По существу, процесс принятия организационных решений очень тесно связан с процессом управления организацией в целом.
Интуитивные решения принимаются менеджером по интуиции ("на глазок"). К ним склонны, как правило, менеджеры с большим стажем управленческой работы.
Рациональное решение отличается тем, что не зависит от опыта и стажа работы менеджера. В его основе лежит глубокий анализ и синтез всех явлений и процессов, происходящих в гостиничной индустрии.
Применительно к гостиничному комплексу можно выделить следующие критерии классификации управленческих решений:
1) степень структурированности (незапрограммированные и запрограммированные);
2) содержание (юридические, экономические, технические и др.);
3) количество лиц, участвующих в принятии решения (групповые и индивидуальные);
4) уровень управления (высший, средний, низший);
5) количество целей (одноцелевые и многоцелевые).
7.2. Процесс принятия решений
Содержание процесса принятия решения зависит прежде всего от сложности возникшей проблемной ситуации. К примеру, не вызовет проблемы, если внезапно заболел сотрудник, которому имеется равноценная замена, но сложной проблема окажется, если на рынке гостиничных услуг изменилась маркетинговая ситуация. В любом случае в процессе принятия решения менеджеру необходимо дать ответы на следующие вопросы: Что делать? Как делать? Кому поручить работу? Каковы сроки ее исполнения? Для кого делать? Где делать? Что это даст?
Вопросы о том, сколько и какие стадии должен пройти процесс принятия решений, каково конкретное содержание каждой из них, спорные, и решаются менеджерами по-разному. Это зависит от квалификации руководителя, ситуации, стиля руководства и культуры организации. Важно, чтобы каждый менеджер понимал сильные стороны и ограничения каждого подхода и процедуры принятия решения и с учетом ситуации, а также собственного стиля управления умел выбрать лучший вариант.
При принятии любого, даже самого простого, решения требуются соответствующие затраты (материальные, социальные и др.). Поэтому менеджер должен прежде всего определиться: нужно ли принимать решение или можно обойтись советом, пожеланием и т. д.
Классический же подход к принятию управленческого решения состоит в соблюдении определенной процедуры и выполнении обязательных действий:
1) определение проблемы;
2) выявление ограничений и определение альтернатив;
3) принятие решения;
4) реализация решения;
5) контроль за исполнением.
Определение проблемы. У истоков любого решения находится проблемная ситуация, требующая своего разрешения. Задача менеджера на этом этапе состоит в анализе проблемной ситуации, то есть в определении симптома "болезни", изучении положения дел и целей, предварительной формулировке критериев решения. Таким образом, процесс определения проблемы состоит в ее обнаружении и оценке.
Обнаружение проблемы — осознание того, что возникло отклонение от первоначально установленных планов. Менеджер может узнать о существовании проблемы из личного обзора и анализа информации, общественного мнения, мнения других менеджеров и подчиненных.
Оценка проблемы — установление ее масштабов и природы. Определение масштаба проблемы не есть нахождение ее причины и источника. Речь идет лишь об оценке средств для ее решения и степени ее серьезности.
Выявление ограничений и определение альтернатив. Причиной возникновения проблемы могут быть находящиеся вне организации силы (внешняя среда), которые менеджер не может изменить. Ограничения такого рода сужают возможности принятия оптимальных решений, поэтому необходимо определить их источник и суть и наметить возможные действия, устраняющие причины этой проблемы. Поиску альтернатив должен предшествовать этап определения критериев успешного решения, это исключит в будущем ошибки в принятых решениях.
Принятие решения. На этой стадии разрабатываются варианты решения, дается их оценка и отбирается альтернатива с наиболее благоприятными общими последствиями. Речь идет о сравнении достоинств и недостатков каждого варианта решения. Менеджер должен ответить на вопросы: Какова эффективность (экономическая и социальная) решения? Имеется ли внутреннее согласие подчиненного выполнить данное решение? Каковы последствия?
Реализация решения. Процесс не заканчивается выбором варианта решения, потому как для достижения конечных целей принятое решение должно быть реализовано. На стадии реализации принимаются меры по конкретизации решения и доведению его до исполнителей. Необходимо разработать план реализации управленческого решения, в котором предусмотреть, кто, когда, где и какими средствами должен решить проблему.
