей сущность процесса теплоотдачи. Роль коэффициента теплоотдачи а отнюдь не аналогична роли, например, теплопроводности Я, в законе Фурье. В то время как величина К есть теплофизический параметр среды (вещества), который может быть взят из справочных таблиц, коэффициент теплоотдачи а представляет собой сложную функцию тепловых и динамических процессов, развивающихся в среде в непосредственной близости от поверхности теплообмена.
Коэффициент теплоотдачи а определяют три группы факторов. Во-первых, геометрические факторы, связанные с конфигурацией системы конвективного теплообмена: течение жидкости вдоль плоской поверхности, поток в трубе (или в продольных межтрубных каналах), поперечное обтекание труб и трубных пучков и т. д. Во-вторых, гидродинамические факторы, обусловленные прежде всего наличием двух режимов течения — ламинарного (при малых значениях числа Re) и турбулентного (при больших значениях числа Re). Механизм теплообмена в двух этих случаях существенно различен. Кроме того, в пределах каждого режима течения имеется связь коэффициента теплоотдачи а со скоростью потока, качественно одинаковая для обоих режимов — при возрастании скорости потока коэффициент а увеличивается. Однако количественные характеристики для ламинарного и турбулентного режимов различны.
Наконец, третью группу факторов составляют тепло-физические свойства среды — плотность, изобарная теплоемкость, вязкость и теплопроводность. Они сложным образом влияют на коэффициент теплоотдачи. При прочих равных условиях для среды с более высокой теплопроводностью характерны более высокие значения коэффициента теплоотдачи. Вязкость оказывает косвенное влияние на интенсивность теплоотдачи: при меньшей вязкости в потоке формируется более благоприятный для повышения теплоотдачи профиль скорости.
Особый случай представляет собой так называемая гравитационная свободная конвекция, которая происходит под действием сил тяжести в среде с неоднородным
315
Из двух приведенных выражений получаем уравне- |
берется значение градиента темпе, Рихмана: л -П It-ж -fC I • |
i I
распределением плотности жидкости. Неоднородность плотности может явиться следствием неоднородности температурного поля. В данном случае проявляется существенное влияние теплообмена на поле скорости в жидкости. Обычно поле скорости формируется под влиянием внешних причин, вызывающих движение среды, — работа насоса, вентилятора и т. п. В таких случаях происходит вынужденная конвекция. Как правило, при прочих равных условиях интенсивность теплоотдачи при вынужденной конвекции выше, чем при свободной.
Численные значения коэффициента теплоотдачи а,
Вт/(м2-К), изменяются в широких пределах: при свободной конвекции воздуха — 5—25, воды — 20—100; при вынужденной конвекции воздуха — 10—200, воды — 50—10 000; для кипящей воды —3000—; для конденсирующего водяного пара — 5000—
Процессы конвективного теплообмена весьма часто встречаются в технике, как составная часть они входят также в природные процессы, происходящие в результате воздействия технических устройств на окружающую среду. Поэтому задача определения коэффициента теп-, лоотдачи очень важна. Особенности движения вязкой жидкости в непосредственной близости от стенки позволяют установить связь коэффициента теплоотдачи с температурным полем в жидкости, которое, как было по казано в гл. 12, может быть найдено в результате решения уравнения энергии и уравнений гидромеханики. На рис. 14.1 показано температурное поле вблизи холодной стенки, вдоль которой течет нагретая жидкость. Благодаря выполнению условия прилипания частицы жидкости, находящиеся в непосредственной близости к твердой поверхности тела, образуют тонкий неподвижный слой. В неподвижной среде, как известно, перенос теплоты осуществляется только путем теплопроводности, поэтому можно записать: q=—X{dtldn)n^

ние
которое устанавливает связь между коэффициентом теплоотдачи и температурным полем в жидкости.
Уравнение (14.2) сводит задачу нахождения коэффициента теплоотдачи к основной задаче теории теплообмена — определению температурного поля.
§ 49. Система дифференциальных уравнений конвективного теплообмена. Безразмерные переменные
Рассмотрим задачу конвективного теплообмена для простых геометрических условий: поток жидкости движется в направлении оси Ох вдоль плоской поверхности (рис. 14.2). Заданы скорость w0 и температура гж невозмущенного потока, температура стенки tc на участке Длиной /0, а также теплофизические свойства жидкости — р, ср, К а ц.
В результате теплового и динамического взаимодействия стенки с потоком температура и скорость последнего в пристенной области меняются. Формируются по-
317
![]() |
|
Формула (15.49) не учитывает волновой характер движения пленки, приводящий к увеличению теплоотдачи; это увеличение можно учесть
умножением Nu = l/ на Re0,04.
Конденсация пара на наружной поверхности горизонтальной трубы отличается от рассмотренного
случая тем, что направления силы тяжести и вектора скорости для пленки не совпадают. Расчет средней теплоотдачи можно производить по формуле (15.49), заменив коэффициент на 0,728 и взяв диаметр трубы в качестве определяющего размера. Кипение представляет собой процесс образования па - ра внутри жидкости, нагретой выше температуры насы - щения. Обычно необходимая для кипения теплота посту - пает в жидкость от поверхности нагрева, температура которой tc>tн. В этом случае на поверхности нагрева идет непрерывно возобновляемое образование паровых пузырей или паровой пленки.
На рис. 15.8 схематично представлена зависимость коэффициента теплоотдачи а на поверхности нагрева от температурного напора t=tc—tн. Участок АВ соответствует области свободного движения жидкости, при котором возникновение пузырей возможно, но происходит весьма вяло. Для воды при атмосферном давлении параметры точки В примерно равны: а = 1000 Вт/(м2К), t = 5 К. Участок ВК соответствует развитому пузырьковому режиму кипения, при котором интенсивно образующиеся пузыри разрушают вязкий подслой на стенке и обеспечивают высокие значения коэффициента теплоотдачи. Аналогичные приведенным выше параметры точки К равны: кр=50 000 Вт/(м2К), tкр = 25 К. В точке К интенсивность образования пара становится больше возможной скорости его отвода от поверхности нагрева. Происходит кризис теплоотдачи при кипении, сопровождающийся резким ухудшением теплоотдачи (величина а в точках С, С1 и D примерно такая же, как в точке В). Если тепловой поток на поверхности нагрева при переходе через точку К не изменяется, то осуществляется скач
кообразный переход по линии КС1, при этом температурный напор возрастает до значения 103 К и происходит разрушение поверхностей нагрева (например, труб парогенератора в топке). Ухудшение теплоотдачи объясняется возникновением низкотеплопроводной паровой прослойки между поверхностью нагрева и жидкостью, например, при 100 °С теплопроводность водяного пара примерно в 29 раз меньше теплопроводности воды. Участок CD соответствует пленочному режиму кипения, а линия СК\ — обратному переходу от пленочного режима к пузырьковому. Участку КС отвечает так называемый переходный режим, при котором на поверхности реализуются в различных местах оба режима.
С практической точки зрения важно организовать кипение в области пузырькового режима с высокими значениями а, причем так, чтобы не допустить возникновения кризиса.