Контроль за исполнением решения. Даже после того, как решение введено в действие, процесс его принятия не может считаться полностью завершенным, так как нужно получить информацию о том, по плану ли происходит реализация принятого управленческого решения. В процессе контроля выявляются отклонения и вносятся поправки, помогающие реализовать решение полностью. С помощью контроля устанавливается обратная связь между управляющей и управляемой системами.
7.3. Методы принятия решений
Все методы принятия управленческих решений можно разделить на:
• неформальные (эвристические),
• коллективные,
• количественные.
Неформальные (эвристические) методы принятия решений. Это совокупность приемов и методики выбора оптимальных решений руководителем, теоретическое сравнение альтернатив с учетом накопленного опыта. Неформальные методы базируются в основном на интуиции менеджера. Их преимущество в том, что они принимаются оперативно; недостатком же является то, что интуиция может иногда подвести менеджера.
Коллективные методы обсуждения и принятия решений. Основным моментом в процессе коллективной работы над реализацией управленческих решений является определение круга лиц — участников данной процедуры. Чаще всего это временный коллектив, в состав которого включаются и руководители, и исполнители. Главными критериями формирования такой группы являются компетентность, способность решать творческие задачи, конструктивность мышления и коммуникабельность. Коллективные формы групповой работы могут быть разными: заседание, совещание, работа в комиссии и т. п. Наиболее распространен такой метод коллективной подготовки управленческих решений, как "мозговой штурм", или "мозговая атака" (совместное генерирование новых идей и последующее принятие решений). Если предстоит решить сложную проблему, собирается группа людей, которые предлагают любые решения определенной проблемы. Основное условие "мозгового штурма" — создание обстановки, максимально благоприятной для свободного генерирования идей. Чтобы этого добиться, запрещается опровергать или критиковать идею, какой бы на первый взгляд фантастической она ни была. Все идеи записываются, а затем анализируются специалистами (рис. 7.1).

Рис. 7.1. Основная структура метода "мозговой атаки"
Примером коллективного принятия решений может служить метод Дельфы, получивший название от греческого города, прославившегося жившими там мудрецами — предсказателями будущего. Метод Дельфы — многотуровая процедура анкетирования. После каждого тура данные анкетирования дорабатываются и полученные результаты сообщаются экспертам с указанием расположения оценок. Первый тур анкетирования проводится без аргументации, во втором отличающийся от других ответ подлежит аргументации или же эксперт может изменить оценку. После стабилизации оценок опрос прекращается и принимается предложенное экспертами или скорректированное решение.
Существует еще японская (кольцевая) система принятия решений — "кингисё", суть которой состоит в том, что на рассмотрение готовится проект новшества. Он передается для обсуждения лицам по списку, составленному руководителем. Каждый должен рассмотреть предлагаемое решение и дать свои замечания в письменном виде. После этого проводится совещание. Как правило, приглашаются те специалисты, чье мнение руководителю не совсем ясно. Эксперты выбирают свое решение в соответствии с индивидуальными предпочтениями. И если они не совпадают, то определяют вектор предпочтений с помощью одного из следующих принципов:
а) большинства голосов — выбирается решение, имеющее наибольшее число сторонников;
б) диктатора — за основу берется мнение одного лица. Этот принцип характерен для военных организаций, а также для принятия решений в чрезвычайных обстоятельствах;
в) принцип Курно используется в том случае, когда коалиций нет, то есть предлагается число решений, равное числу экспертов. В этом случае необходимо найти такое решение, которое отвечало бы требованию индивидуальной рациональности без ущемления интересов каждого в отдельности;
г) принцип Парето используется при принятии решений, когда все эксперты образуют единое целое, одну коалицию. В этом случае оптимальным будет такое решение, которое невыгодно менять сразу всем членам группы, поскольку оно объединяет их в достижении общей цели;
д) принцип Эджворта используется в том случае, если группа состоит из нескольких коалиций, каждой из которых невыгодно отменять свое решение. Зная предпочтения коалиций, можно принять оптимальное решение, не нанося ущерба друг другу.
Количественные методы принятия решений. В основе лежит научно-практический подход, предполагающий выбор оптимальных решений путем обработки (с помощью компьютера) больших массивов информации.
В зависимости от типа математических функций, положенных в основу моделей, различают:
а) линейное моделирование, при котором используются линейные зависимости;
б) динамическое программирование, позволяющее вводить дополнительные переменные в процесс решения задач;
в) вероятностные и статистические модели, реализуемые в методах теории массового обслуживания;
г) теория игр — моделирование таких ситуаций, принятие решения в которых должно учитывать несовпадение интересов различных подразделений;
д) имитационные модели позволяют экспериментально проверить реализацию решений, изменить исходные предпосылки, уточнить требования к ним.
7.4. Индивидуальные стили принятия решений
В решениях всегда отражается личность того, кто их принимает. С этой стороны интересен личностный профиль управленческого решения, то есть та совокупность индивидуальных особенностей руководителя, которую несут с собой его решения к исполнителям.
В науке выделены следующие разновидности личностных профилей решений.
Решения уравновешенного типа свойственны людям, которые приступают к проблеме с уже сформулированной исходной идеей, возникшей в результате предварительного анализа условий и требований задачи. Уравновешенность проявляется в том, что выдвижение гипотез и их проверка одинаково привлекают внимание человека. Подобная тактика принятия решений наиболее продуктивна.
Импульсивные решения характерны для людей, у которых процесс построения гипотез резко преобладает над действиями по их проверке и уточнению. Такой человек относительно легко генерирует идеи, но мало заботится об их оценке. Это приводит к тому, что процесс принятия решений проходит скачкообразно, минуя этап обоснования и проверки. В практической работе импульсивность решений может привести к тому, что руководитель будет стремиться внедрить в жизнь решения, которые недостаточно осмыслены и обоснованы.
Инертные решения — результат очень неуверенного и осторожного поиска. После появления исходной гипотезы ее уточнение идет крайне медленно. Оценки сверхкритичны, каждый свой шаг человек проверяет неоднократно. Это ведет к растягиванию процесса принятия решений во времени.
Рискованные решения напоминают импульсивные, но отличаются от них некоторыми особенностями индивидуальной тактики. Если импульсивные решения перескакивают через этап обоснования гипотезы, то рискованные все же его не обходят, но к оценке человек приходит лишь после того, как обнаружена какая-то несообразность. В итоге, хотя и с опозданием, элементы построения гипотез и их проверки уравновешиваются.
Решения осторожного типа характеризуются особой тщательностью оценки гипотез, критичностью. Человек, прежде чем прийти к какому-либо выводу, совершает множество разнообразных подготовительных действий. Решениям осторожного типа присуща упреждающая оценка. Осторожные люди более чувствительны к отрицательным последствиям своих действий, чем к положительным. Их больше пугают ошибки, чем радуют успехи. Поэтому тактическая линия осторожных — избежать ошибок. Для импульсивных, например, характерна противоположная тактическая линия: они ориентируются на успех и менее чувствительны к неудачам.
7.5. условия эффективности управленческих решений
Эффективным управленческое решение могут сделать:
• соблюдение иерархии в принятии решений;
• использование межфункциональных групп;
• использование прямых горизонтальных связей;
• централизация руководства.
Иерархия в принятии решений — делегирование полномочий по принятию решения ближе к тому уровню, на котором имеется больше необходимой информации и который непосредственно участвует в реализации принятого решения. В этом случае исполнителями решения являются сотрудники смежных уровней. Контакты с подчиненными, находящимися более чем на один иерархический уровень ниже (выше), не допускаются.
Использование целевых межфункциональных групп, члены которых отбираются из различных подразделений и уровней организации.
Использование непосредственных (прямых) горизонтальных связей. В данном случае (особенно на начальной стадии процесса принятия решения) сбор и обработка информации осуществляются без обращения к вышестоящему руководству. Такой подход способствует принятию решений в более короткие сроки и повышению ответственности за их выполнение.
Централизация руководства. Процесс принятия решения должен находиться в руках одного (общего) руководителя. В данном случае формируется иерархия в принятии решений, то есть каждый низший руководитель решает свои проблемы (принимает решения) с непосредственным руководством, а не с руководителем самого высокого уровня.
Как уже отмечалось, лучший вариант, когда решение выбирается благодаря последовательной оценке каждого из предлагаемых. При этом определяется, насколько каждый вариант решения обеспечивает достижение цели. Таким образом, решение должно отвечать требованиям, вытекающим из решаемой ситуации и целей организации, а именно:
• эффективности;
• экономичности;
• своевременности;
• обоснованности;
• реальности.