Теоретический анализ показывает, что пузырьки пара образуются в микроскопических углублениях на поверхности нагрева, которая чаще всего является металлической. Основными факторами, от которых зависит теплоотдача при кипении, являются критический радиус пузыря и частота отрыва пузырей от поверхности нагрева. Критический радиус Rкр определяется условиями термодинамического равновесия фаз, которые представлены, например, выражениями (4.37) — (4.39). В данном случае необходимо учесть кривизну поверхности пузыря и связанное с этим дополнительное давление p = 2R, где R—радиус пузыря, а о — поверхностное натяжение. Условие (4.39) поэтому примет вид р"=р'+ 2/Rкр, откуда
Rкр=2(p"—p'). (15.50)
Внутри пузыря находится насыщенный пар, поэтому t" = tn{p")- Согласно условию термического равновесия фаз (4.38) должно быть t" — t', поэтому жидкость вокруг пузыря находится в перегретом состоянии, т. е. t'> >tн(р'). Отметим, что давление р' определяется внешними условиями, это — атмосферное давление, давление в парогенераторе и т. п.
Жизнеспособные пузыри возникают только в углублениях с радиусом R>Rкр. В этом случае рпара<р", соответственно tпара<t", поэтому происходит испарение и рост пузыря. Пузырь, который из-за случайной флуктуации параметров начал образовываться во впадине с
ГЛАВА 16. ТЕПЛООБМЕН ИЗЛУЧЕНИЕМ
§ 58. Основные понятия и определения
Теплообмен, обусловленный превращением внутренней энергии тела в энергию электромагнитных волн, переносом этой энергии и поглощением ее другими телами.
называется теплообменом и излучением.
Для объяснения теплового излучения используется как волновая, так и корпускулярная теория. Согласно волновой теории, излучение можно представить волновыми колебаниями, с частотой v и длиной волны X. Произведение частоты и длины волны есть скорость распространения, равная скорости света c=v=3*108 м/с. Согласно корпускулярной теории, энергия излучения пере
дается в виде порций энергий — фотонов. Каждый фотон движется со скоростью света и имеет определенную энергию, заданную соотношением: e=hv, где h — постоянная Планка, h=6,63*10-34 Дж*с.
Тепловое излучение сосредоточено между длинами волн от 10-3 до 0,7*10-6 м. Большинство твердых и жидких тел имеет сплошной (непрерывный) спектр излучения, т. е. излучает энергию всех длин волн от 0 до бесконечности. Газы и пары характеризуются селективным (прерывистым) спектром излучения.
Количество лучистой энергии, испускаемой с единицы площади поверхности тела в единицу времени, называется поверхностной плотностью излучения:
E=dQ/dF
и измеряется в Вт/м2. Лучистый поток с площади поверхности F определяется выражением:
Q= !!!!EdF.
В общем случае плотность потока излучения может неравномерно распределяться по поверхности тела. Она может изменяться по определенным направлениям излучения. Поэтому вводится понятие интенсивности излучения.
Интенсивностью излучения называется количество лучистой энергии, излучаемое в определенном направлении элементарной площадкой, расположенной перпендикулярно направлению излучения, в единице телесного угла за единицу времени. Для пояснения этого понятия выделим на поверхности излучающего тела элементарную площадку dF и рассмотрим излучение по направлению s, составляющему угол j с нормалью п к площадке в элементарном телесном угле d (рис. 16.1). Энергия этого излучения равна d'Q. Проекция площадки dF на плоскости, перпендикулярной направлению излучения,
равна dF cos
По определению интенсивность излучения может
быть представлена отношением:
Is=d'Q/dF cos d.
Эту величину иногда называют яркостью излучения и измеряют в Вт/(м2*ср).


§ 57. Теплоотдача
при конденсации и кипении
В теплообменных устройствах наиболее распространена пленочная конденсация пара, при которой на смачиваемой поверхности твердого тела образуется сплошная пленка конденсата. На несмачиваемой поверхности идет капельная конденсация с образованием отдельных капель конденсата; она встречается реже и здесь не рассматривается. Теория теплоотдачи при пленочной конденсации неподвижного пара была разработана Нуссельтом.
Вертикальная поверхность с температурой tc находится в контакте с сухим насыщенным паром, имеющим температуру насыщения tН. При конденсации на поверхности образуется стекающая вниз ламинарная пленка конденсата, толщина которой х увеличивается в направлении оси Ох (рис. 15.7). Под действием температурного напора t = ta—tc в стенку отводится тепловой поток, который будем считать неизменным по толщине пленки вдоль оси Оу; такое предположение соответствует пренебрежению конвективным переносом теплоты движущейся пленкой и прямолинейному профилю температуры поперек пленки. Для сечения, расположенного на расстоянии х от верхней кромки qx=t/x, с другой стороны, по уравнению Ньютона-Рихмана qx = axt; отсюда получаем
ax=l/dx. (15.46)
Выражение (15.46) показывает, что по мере роста толщины пленки конденсата местный коэффициент теплоотдачи х, зависящий также от теплопроводности конденсата , убывает (см. рис. 15.7).
Для пленки шириной 1 м массовый расход конденсата Gx определяется выражением Gx=wOxx, в котором w0x — средняя скорость в поперечном сечении пленки. Расход Gx обеспечивается конденсацией пара на площади х*1 м, на которую поступает пар в количестве qx/r, при этом q — осредненный вдоль Ох тепловой поток, а r — теплота фазового перехода. В результате имеем следующее условие баланса массы:
rw0xdx=qx/r=aDtx/r=lDtx/dr. (15.47)
В выражении (15.47), кроме толщины пленки x неизвестной является скорость w0x, которая может быть
|
найдена по профилю скорости wx = wx(y). Профиль скорости можно получить интегрированием уравнений гидродинамики, однако здесь ограничимся приближенной оценкой. Для процесса движения пленки существенны две силы: сила тяжести rgdx3 и сила вязкого трения m(w0x/dx)d2x, силой инерции можно пренебречь. Приравнивая выражения двух указанных сил, имеем w0х= =g2x. Подставляя это выражение в уравнение (15.47) и пренебрегая различием между 3x и 4x, имеем
dx=(mlDtx/r2gr)0,25 Точное решение выражается формулой:
dx=(4mlDtx/r2gr)0,26 (15.48)
Подставляя выражение (15.48) в уравнение (15.46), получаем формулу для расчета местного коэффициента теплоотдачи х. Основной интерес представляет средний коэффициент теплоотдачи а, выражение для которого можно получить неоднократно использовавшимся ранее способом: а=1,33аx= l, где длина участка осреднения принята равной l. Используя числа подобия Ga = = 2gl3/2, K=r/cpt и Рr, а также поправку на неизотермичность (PrH/Prc)0,25, получаем следующее расчетное выражение для средней теплоотдачи:
Nu=0,943(Gа*К*Рг)0,25 (15.49)
Все физические свойства конденсата в уравнении (15.49) берутся при температуре tн. Число фазового превращения К отражает соотношение между теплотой фазового превращения и теплотой переохлаждения конденсата cpt.
Формула (15.49) справедлива для ламинарной пленки конденсата, т. е. при Re=w0 = tl/rReкр= = 400. Расчетные формулы для турбулентной пленки можно найти в более полных курсах теплопередачи.
§ 59. Законы теплового излучения
Тепловое излучение подчиняется общим для электромагнитных волн законам. Однако существуют специфические для теплового излучения законы, которые получены применительно к абсолютно черному телу, находящемуся в термодинамическом равновесии.
Термодинамическим равновесием называют состояние, при котором все тела, входящие в данную излучающую систему, имеют одинаковую температуру, а интенсивность излучения в любой точке объема не зависит от направления и имеет одну и ту же величину.