Решение должно быть эффективным, то есть наиболее полно обеспечивать достижение поставленной организацией цели.
Решение должно быть экономичным, то есть обеспечивать достижение поставленной цели с наименьшими затратами.
Своевременность решения означает не только нужный момент его принятия, но и своевременность достижения целей. Ведь когда решается проблема, события продолжают развиваться. Может получиться так, что прекрасная идея устареет и потеряет с течением времени смысл, хотя изначально она была хороша.
Исполнители должны быть убеждены, что решение обоснованно. В связи с этим нельзя путать фактическую обоснованность и ее восприятие исполнителями — понимание ими аргументов, побуждающих менеджера принять именно такое решение.
Решение должно быть реально осуществимым, то есть нельзя принимать нереальные, абстрактные решения. Такие решения вызывают досаду исполнителей, и в основе своей они неэффективны. Принятое решение должно соответствовать силам и средствам выполняющего его коллектива.
Особую роль в эффективности решений играют методы доведения принятых решений до исполнителей. Доведение решений до исполнителей начинается обычно с разделения на групповые и индивидуальные задания и подбора исполнителей. В результате каждый сотрудник получает конкретное задание, которое находится в прямой зависимости от его служебных обязанностей. Считается, что умение передать задачи исполнителям является главным источником эффективности принятого решения. В связи с этим выделяют четыре основные причины невыполнения решений:
• решение было недостаточно четко сформулировано менеджером;
• решение было ясно и четко сформулировано, однако исполнитель его плохо уяснил;
• решение четко сформулирована и исполнитель его хорошо уяснил, но у него не было необходимых условий и средств для его выполнения;
• решение было грамотно сформулировано, исполнитель его усвоил и имел все необходимые средства для его выполнения, но у него не было внутреннего согласия с вариантом решения, предложенным менеджером. Исполнитель в данном случае может иметь свой, более эффективный, по его мнению, вариант решения данной проблемы.
Таким образом, эффективность решения зависит не только от его оптимальности, но и от формы доведения его до исполнителей (оформления решений и личных качеств руководителей и исполнителей). Организация исполнения принятых руководством решений как специфическая деятельность менеджера предполагает то, что он держит в поле зрения решения, находит способ влиять на них, управляет ими. Команда — "приступить к исполнению решения!" — не может быть дана раньше, чем у руководителя не возникнет уверенности в том, что все звенья правильно поняли свои задачи и имеют все средства для их выполнения.
Главный смысл всей работы по доведению задач до исполнителей состоит в том, чтобы построить в сознании некий образ (технологию) будущей работы по выполнению управленческого решения. Первоначальное впечатление об этой работе формируется у исполнителя при получении и восприятии задания. После этого идея (модель задания) уточняется, обогащается посредством адаптации ее к реальным и объективным условиям внутренней и внешней среды. На этой основе и разрабатывается технология выполнения решения (идеальная модель деятельности исполнителя по выполнению задания менеджера). Для того чтобы модель деятельности исполнителя была выполнена в соответствии с первоначальной идеей менеджера, к ней (модели) предъявляют ряд требований:
• полнота модели;
• глубина отражения первоначальной идеи;
• стрессоустойчивость и прочность;
• гибкость модели;
• согласованность;
• ее мотивация.
Полнота модели решения описывает ее соответствие, с одной стороны, замыслу руководителя, его решению и поставленным им задачам, а с другой — содержанию, структуре и условиям исполнительской деятельности. Идеальным вариантом была бы такая полнота модели, при которой она развернута настолько, что еще до начала работы исполнитель мысленно может представить себе все тонкости предстоящей работы.
Точность модели необходима потому, что если задача ставится абстрактно — в общем виде, то она не выполняется вообще или выполняется формально. Система управления, в которой точность формирования оперативных моделей решения не стала законом, распадается.
Глубина отражения первоначальной модели характеризует оперативную модель с точки зрения представленности в ней всей динамики предстоящей деятельности.
Стрессоустойчивость и прочность модели предполагает способность исполнителя четко реализовать план действий, сложившийся в его сознании, в любых сложных ситуациях.
Гибкость модели — критерий, который как бы противоречит всем указанным выше. Очевидно, что абсолютно жесткий и "неподдающийся" образ может быть приемлем только в застывших и неизменных структурах, которых в природе и обществе нет и быть не может. Проблема в том, чтобы выбрать оптимальное соотношение между стабильностью (неподвижностью) и гибкостью модели.