![]() |
|
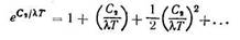
Планк установил закон распределения энергии по длинам поля во всей области спектра теплового излучения абсолютно черного тела. Он показал, что энергия излучения с длиной волны l, испускаемого черным телом с температурой Т, равна:
![]()
где E,0— плотность потока монохроматического (спектрального) излучения черного тела, Вт/м4; С1=3,7413*10-16 Вт*м2 — первая постоянная излучения; С2= = 1,4388*10-2 м*К —вторая постоянная излучения.
На рис. 16.3 дано графическое представление уравнения (16.3), выражающего закон Планка. Видно, что энергия излучения, испускаемого черным телом, возрастает с температурой. Кривые имеют максимум с резким спадом в сторону коротких волн и более пологим спадом в сторону длинных волн. При -> 0 и -> ¥ плотность потока излучения стремится к нулю.
|
что позволяет экспоненциальную функцию в уравнении (16.3) представить в виде ряда: |
|
Закон Планка имеет два предельных случая. Первый предельный случай относится к области больших длин волн при высоких значениях температур. В этом случае
Условие (16.4) позволяет ограничиться двумя членами этого ряда. Подставляя эти члены в формулу (16.3) вместо экспоненциальной функции, получим:
![]()
Зависимость (16.5) выражает закон Релея — Джинса, являющийся частным случаем закона Планка.
Второй предельный случай закона Планка соответствует коротковолновой области спектра при высоких температурах, где С2.
Тогда в уравнении (16.3) можно пренебречь единицей по сравнению с членом С2/Т и получить следующую приближенную формулу:
![]()
Зависимость (16.6) известна как закон Вина
Положения максимумов излучения (см. рис. 16.3) можно получить из. выражения (16.3), исследуя функцию на экстремум. Приравнивая производную нулю и находя значение = mах, при котором E достигает экстремального значения,
получаем:_
где max — длина волны, м, которой соответствует максимальная плотность излучения.
Зависимость (16.7) выражает закон смещения Вина для абсолютно черного тела. Согласно этому закону максимальное значение спектральной плотности потока излучения с повышением температуры сдвигается в сторону более коротких волн.
Закон Стефана — Больцмана устанавливает зависимость плотности интегрального полусферического излучения * от температуры абсолютно черного тела и может быть получен из формулы Планка. Интегрируя выражение (16.3) во всем интервале длин волн, получим:

где =5,67*10-8 Вт/(м2*К4)—постоянная Стефана — Больцмана. Согласно уравнению (16.8), плотность интегрального полусферического излучения абсолютно черного тела зависит только от температуры и изменяется пропорционально четвертой степени абсолютной температуры. При высоких температурах величина Г4 достигает больших значений, поэтому для удобства практических расчетов формулу (16.8) записывают в виде:
где С0=*108=5,67 Вт/(м2*К4)
—коэффициент излучения абсолютно черного тела.
* Интегрального — значит в диапазоне изменения длины волны от нуля до бесконечности, полусферического — по всем направлениям внутри полусферы над точкой поверхности тела.
Зависимость (16.9) впервые экспериментально была установлена Стефаном задолго до появления квантовой теории Планка, позднее Больцман получил эту зависимость теоретически, исходя из первого и второго законов термодинамики.
Закон Стефана — Больцмана позволяет определить суммарное излучение поверхности тела по всем направлениям в пределах полусферы.
Энергия излучения, испускаемая телом по отдельным направлениям, устанавливается законом Ламберта. Согласно закону Ламберта, поток излучения абсолютно черного тела в данном направлении пропорционален потоку излучения в направлении нормали к поверхности и косинусу угла между ними. Для интенсивности излучения закон Ламберта
имеет вид:
где I и In — интенсивности интегрального излучения в направлении, определяемом углом < (см. рис. 16.1), и в направлении нормали к поверхности.
Закон Ламберта строго справедлив для абсолютно черного тела. Для шероховатых поверхностей этот закон подтверждается опытом лишь для =0...60°; резкое отклонение от закона Ламберта наблюдается для полированных металлических поверхностей.
Все реальные тела имеют поглощательную способность, меньшую единицы, - и называются нечерными телами. Для количественной характеристики реальных тел введено понятие степени черноты тела. Степенью черноты тела называется отношение энергии излучения данного тела к энергии излучения абсолютно черного тела при той же температуре:
![]()
Значение изменяется от нуля до единицы. Степень черноты характеризует излучательную способность реального тела по сравнению с абсолютно черным те-, лом. Степень черноты может зависеть от длины волны излучения. Различают спектральную (, Т)=(Т) и интегральную г(Т) степень черноты. Спектральная степень черноты для длины волны и температуры Т определяется отношением интенсивности излучения реального тела I (Т) к интенсивности излучения I (Т) абсолютно черного тела при той же температуре. Твердые диэлектрики, имеющие шероховатую поверхность, обла-
дают небольшой степенью селективности. Спектр их из-лучения является сплошным и по своему характеру мало отличается от спектра излучения абсолютно черного тела.
Если тело обладает непрерывным спектром излучения, а кривые зависимости интенсивности излучения Iот длины волны реального и абсолютно черного тел подобны, то такое тело называют серым. Для серых тел степени черноты и коэффициенты поглощения неизменны во всем спектре излучения: = и Аl =А.
Строго говоря, серых тел, так же, как и абсолютно черных, в природе не существует. Однако с некоторым приближением многие тела (диэлектрики, окиси металлов с шероховатыми поверхностями и др.) могут быть отнесены к серым, при этом чем уже рассматриваемый интервал длин волн, тем с большей степенью точности тело может считаться серым.
Для решения практических задач лучистого теплообмена преимущественно используют интегральную степень черноты. При известной г(Т) плотность интегрального излучения E(T) при температуре поверхности Т может быть найдена из уравнений (16.9) и (16.11):
![]()
Из-за сложности теоретического анализа надежные значения интегральной степени черноты могут быть получены лишь опытным путем.
Закон Кирхгофа устанавливает связь между излуча-тельной и поглощательной способностями тела. Отношение излучательной способности к поглощательной для всех тел (1, 2, 3, ...) одинаково, равно излучательной способности абсолютно черного тела при той же температуре и зависит только от температуры:
Из
равенства (16.13) следует, что при любой температуре излучательная способность абсолютно черного тела является максимальной: чем больше излучательная способность тел, тем больше их поглощательная способность.
Для спектрального излучения закон Кирхгофа формулируется следующим образом: отношение излучательной способности при определенной длине волны к поглощательной способности при той же длине волны для
всех тел одно и то же и является функцией длины волны и температуры,
т. е.
Из определения степени черноты и закона Кирхгофа следует:
для всех тел:
![]()
для серых тел:![]()
Закон Кирхгофа базируется на втором законе термодинамики и является одним из основных законов теории теплового излучения.
Закон Бугера описывает поглощение энергии прозрачными средами. Пусть поверхностью некоторой среды поглощается лучистый поток, спектральная интенсивность которого I0. При прохождении его через среду интенсивность уменьшается и на расстоянии х от поверхности составляет I. Как следует из закона Бугера, между I0 и I справедлива зависимость:
![]()
где k —коэффициент ослабления луча при данной длине волны. Коэффициент ослабления k зависит от физических свойств среды и температуры. Введем обозначение:

и перепишем закон Бугера в виде:
![]()
Поглощательная способность вещества в слое толщиной l:![]()
Полная поглощательная способность среды определяется суммой значений Аli отдельных участков i спектра:
§ 60. Теплообмен излучением между телами, разделенными прозрачной средой
При анализе лучистого теплообмена между твердыми телами принимаются определенные допущения. Собственное и отраженное излучение всех тел, между которыми происходит лучистый теплообмен, подчиняется закону Ламберта. Тела непрозрачны, внешние поверхности — изотермические, среда между телами прозрачна для излучения. Коэффициенты поглощения и черноты не зависят от температуры.
Рассмотрим теплообмен между неограниченными плоскопараллельными плоскостями. Физические параметры, относящиеся к первой и второй плоскостям, будем снабжать индексами 1 и 2 и примем, что T1>T2. Обе плоскости излучают в пространство энергию, которая частично поглощается и отражается самими плоскостями, при этом процессы поглощения и отражения многократно повторяются. Воспользовавшись понятиями эффективного потока, запишем для результирующей плотности, полусферического излучения Eрез от первого тела ко второму:![]()
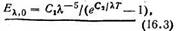
Согласно зависимости (16.1), эффективную излуча-тельную способность Eэф1 и Eэф2 каждой плоскости можно представить
в виде:
При составлении зависимостей (16.16) предполагалось, что Eпад1=Eэф2; Eпад2=Eэф1. Решим систему урав-
нений (16.16)
относительно Eэф1 и Eэф2:
Подставив значения Eэф1и Eэф2 в уравнение (16.15), получим:
(16.17)
Тепловой поток q, переносимый излучением от первой плоскости ко второй, найдем из уравнений (16.12), (16.14) и (16.17)
(16.18)
где пр — приведенная степень черноты системы, определяемая формулой
(16.19)



Из формулы (16.19) следует, что если одна из плоскостей обладает значительной степенью черноты по сравнению с другой: 1>>2, то пр определяется величиной меньшей степени черноты: пр=2. Для тел с большой степенью черноты (1 и 2 не менее 0,8) пр приближенно может быть принята равной 12.
Рассмотрим теплообмен между телом и его оболочкой. На рис. 16.4,а, б представлены следующие системы двух тел: тело 1 находится в замкнутой полости тела 2, тело 2 охватывает плоское или выпуклое тело 1.
Пусть тело 1 имеет более высокую температуру, тогда теплообмен излучением между телами 1 и 2 приведет к переносу тепловой энергии от тела 1 к телу .2. Результирующая плотность полусферического излучения в рассматриваемом случае может быть найдена изложенным выше методом. Однако в отличие от предыдущей задачи необходимо учесть, что не весь лучистый поток с тела 1 попадает на тело 2 (см. рис. 16.4).
Введем понятие угловых коэффициентов излучения j1,2 и 2,1 Они показывают, какая часть лучистого потока, испускаемого одним телом, падает на другое тело, находящееся в лучистом теплообмене с первым, т. е.
ч![]()
Результирующий тепловой поток Q1,2 может быть представлен в следующем виде:
![]()
Для случаев, изображенных на рис. 16.4, 2,1<1, а
j1,2 = 1-
Используя зависимости (16.1), (16.12) и (16.14), '• можно привести выражение (16.21) для Q1,2 к виду, удобному для практических расчетов:

где F1 и F2 — площади поверхностей тел 1 и 2.
Рассмотрим теплообмен излучением в замкнутой системе из двух вогнутых серых тел. Пусть два серых вогнутых тела 1 и 2 с температурами Т1 и Т2 и степенями черноты 1 и 2 образуют замкнутую систему (рис. 16.4,в). Результирующий тепловой поток в такой системе тел можно найти
из выражения:
Следовательно, для расчетов по формуле (16.23) необходимо предварительно установить значения угловых коэффициентов 1,2 и 2,1 для данной системы тел.
Рассмотрим теплообмен излучением между двумя произвольно расположенными в пространстве серыми поверхностями с высокой степенью черноты. Имеем два серых тела с выпуклыми или плоскими поверхностями конечных размеров F1 и F2, температуры поверхностей Т1 и Т2, а их степени черноты 1 и 2, при этом i>=0,8. Требуется определить результирующий тепловой поток.
Выделим на каждом из рассматриваемых тел элементарные площадки dF1 и dF2, бесконечно малые по сравнению с расстоянием r между ними; введем углы 1 и 2 между линией, соединяющей середины элементарных площадок, и нормалями n1 и п2 к площадкам (рис. 16.5). Вычисления приводят к следующему выражению для Q1,2 •!•
Интеграл
![]()
имеет единицу площади и называется взаимной поверхностью излучения тел 1 и 2.
|
Можно показать, что величина Н1,2 связана с угловыми коэффициентами излучения 1,2 и 2,1 простыми
соотношениями: Н1,2 = 1,2F1; Н2,1 = 2,1F2; Н1,2 = H2,1 .
Следовательно, задача вычисления результирующего теплового потока Q1,2 между двумя произвольно расположенными в пространстве поверхностями конечных размеров сводится к определению коэффициента 1,2.
Угловые коэффициенты излучения характеризуют геометрические свойства различных систем тел, в которых рассматривается теплообмен излучением. При расчетах коэффициентов излучения ij или взаимных поверхностей излучения Hij часто используют метод лучистой (поточной) алгебры, базирующийся на некоторых общих свойствах лучистых потоков.
Рассмотрим теплообмен излучением при наличии экранов. Экраны уменьшают теплообмен излучением между телами, они устанавливаются ортогонально к направлению потока излучения и выполняются из тонких металлических листов.
Рассмотрим теплообмен излучением между двумя параллельными стенками, между которыми расположен экран (рис. 16.6). Тепловой поток можно определить из выражения (16.18). Примем C1 = C2=Cэ=C. Если экрана нет, то
(16.24)
При наличии экрана тепловой поток между первой стенкой и экраном выразится формулой
(16.25)
От экрана ко второй стенке передается теплота
При одинаковых
коэффициентах излучения стенок и экрана приведенные коэффициенты излучения всех систем также будут одинаковы: C1,2=C1э=Cэ2=Cпp= = 1/(2/С-1/Со).
Из условия стационарности q1э=q2э=qэ. Приравнивая правые части равенств (16.25) и (16.26), определим. (Tэ/100)4=l/2[(T1/100)4+(T2/100)4].
Подставив (Tэ/100)4 в уравнение (16.25) или (16.26),
получим![]()
Сопоставление формулы (16.27) с формулой (16.24), в которой C1,2=Cпр, показывает, что постановка экрана с таким же коэффициентом излучения, как у стенок, приводит к уменьшению теплового потока в 2 раза. Аналогично можно показать, что при п экранах тепловой поток уменьшится в n+1 раз. Таким образом, при одинаковых коэффициентах
излучения
Если коэффициенты излучения экрана и стенок неодинаковы (С1 С2 Сэ), то при одном экране
Здесь С1э С2э С1,2. Эти коэффициенты определяются по формуле приведенного коэффициента излучения. С помощью формулы (16.29) легко показать, что при уменьшении Сэ повышается эффективность экрана. Так, при Сэ=0,3 и С1 = С2 = 5,25 один экран уменьшает поток теплоты в 30 раз.
Повышение эффективности экрана при уменьшении коэффициента излучения обусловлено повышением его отражательной способности (так как С=АС0, a A+R = = 1). Но уменьшение потока теплоты обусловлено не только отражением экрана, но и тем, что благодаря экрану уменьшается перепад температур, определяющий тепловой поток. В самом деле,
![]()
Поэтому даже при С1 = С2=Сэ=С0, т. е. когда экран ничего не отражает, благодаря условию (16.29') всегда qэ<q.