Согласованность модели решения связана с тем, что исполнитель чаще всего выполняет свой этап работы в одиночку, поэтому его действия должны согласовываться по задачам, времени и месту с действиями других исполнителей.
Мотивация модели решения. Известно, что понимание решения и усвоение его идеальной модели не в полной мере обеспечивают должную мобилизацию всех резервов исполнителей, поэтому и нужно мотивировать их деятельность. Воздействие на мотивы, побуждающие исполнителей к проявлению активности, внутренней потребности для выполнения заданий, — основной смысл мобилизации трудового коллектива на выполнение принятых руководством решений.
7.6. Организация и контроль за исполнением решений
Организовать исполнение решения — задача не из легких. Она требует знания людей, их возможностей, сил, средств и методов исполнения. Организация исполнения решений — это специфическая деятельность руководителя, завершающая управленческий цикл. И если на этапе подготовки и принятия решения руководитель оперирует идеальными отображениями предметов и явлений, то в процессе организации его исполнения он сталкивается с реальной ситуацией, которая чаще всего отличается от идеальной.
Недостаточно опытный руководитель, мысленно оперирующий вещами и событиями, привыкает к легкости манипулирования идеальными представлениями и неосознанно переносит эту легкость на реальную ситуацию. В результате такого менеджмента принимаемые им решения оказываются непосильными и на практике не выполняются. Здесь следует учитывать то обстоятельство, что руководитель организует не свою деятельность, а труд других людей. Это две разные вещи, ибо процесс исполнения решений также нужно организовывать. Исполнители должны получить четкую информацию о том, кто, где, когда и какими способами и средствами должен осуществлять действия, соответствующие принятому решению. Необходимо разработать план его реализации, которым предусматривается система мер, обеспечивающих достижение целей решения с минимальными издержками.
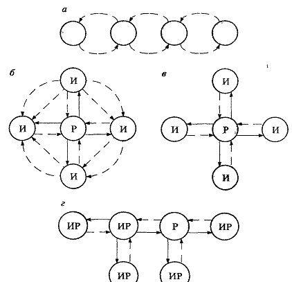
Одним из механизмов, обеспечивающих успешное выполнение решений, является установление и структуризация коммуникаций в фирме. Задача состоит в оптимальном построении структуры коммуникаций управленческих работников и исполнителей. Структуры таких коммуникационных сетей могут быть различными, а связи между передающей (коммутатором-руководителем) и воспроизводящей стороной (исполнителем) могут существенно различаться. В связи с этим можно выделить наиболее часто встречающиеся в организации коммуникации — цепочную, многосвязную, звездную и иерархическую (рис. 7.2).
При цепочной структуре коммуникаций (рис. 7.2, а) решение, передаваемое с одного конца на другой, становится известно всем исполнителям и всеми ими обсуждается Все связи в такой коммуникации одинаковы, а командный стиль руководства отсутствует. Такая структура взаимоотношений распадается, если нарушается связь между двумя участниками коммуникации.
В многосвязной структуре коммуникаций (рис. 7.2, б) все ее участники связаны между собой. Ее отличает достаточная устойчивость и скорость передачи информации. Отношения командования ярко выражены. В практике управления наиболее часто встречается на уровне первичного коллектива.
В звездной структуре коммуникаций (рис. 7.2, в) ярко выражен "коммутатор-руководитель", через которого передаются все задачи. Все связи замыкаются на нем. Устойчивость и скорость передачи информации невысокие.

Рис. 7.1. Структура коммуникаций: а — цепочная, б — многосвязная, в — звездная, г — иерархические отношения координации, ярко выраженное командное действие;
И — исполнитель, Р — руководитель
Для иерархической структуры коммуникаций (рис. 7.3, г) характерны ярко выраженные командные отношения. Промежуточные ступени одновременно являются и подчиненными, и командными.
Организационно-управленческие решения оформляют в виде приказа или распоряжения, после чего они приобретают силу закона. Однако множество решений в организации мигрирует в виде устных указаний, заданий, пожеланий и подобных управляющих директив. Главная задача менеджера и состоит в том, чтобы организовать исполнение такого решения, обеспечить координацию действий и контроль за его выполнением. Таким образом, контроль за исполнением решений является заключительной стадией управленческого цикла. Он принимает форму обратной связи, посредством которой можно получить информацию об исполнении решения и достижении организацией поставленных целей.