![]() |
![]() |
|
§ 61. Особенности излучения газов и паров. Сложный теплообмен
Одноатомные и двухатомные газы не обладают заметной излучательной способностью и являются практически прозрачными (диатермичными) для излучения. Трехатомные газы (Н2О, СО2 и др.) обладают значительной излучательной и поглощательной способностью, которая носит резко выраженный селективный характер. В отличие от твердых и жидких тел излучение га - зов носит объемный характер.
Количество поглощаемой газом энергии зависит от толщины газового слоя и концентрации поглощающих (или излучающих) молекул. Концентрацию молекул удобно оценить парциальным давлением газа р. Так как толщина газового слоя и парциальное давление газа в одинаковой мере влияют на число молекул, то степень черноты газа и его поглощательную способность можно выбирать в зависимости от параметра pl, где l — средняя длина луча в пределах газового слоя, которая может быть определена из формулы l=3,6V/F (здесь V — газовый объем; F — площадь поверхности оболочки).
Наиболее хорошо изучен теплообмен излучением для Н2О и СО2, которые содержатся в продуктах сгорания органических топлив. Плотность их собственного интегрального излучения по экспериментальным данным определяется
из выражений:
Из уравнений (16.30)ч и (16.31) видно, что парциальное давление р и толщина слоя l оказывают большее влияние на излучение Н2О, чем на излучение СО2. Поэтому при малых толщинах слоя преобладает излучение СО2 а при больших — излучение Н2О.
Выражения (16.30) и (16.31) показывают, что излучение газов не подчиняется закону Стефана — Больц-мана. Плотность теплового потока, передаваемая газом, содержащим СО2 и Н2О, определяется из эмпирической формулы:
где эф — эффективная
степень черноты стенки; Аг — поглощатель-ная способность газа при температуре стенки; Тс — температура стенки; T ж—температура газов.
Степень черноты газа при температуре газа Tж под-считывается по формуле.
![]()
Значения степени черноты CO2, и H2O в зависимости от температуры и параметра pl приведены на рис. 16.7 и 16.8. Поправочный коэффициент определяют по графику на рис. 16.9.
Сложным теплообменом называют процесс переноса теплоты, при котором теплообмен излучением протекает совместно с теплопроводностью и конвекцией. В сложном теплообмене излучение является важной составной


частью. Сложный теплообмен можно разбить на тр_и разновидности: теплообмен излучением между потоком излучающего газ и стенками канала, радиационно-кон-дуктивный теплообмен и радиационно-конвективный теплообмен.
При темплообмене излучением между потоком излучающего газа и стенками канала обычно пренебрегают теплопроводностью и считают, что теплота переносится только конвекцией в направлении движения потока.

Здесь учитывается неравномерное распределение температуры газа по сечению канала и его длине, возникающее из-за теплообмена. Оказывается, что теплота, переданная излучением, не растет монотонно с ростом степени черноты газового объема, а имеет максимальное значение при некотором ее значении. Уменьшение количества передаваемой теплоты при большой поглощательной способности среды объясняется тем, что охладившиеся пристенные слои малопрозрачного газа выполняют роль экрана, не пропуская на стенку излучение от удаленных слоев излучающего газа.
При радиационно-кондуктивном теплообмене происходит перенос теплоты в неподвижной ослабляющей и теплопроводящей среде путем излучения и теплопроводности. В случае нерассеивающей среды этот вид теплообмена характеризуется оптической толщиной слоя среды kl, степенью черноты тепловоспринимающих поверхностей сг1; сг2, относительной температурой поверхности, имеющей низкую температуру = T2/T1, и параметром N=1/Кi=k/40T13, характеризующим взаимную интенсивность переноса теплоты теплопроводностью и излучением. Если N->¥, то теплота переносится только теплопроводностью, N ->0 — только излучением. Радиа-ционно-кондуктивный: теплообмен является весьма слож-
ным видом теплообмена. Сравнительно простые решения задачи получаются лишь для некоторых частных случаев.
При оптически тонком слое (kl = 0) излучение не поглощается в среде, а переносится от одной поверхности к другой, как в случае диатермичной среды. Полный тепловой поток определяется простым суммированием лучистого и кондуктивного потоков
![]()
При оптически толстом слое (kl->¥) влияние радиационных свойств поверхностей простирается в глубь объема, а характеристики излучения в любой точке объема зависят лишь от условий в непосредственной близости от этой точки. В этом случае полный тепловой поток складывается иначе, чем в уравнении (16.33), радиационный поток несколько видоизменен:
![]()
Радиационно-конвективный теплообмен весьма сложен в физическом отношении и описывается довольно сложной системой уравнений. Эти два обстоятельства затрудняют как аналитические, так и экспериментальные исследования сложного теплообмена, в связи с чем задача его инженерного расчета еще далека от своего решения. Для практических расчетов обычно используют принцип независимости конвективного и лучистого потоков, что оказывается достаточно верным, если один из них значительно меньше другого. Так, для учета теплоотдачи излучением к коэффициенту теплоотдачи конвекцией, подсчитанному обычным образом, т. е. без учета влияния радиационного теплообмена на профили скорости и температуры, рекомендуется прибавлять условный коэффициент теплоотдачи излучением л, поэтому суммарный коэффициент теплоотдачи равен = к+л.
Для сложных процессов теплообмена используют ряд чисел подобия, в частности числа Больцмана — Во и Кирпичева — Ki, имеющие вид:
![]()
Число Больцмана Во характеризует радиационно-конвективный теплообмен: чем оно меньше, тем большую роль играет лучистый теплообмен в среде по
сравнению с конвективным. Число Кирпичева Ki характеризует радиационно-кондуктивный теплообмен. Число Бугера Вu=kl0 характеризует оптическую плотность среды, т. е. прохождение через нее лучистой энергии.
ГЛАВА 17. ТЕПЛООБМЕННЫЕ АППАРАТЫ
§ 62. Классификация теплообменных аппаратов
Теплообменными аппаратами (теплообменниками) называют устройства, предназначенные для передачи теплоты от одной среды к другой при осуществлении различных тепловых процессов (например, нагревания, охлаждения, кипения, конденсации). Жидкие среды, воспринимающие или отдающие теплоту, именуют горячими или холодными теплоносителями.
По принципу действия теплообменные аппараты разделяются на поверхностные (рекуперативные и регенеративные), в которых тепловой перенос осуществляется с использованием разделяющих поверхностей и твердых тел, и смесительные, процессы нагревания и охлаждения в которых происходят при непосредственном контакте теплоносителей.
В рекуперативных теплообменниках горячий и холодный теплоносители перемещаются одновременно, а теплота непрерывно передается через разделяющую их стенку.
Регенеративными (регенераторами) называются теплообменные аппараты, в которых теплоносители попеременно соприкасаются с поверхностью так называемой насадки, аккумулирующей теплоту от горячего теплоносителя и отдающей ее холодному теплоносителю. Таким образом, для регенераторов характерен нестационарный теплообмен.
В зависимости от агрегатного состояния теплоносителей рекуперативные теплообменники классифицируются на газогазовые, газожидкостные, парогазовые, па-рожидкостные и жидкостножидкостные. В основу классификации рекуперативных теплообменников может быть также положен способ компоновки теплопередаю-щей поверхности или ее конфигурация: теплообменники типа «труба в трубе», кожухотрубчатые, с прямыми трубками, змеевиковые, пластинчатые, ребристые.
По относительному движению потоков теплоносителей теплообменники делят на прямоточные, противоточ-ные и со смешанным током.
В особую группу выделяют теплообменные аппараты с внутренними источниками теплоты, отвод которой осуществляется одним теплоносителем. Примером таких теплообменников могут служить электронагреватели, ядерные реакторы и др.
В связи с широким использованием теплообменников в различных областях техники возросло число их наименований, определяемых спецификой работы этих устройств. Так, встречаются парогенераторы, экономайзеры, воздушные калориферы, конвекторы, холодильники, конденсаторы, градирни, испарители, скрубберы, охладители выпара и т. д. Но несмотря на различное функциональное назначение этих аппаратов, методика теплового расчета является для них общей.
§ 63. Тепловой расчет рекуперативных теплообменников
При проектировании новых теплообменных аппаратов необходимо выполнить конструкторский тепловой расчет, целью которого является определение площади поверхности теплообмена, обеспечивающей передачу заданного количества теплоты от одного теплоносителя к другому. Для выявления возможности использования имеющихся аппаратов в тех или иных целях производят поверочный тепловой расчет, определяя конечные температуры теплоносителей t"г и t"x и количество переданной теплоты.
Основными расчетными уравнениями, записанными в дифференциальной форме, являются уравнение теплопередачи для элемента площади поверхности теплообмена dF:
и уравнение теплового баланса:
![]()
где Мг, Мх — массовые расходы горячего и холодного теплоносителей, кг/с; hг, hx — энтальпии теплоносителей, кДж/кг; dQпот — потери в окружающую среду, кВт.
В общем случае температуры теплоносителей в теплообменнике изменяются, изменяется и температурный
напор t = tг— tx. В расчетах используется среднее по всей площади поверхности теплообмена значение температурного напора tcp. В этом случае уравнение теплопередачи (17.1) записывается в виде (k=const):
![]()
Удельные изобарные теплоемкости ср теплоносителей зависят от температуры. Если использовать среднее значение изобарной теплоемкости в интервале температур от t' (вход) до t" (выход) и пренебречь потерями теплоты в окружающую среду Qпот, то уравнение (17.2) преобразуется
так:
Произведение Mcp является полной теплоемкостью массового расхода теплоносителя в единицу времени и измеряется в Вт/К. Эта величина часто называется водяным эквивалентом.
Уравнение (17.4) при введении в него полных теп-лоемкостей W примет вид:
![]()
или
![]()
Соотношение (17.6) может быть записано для элемента площади поверхности теплообмена dF: Wx/Wг= =dtг/dtx.
Таким образом, отношение изменения температур теплоносителей обратно пропорционально отношению полных теплоёмкостей массовых расходов. На характер изменения температур теплоносителей вдоль по-верхности теплообмена, а значит и на температурный напор, значительное влияние оказывает схема движе-ния (рис. 17.1). При прямоточной схеме теплоносители движутся параллельно и в одном направлении (рис. 17.1,а). При параллельном, но противоположном направлении движения теплоносителей схема называется противотоком (рис: 17.1,6). Если теплоносители движутся во взаимно перпендикулярных направлениях, то схема их движения называется перекрестным током (рис. 17.1,в). На практике приходится осуществлять и более сложные схемы движений: многократный перекрестный ток, одновременный прямоток и противоток
|
(рис. 17.1,г) и т. д. При этом один или оба потока могут перемешиваться по своему сечению или же протекать по изолированным каналам.
На рис. 17.2 изображены характерные кривые изменения температуры вдоль поверхности теплообмена F для прямотока и противотока в зависимости от соотношений полных теплоемкостей Wг и Wx. На графиках, как следует из уравнения (17.6), меньшее изменение температуры получается для того теплоносителя, у которого полная теплоемкость массового расхода больше.
В случаях, когда один из теплоносителей имеет постоянную температуру (кипение жидкости или конденсация пара), прямоток и противоток равнозначны и среднее значение температурного напора не зависит от схемы движения потоков.
Рассмотрим теплообменный аппарат, работающий по противоточной схеме. Характер изменения темпера-
тур теплоносителей в этом теплообменнике показан на рис. 17.3.
При передаче теплоты dQ через элемент площади поверхности dF температура горячего теплоносителя снижается
на величину
а холодного возрастает на величину
Так как
из уравнения (17.5) следует, что Wг= = Q/(t'г—t"г) и Wx=Q/(t''х— t'x), то подставляя эти значения в уравнения (17.7а) и (17.76) и решая их совместно с уравнением (17.1), получаем
![]()
Считая коэффициент теплопередачи k постоянным вдоль всей поверхности нагрева, интегрируем уравнение
(17.7в):
или
и
Если сравнить уравнение (17.8) с уравнением (17.3), то получаем
формулу
Обычно при расчете теплообменников формула (17.9) используется в виде
![]()
где tб и tм — наибольшая и наименьшая разности температур для данного теплообменного аппарата.
В формулу (17.10) введена поправка t учитывающая снижение среднего температурного напора для
|
теплообменников с перекрестным и смешанным токами по сравнению с теплообменниками с противотоком. Величина t зависит от значений вспомогательных характеристик P=(t"x—t'x)/(t'г-t''г) и R=(t'г—
На рис. 17.4 представлены кривые, позволяющие определить поправку t для теплообменника, у которого схема движения теплоносителей более сложна, чем противоток и прямоток.
Рассчитанная по формуле (17.10) средняя разность температур называется среднелогарифмическим температурным напором и применяется для различных схем аппаратов при постоянстве массовых расходов теплоносителей.
Вместо среднелогарифмического температурного напора в расчетах может быть использован среднеарифметический напор![]()
если tб/tм<1,7, что обеспечивает погрешность в сторону увеличения tср не более чем на 3 %.
Определение коэффициента теплопередачи k для теплообменных аппаратов является важным и ответственным моментом расчета. При осреднении величины k по поверхности теплообмена требуется тщательный учет изменения температур теплоносителей и геометрической конфигурации поверхности теплообмена.
Наиболее распространенными в теплообменниках являются трубные цилиндрические поверхности. Формулы для расчета коэффициента теплопередачи в этом случае несколько громоздки. Если стенка трубы не очень толста (dнар/dвн<1,5), то с достаточной точностью используются формулы, полученные для плоской стенки.
В процессе эксплуатации поверхность нагрева покрывается слоями накипи, сажи, золы и т. д., что создает дополнительные термические сопротивления теплопроводности, уменьшающие тепловой поток от горячего теплоносителя к холодному. Естественно, что при этом возрастает и гидравлическое сопротивление тепло-обменного аппарата.
Если для простоты расчета пренебречь влиянием слоев загрязнений, то полное термическое сопротивление теплопередаче можно записать в следующем виде:
при отнесении теплового потока к единице площади полной поверхности теплообмена Fг на стороне горячего теплоносителя
![]()
при отнесении теплового потока к единице площади полной поверхности теплообмена Fx на стороне холодного теплоносителя
![]()
Под площадью полной поверхности подразумевается площадь тепловоспринимающей или теплоотдающей поверхности, омываемая горячим или холодным теплоносителем и включающая в себя площади ребер и любой другой развитой поверхности. Площадь поверхно-
сти F соответствует средней площади основной или так называемой первичной поверхности, которая является базой для устройства на ней ребер, турбулизаторов и т. д., используемых для интенсификации теплоотдачи.