Главное назначение контроля — в своевременном обнаружении возможных отклонений от заданной программы реализации решения, а также в своевременном принятии мер по их ликвидации. В процессе контроля первоначальные цели организации могут модифицироваться, уточняться и изменяться с учетом полученной дополнительной информации о выполнении принятых решений.
С помощью контроля не только выявляются отклонения от заданий, сформулированных в решениях, но и определяются причины этих отклонений. Выделяются и другие функции контроля за исполнением принятых решений:
• диагностическая;
• функция обратной связи;
• ориентирующая;
• стимулирующая;
• корректирующая;
• педагогическая.
Диагностическая. Главная, ведущая функция контроля — кто бы что ни проверял, какие бы задачи ни ставились, в любом случае сначала нужно четко представить себе подлинное состояние дел, то есть поставить диагноз.
Обратная связь при контроле за выполнением поставленных задач позволяет руководителю не выпускать из рук бразды правления, дает ему возможность оказывать влияние на ход работы.
Ориентирующая функция контроля проявляется в том, что те вопросы, которые чаще всего контролируются начальником, приобретают особое значение в сознании исполнителей, направляют их усилия в первую очередь на объект повышенного внимания руководителя. Вопросы, выпадающие из поля зрения руководителя, зачастую не решаются подчиненными.
Если ориентирующая функция контроля при умелом руководстве позволяет менеджеру держать работы в поле зрения, то стимулирующая функция нацелена на выполнение и вовлечение в процесс труда всех неиспользованных резервов.
Корректирующая функция связана с теми уточнениями, которые вносятся в решения на основе материалов контроля. Здесь складывается сложная психологическая ситуация: руководитель полагает, что он проверяет работу подчиненного, на самом же деле последний уже проверил на практике эффективность решения руководителя. Иными словами, контроль уже, можно сказать, состоялся, причем по самому надежному критерию — по соответствию принятого решения практике.
Педагогическая функция. Контроль, если он построен умело, побуждает исполнителей к добросовестному труду.
В практике управления организацией применяются три основные разновидности контроля:
• предварительный — предшествует принятию окончательного решения. Его цель — дать более глубокое обоснование принимаемому решению;
• текущий — с его помощью вносятся коррективы в процесс исполнения принятых решений;
• последующий — служит для проверки эффективности принятия решений.
Таким образом, контроль является объективной необходимостью, так как даже самые оптимальные планы не могут быть реализованы, если их не довести до исполнителей и за их исполнением не наладить постоянный контроль.
Вопросы для повторения
1. Что вы понимаете под управленческим решением?
2. Назовите основные стадии процесса подготовки и принятия управленческих решений.
3. Дайте классификацию и охарактеризуйте виды управленческих решений.
4. Чем отличаются решения, принимаемые в условиях определенности и в условиях риска?
5. Объясните различия между запрограммированными и незапрограммированными решениями.
6. Дайте характеристику процесса принятия управленческих решений.
7. Приведите общую классификацию методов принятия управленческих решений.
8. В чем индивидуальность стилей принятия решений?
9. Назовите факторы эффективности принимаемых решений.
10. Назовите требования, предъявляемые к управленческим решениям.
11. Как вы понимаете процедуру организации исполнения управленческих решений?
12. Для чего нужен контроль за выполнением решения?