Если дополнительная развитая поверхность отсутст
вует и теплообменник изготовлен, например, из гладко-
стенных труб, то F=(Fг+Fx)/2 и в этом случае коэф
фициенты эффективности полных поверхностей теплооб
мена ог и ох равны 1, .
Если же поверхность теплообмена дополнительно развита, например оребрена, то из-за снижения температуры поверхности ребер по сравнению с температурой основной поверхности коэффициент эффективности развитой поверхности снижается.
Эффективность полной поверхности теплообмена можно рассчитать так:
где p — эффективность
ребра (см. § 47).
Коэффициенты теплопередачи г и х рассчитываются по формулам, приведенным в гл. 15, а также в § 61.
§ 64. Расчет конечных температур теплоносителей
Для уже спроектированного или находящегося в эксплуатации теплообменного аппарата целью теплового расчета является определение конечных температур теплоносителей, т. е. температур рабочих жидкостей t"г и t''х на выходе из теплообменного аппарата, а также количество переданной теплоты. При таком поверочном расчете известны площадь поверхности теплообмена F, температуры теплоносителей на входе t'г и t'x, коэффициент теплопередачи k и полные теплоемкости Wг и Wх теплоносителей.
Если температура вдоль поверхности теплообмена изменяется незначительно (tб/tм<1,7) и ее распределение может быть принято линейным, то конечные температуры теплоносителей определяются из уравнения (17.5) следующим
образом:
При линейном изменении температур вдоль поверхности теплообмена допускается использование среднеарифметического
температурного напора
Подстановка уравнений (17.12) и (17.13) в уравнение теплопередачи (17.3) приводит к следующему выражению:
Решение этого
уравнения относительно Q дает формулу для расчета количества переданной теплоты
![]()
Далее по формулам (17.12) вычисляются температуры теплоносителей на выходе из теплообменного аппарата.
В большинстве практических случаев характер изменения температур нелинеен и зависит от схемы движения теплоносителей, соотношения между их полными теплоемкостями и площади поверхности теплообмена.
Простые преобразования выражения (17.7г) с использованием формул (17.7а) и (17.76) позволяют получить следующее уравнение для противоточной схемы (см. рис. 17.3):
![]()
или

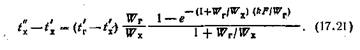
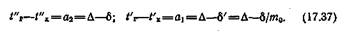
Из уравнения (17.17) следует, что вдоль поверхности теплообмена температурный напор t изменяется по экспоненциальному закону. При этом в прямоточных теплообменниках температурный напор непрерывно уменьшается в направлении движения теплоносителей. При противотоке характер изменения температурного напора зависит от соотношения полных теплоемкостей массовых расходов теплоносителей. В случае когда Wг<Wx, температурный напор уменьшается в направлении движения горячей жидкости; при Wг>Wx величина At возрастает в том же направлении.
Для расчета конечных температур теплоносителей при
противотоке используются следующие формулы-


Для прямотока применимы такие формулы: и

Выражения

зависят только от заданных величин, т. е. от kF/Wг и Wг/Wx. Они могут быть затабулированы, что значительно облегчает решение поставленной задачи.
Рассмотрим частные случаи для противоточного теплообменника. Если Wг=Wх=W, т. е. полные теплоемкости массовых расходов теплоносителей численно равны, то уравнения (17.20) и (17.21) для прямотока трансформируются
к следующему виду:
Для противотока
пои Wг=Wх=W имеем:
В случаях, когда температура одного из теплоносителей остается постоянной вдоль поверхности теплообмена, т. е. прямоточная и противоточная схемы равноценны, получаем:
при Wг -> ¥
(17.23)
при Wx -> ¥
(17.24)
§ 65. Сравнение прямоточной и противоточной схем движения теплоносителей
Анализ рис. 17.2 позволяет выявить одно важное преимущество противоточной схемы: конечная температура холодного теплоносителя t"x может быть более высокой, чем температура горячего теплоносителя на выходе из теплообменника. Такая ситуация невозможна в прямоточном теплообменнике, где всегда t"г>t"х-Лишь при бесконечно большой площади поверхности теплообмена на выходе из идеализированного прямоточного теплообменника можно получить равные температуры теплоносителей.
Вторым важным достоинством противоточной схемы является то, что средний температурный напор получается большим, чем для тех же температур при прямоточной схеме. Это значит, что при противоточном движении теплоносителей можно уменьшить площадь поверхности теплообмена [см. уравнение (17.3)].
Сравнение двух схем движения теплоносителей может быть., проведено путем сопоставления количества теплоты Qп, передаваемой при прямоточной схеме, и количества теплоты Qпр, передаваемой при противоточной схеме, при равенстве прочих условий.
На рис. 17.5 показана зависимость отношения Qп/Qпр от двух безразмерных характеристик Wг/Wx и kF/Wг. Равноценность двух схем наблюдается в случае, когда полная теплоемкость одного из тепдоносителей значительно больше полной теплоемкости другого (Wг/Wx>15 или Wг/Wx<0,03). Одинаковый эффект может быть достигнут для - двух схем и в случае, когда значение параметра kF/Wг мало. Это условие выполняется, если средний температурный напор значительно превышает изменение температуры горячего теплоносителя.
Таким образом, при равной площади поверхности теплообмена и одинаковых значениях температур теп
лоносителей на входе и выходе при противотоке передается теплоты больше, чем при прямотоке. В то же время при противотоке температурные условия работы металла, из которого изготовлена поверхность теплообмена, более тяжелые, особенно в зоне входа горячего
теплоносителя, где другая сторона стенки омывается
холодным теплоносителем с наибольшей его температурой. Этот фактор учитывается при конструировании теплообменных аппаратов, работающих с высокотемпературными теплоносителями, например, пароперегревателей котельных агрегатов, некоторых типов воздухоподогревателей и т. д.
Как уже отмечалось, противоточные и прямоточные схемы равнозначны, если один из теплоносителей в процессе теплообмена имеет неизменную температуру (конденсация насыщенных паров или кипение жидкости).
§ 66. Основы теплового расчета
регенеративных и смесительных теплообменников
Поверхность теплообмена регенераторов поочередно омывается горячим и холодным теплоносителями, воспринимая и аккумулируя теплоту в первом случае и отдавая ее во втором. Таким образом, процесс теплопередачи не стационарен и температура поверхности насадки (кирпич, металлические листы) изменяется в периоды нагревания и охлаждения; изменяются и температуры теплоносителей. В связи с этим тепловой расчет регенераторов весьма сложен.
Время, за которое происходит нагрев г и охлаждение х насадки, называется полным циклом или периодом:
Если использовать средние температуры теплоносителей tг и tx и поверхностей tс. г и tc. x за цикл, то расчет можно упростить с достаточной для практики точностью и свести его к решению уравнений, аналогич-
432
ных используемым при расчете рекуператоров. В этом случае уравнение теплопередачи
принимает вид:
Особенностью является то, что количество переданной теплоты рассчитывается за цикл и измеряется в
кДж.
Коэффициент теплопередачи kц определяется по
формуле![]()
Поправочный коэффициент k позволяет учесть неравенство средних температур поверхности насадки за периоды охлаждения и нагревания:-![]()
Обычно k = 0,8. Вычисление коэффициентов теплоотдачи г и x проводится по формулам для стационарных процессов переноса теплоты конвекцией и излучением с использованием усредненных значений температур теплоносителей и поверхности.