ОГЛАВЛЕНИЕ
Предисловие......................................................................................................................................................................................................... 3
глава 1 Гостиничное и ресторанное хозяйство как объект управления.................................................... 3
1.1. Эволюция предприятий индустрии гостеприимства................................................................................................. 3
Древний период (IV тысячелетие до н. э. — 476 г. н. э.) ,........................................................................................................................... 3
Средневековье (V - XV вв. н. э.)......................................................................................................................................................................... 4
Новое время (XVI в. — начало XX в.)............................................................................................................................................................ 5
Современные тенденции развития индустрии гостеприимства............................................................................................................. 6
1.2. Характеристика и особенности гостиничных услуг.............................................................................................. 11
1.3. Классификация гостиниц............................................................................................................................................................. 18
Уровень комфорта............................................................................................................................................................................................. 19
Классификация гостиниц в РФ...................................................................................................................................................................... 23
Вместимость номерного фонда..................................................................................................................................................................... 25
Функциональное назначение гостиничного предприятия.................................................................................................................... 25
Вопросы для повторения…………………………...…………………………………………………………………………………28
глава 2 Организационная структура управления предприятиями индустрии гостеприимства......................................................................................................................................................................................................................................... 29
2.1. Структура управления предприятиями индустрии гостеприимства.......................................................... 29
2.2. Типы организационных структур............................................................................................................................................ 29
2.3. Основные службы гостиницы.................................................................................................................................................... 34
Служба бронирования..................................................................................................................................................................................... 35
Служба обслуживания.................................................................................................................................................................................... 36
Служба приема и расчетная часть.............................................................................................................................................................. 37
Служба эксплуатации номерного фонда................................................................................................................................................... 38
2.4. Формы управления............................................................................................................................................................................... 39
Управление по контракту............................................................................................................................................................................... 39
Управление через договор франчайзинга.................................................................................................................................................. 40
Аренда.................................................................................................................................................................................................................. 43
Вопросы для повторения........................................................................................................................................................................ 43
глава 3 Методы и стиль управления............................................................................................................................................ 44
3.1. Методы управления............................................................................................................................................................................ 44
Понятие и классификация методов менеджмента.................................................................................................................................... 44
Экономические методы управления............................................................................................................................................................ 45
Организационно-административные методы управления.................................................................................................................... 45
Социально-психологические методы управления.................................................................................................................................. 46
3.2. Стиль управления................................................................................................................................................................................. 47
Понятие и характеристика стилей руководства...................................................................................................................................... 47
Управленческая решетка ГРИД.................................................................................................................................................................. 49
Вопросы для повторения........................................................................................................................................................................ 50
глава 4 Управление процессами обслуживания на предприятиях питания......................................... 50
4.1. Классификация предприятий питания................................................................................................................................ 50
4.2. Культура обслуживания на предприятиях питания................................................................................................ 53
4.3. Обслуживание в гостиничных номерах............................................................................................................................ 62
4.4. Условия питания и методы обслуживания.................................................................................................................... 63
4.5. Виды сервиса............................................................................................................................................................................................ 65
4.6. Обслуживание банкетов................................................................................................................................................................ 67
4.7. Характеристика и виды меню..................................................................................................................................................... 68
Вопросы для повторения................................................................................................................................................................... 74
глава 5 Управление качеством услуг........................................................................................................................................ 74
5.1. Качество услуги как объект управления......................................................................................................................... 74
Качество услуги с точки зрения потребителя........................................................................................................................................... 76
Относительное качество................................................................................................................................................................................. 78
5.2. Стандартизация и сертификация в управлении качеством услуг............................................................... 79
Стандартизация................................................................................................................................................................................................. 79
Сертификация..................................................................................................................................................................................................... 81
5.3. Всеобщее Управление Качеством........................................................................................................................................... 83
Вопросы для повторения................................................................................................................................................................... 87
глава 6 Менеджмент персонала гостиниц и ресторанов......................................................................................... 88
6.1. Кадровая служба гостиничного комплекса................................................................................................................. 88
6.2. Требования к менеджеру................................................................................................................................................................ 88
6.3. Формирование трудовых коллективов............................................................................................................................... 91
Власть и личное влияние................................................................................................................................................................................ 92
6.4. Подбор персонала................................................................................................................................................................................. 95
Рынки рабочей силы......................................................................................................................................................................................... 96
Оценка персонала............................................................................................................................................................................................. 98
Прием на работу..........................................................................................................................................................................................
Вопросы для повторения..............................................................................................................................................................
глава 7 Управленческие решения.............................................................................................................................................
7.1. Содержание и вилы управленческих решений........................................................................................................
7.2. Процесс принятия решений.....................................................................................................................................................
7.3. Методы принятия решений......................................................................................................................................................
7.4. Индивидуальные стили принятия решений...............................................................................................................
7.5. условия эффективности управленческих решений………………………………………………………………
7.6. Организация и контроль за исполнением решений.............................................................................................
Вопросы для повторения………………………………………………….………………………………………………………..110
|
Из за большого объема этот материал размещен на нескольких страницах:
1 2 3 4 5 6 7 8 9 10 11 12 13 |