Процесс теплообмена в регенераторах зависит от многих факторов, в частности, от формы и толщины насадки, ее теплофизических свойств, температур теп-лоносителей, длительности цикла, полноты омывания поверхности нагрева, засорения зольными отложениями
и т. д.
Смесительные теплообменные аппараты характеризуются непосредственным контактом холодного и горячего теплоносителей. Эти аппараты находят, в частности, широкое применение в системах кондиционирования воздуха.
Естественно, что чем больше площадь поверхности соприкосновения теплоносителей, тем активнее протекают процессы тепло - и массообмена. С этой целью жидкости обычно разбрызгиваются на отдельные капли, размеры которых определяют скорость их движения, и выбираются исходя из конкретных условий.
При расчете смесительных аппаратов обычно пользуются нормами допустимой тепловой нагрузки единицы объема смесительного аппарата, установленными практикой. Именно равномерное распределение потоков теплоносителей по сечению с целью увеличения степени использования объема позволяет повысить производительность аппарата и уменьшить его размеры.
|
§ 67. Использование безразмерных характеристик для расчета теплообменных аппаратов
Переменные величины, входящие в уравнения теплового баланса и теплопередачи (температуры горячего и холодного теплоносителей, их полные теплоемкости массового расхода, коэффициент теплопередачи) могут быть сгруппированы в безразмерные параметры (характеристики), обладающие определенным физическим смыслом. Некоторые из этих характеристик уже встречались при изучении теплового расчета теплообменников, основанного на совместном решении уравнений теплового баланса и теплопередачи.
Эффективность (КПД) теплообменника определяется выражением:

где Wmin — наименьшая из величин Wг и Wx.
Эффективность выражает соотношение между фактически переданным количеством
теплоты
и максимально возможным количеством теплоты Qmaх, переданным в идеальном противоточном теплообменнике с бесконечно большой площадью поверхности теплообмена;
при Wх<Wг:
![]()
при Wг<Wx:
При заданных рабочих параметрах t'г, t'x, Wг, Wx величина полностью определяет условия теплообмена между теплоносителями. Так, если Wг=Wmin, то величина = (t'г—t"г)l(t'г—t'x) может трактоваться как температурный КПД процесса охлаждения горячей жидкости, а при Wх— Wmin величина =(t"x—t'x)/(t'г—t'x) характеризует эффективность процесса нагревания холодной жидкости.
Следующий безразмерный параметр — число единиц переноса теплоты N определяется по формуле
Величина N характеризует возможность передачи теплоты от одного теплоносителя другому в данном теп-лообменном аппарате.
Физический смысл величины N, а также ее взаимосвязь с эффективностью характеризуются кривыми, показанными на рис. 17.6. Очевидно, что для заданного соотношения полных теплоемкостей при малых N низка и эффективность теплообменника. При увеличении параметра N эффективность повышается и приближается к пределу, определяемому схемой движения теплоносителей. Зная величину N, включающую в себя площадь поверхности теплообмена F и коэффициент теплопередачи k [см. формулу (17.29)], моожно оценить степень повышения величины с учетом капитальных затрат, массы и объема аппарата для заданной площади поверхности теплообмена, а также затрат энергии на преодоление гидравлического сопротивления при повышении коэффициента теплопередачи.
Если пренебречь термическим сопротивлением стенки, то формула (17.11а), определяющая полное термическое сопротивление теплопередаче, может быть преобразована в следующее выражение:
где L — рабочая
длина поверхности нагрева; rг — гидравлический
радиус, определяемый с учетом площади свободного сечения fc по формуле rг=fсL/F; Stг и Stx — числа Стентона, рассчитываемые по определяющим температурам холодного и горячего теплоносителей.
Третья безразмерная характеристика Wmin/Wmax— отношение полных теплоемкостей массовых расходов теплоносителей. Перечисленные безразмерные параметры могут быть связаны в единое уравнение для каждой из возможных схем движения потоков теплоносителей, т. е.![]()
Рассмотрим противоточный теплообменник, температурные условия в котором схематически представлены на рис. 17.3. Предположим, что для него Wг/Wх<1, т. е. Wг= Wmin. Исходя из теплового баланса, получаем:
![]()
или![]()
Очевидно, что можно построить так называемую «рабочую» линию, выражающую зависимость tг от tx для случая Wx/Wг= const. Эта «рабочая» линия нанесена на рис. 17.7. Ее наклон определяется отношением dtг/dtx— =Wх/Wг=m0=const>1. При tг = tx существует равновесие между двумя потоками теплоносителей; линия, выражающая это равновесие, также представлена на рис. 17.7, она проходит через начало координат.
Из определения
эффективности и из рис. 17.7 следует:
Решая совместно уравнения (17.33) и (17.1), получаем![]()
Интегрирование этого выражения в пределах температур входа и выхода горячей жидкости приводит к следующему уравнению:
![]()
В соответствии с рис. 17.7 можно получить равенства:
![]()
Таким
образом,
Решая совместно уравнения (17.36) и (17.38), получаем окончательно

По этому уравнению построен график на рис. 17.6.
Анализ зависимости =f(N) для противоточного теплообменника приведен выше. Следует добавить, что меньшее соотношение полных теплоемкостей теплоносителей позволяет получить большую эффективность при заданном значении N.
На практике встречаются два предельных вида уравнения (17.39). Если в процессе передачи теплоты одна из жидкостей остается при постоянной температуре (кипение или конденсация), то ее полная теплоемкость бесконечно велика, т. е. Wmin/Wmax= 0 и при этом
![]()
Если Wx=Wг, т. е. Wmin/Wmax= 1, то уравнение (17.39) принимает вид: =N/(1+N).
Если при расчете теплообменника требуется определить необходимую площадь поверхности теплообмена F и при этом заданы k, Wx, Wг, конечные температуры и характер относительного движения потоков, то применяют схему расчета с использованием зависимости г = —f(N); в общем виде схема расчета приведена ниже.
По известным конечным температурам вычисляют эффективность , а также отношение Wmin/Wmax. Используя зависимости для заданной схемы движения потоков, по величине Wmin/Wmax определяют N. Площадь поверхности теплообмена
F находят по формуле
При указанной формулировке задачи использование среднелогарифмической разности температур также не вызывает сложностей и трудоемкость расчета примерно такая же, как и при расчете по методу безразмерных характеристик.
В случае поверочного расчета теплообменника (см. § 64), когда необходимо определить температуры теплоносителей на выходе из аппарата при заданных F, k, Wг, Wx, t'г, t'x, схема расчета по методу безразмерных характеристик будет выглядеть так. Используя исходные данные, вычисляют N и отношение Wmin/Wmax. Далее по известным N и Wmin/Wmax для данной схемы движения потоков определяют величину . Тепловую мощность аппарата рассчитывают
по выражению
Значения конечных температур теплоносителей определяют из уравнений:
![]()
Метод безразмерных характеристик позволяет определить эффективность работы теплообменных аппаратов различных типов. При этом появляется возможность учесть влияние различных факторов на эффективность работы аппарата: схемы движения теплоносителей, числа ходов в перекрестноточных теплообменниках, а также наличия перемешивания теплоносителя (или течения его по отдельным параллельным каналам). Кроме того, этот метод позволяет установить, что перемешивание теплоносителя с меньшей полной теплоемкостью массового расхода приводит к более высокой эффективности работы теплообменника, а также оценить влияние отношения полных теплоемкостей массового расхода теплоносителей на характеристики теплообменника-















