Приложение
к распоряжению председателя
Избирательной комиссии Красноярского края
-р
Порядок определения нормативных затрат на обеспечение функций
Избирательной комиссии Красноярского края
Общие положения
1.1 Настоящий Порядок определяет нормативные затраты на обеспечение функций Избирательной комиссии Красноярского края (далее – Нормативные затраты) в части закупок товаров, работ, услуг в соответствии с Федеральным законом от 05.04. 2013 года «О контрактной системе в сфере закупок товаров, работ, услуг для обеспечения государственных и муниципальных нужд».
1.2 Общий объем затрат, связанных с закупкой товаров, работ, услуг, рассчитанный на основе нормативных затрат, не может превышать объем доведенных в установленном порядке Избирательной комиссии Красноярского края как получателю бюджетных средств лимитов бюджетных обязательств на закупку товаров, работ, услуг.
1.3 Количество планируемых к приобретению товаров (основных средств, материальных запасов) определяется с учетом фактического наличия количества товаров, учитываемых на балансе у Избирательной комиссии Красноярского края, а также с учетом оборудования, относящегося к имуществу государственной казны Российской Федерации, закрепленного за Избирательной комиссией Красноярского края по договору возмездного пользования от 01.01.2001 года № 000 дв.
1.4 В отношении товаров, относящихся к основным средствам, устанавливаются сроки их полезного использования в соответствии с требованиями законодательства Российской Федерации о бухгалтерском учете или исходя из предполагаемого срока их фактического использования. При этом предполагаемый срок фактического использования не быть меньше срока полезного использования, определяемого в соответствии с требованиями законодательства Российской Федерации о бухгалтерском учете.
II. Состав нормативных затрат
Нормативные затраты (Зобщ) включают в себя затраты на информационно-коммуникационные технологии (Зикт), прочие затраты (Захз), затраты на капитальный ремонт государственного имущества (Зкап), затраты на финансовое обеспечение строительства, реконструкции (в том числе с элементами реставрации), технического перевооружения объектов капитального строительства государственной собственности или приобретение объектов недвижимого имущества в государственную собственность (Зфос) и затраты на дополнительное профессиональное образование (Здпо) и определяются по формуле:
Зобщ = Зикт + Захз + Зкап + Зфос + Здпо.
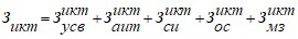
I. ЗАТРАТЫ НА ИНФОРМАЦИОННО-КОММУНИКАЦИОННЫЕ ТЕХНОЛОГИИ
Затраты на информационно-коммуникационные технологии (Зикт) включают в себя затраты на услуги связи (
), затраты на аренду информационно-коммуникационного оборудования (
), затраты на содержание имущества (
), затраты на приобретение основных средств (
) и затраты на приобретение материальных запасов в сфере информационно-коммуникационных технологий (
) и определяются по формуле:
.
1. Затраты на услуги связи
Затраты на услуги связи (
) определяются по формуле:
![]()
где:
Заб - затраты на абонентскую плату;
Зпов - затраты на повременную оплату местных, междугородних и международных телефонных соединений;
Зсот - затраты на оплату услуг подвижной связи;
Зип - затраты на передачу данных с использованием информационно-телекоммуникационной сети Интернет (далее - сеть Интернет) и услуги интернет-провайдеров для планшетных компьютеров;
Зи - затраты на сеть Интернет и услуги интернет-провайдеров;
Зрпс - затраты на электросвязь, относящуюся к связи специального назначения, используемой на региональном уровне;
Зпс - затраты на электросвязь, относящуюся к связи специального назначения, используемой на федеральном уровне;
Зцп - затраты на оплату услуг по предоставлению цифровых потоков для коммутируемых телефонных соединений;
Зпр - затраты на оплату иных услуг связи в сфере информационно-коммуникационных технологий.
1.1. Затраты на абонентскую плату
Затраты на абонентскую плату (Заб) определяются по формуле:
,
где:
Qiаб - количество абонентских номеров пользовательского (оконечного) оборудования, подключенного к сети местной телефонной связи, используемых для передачи голосовой информации (далее - абонентский номер для передачи голосовой информации) с i-й абонентской платой;
Hiаб - ежемесячная i-я абонентская плата в расчете на 1 абонентский номер для передачи голосовой информации;
Niаб - количество месяцев предоставления услуги с i-й абонентской платой.
1.2. Затраты на повременную оплату местных, междугородних
и международных телефонных соединений
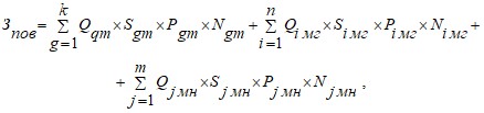
Затраты на повременную оплату местных, междугородних и международных телефонных соединений (Зпов) определяются по формуле:

где:
Qgm - количество абонентских номеров для передачи голосовой информации, используемых для местных телефонных соединений, с g-м тарифом;
Sgm - продолжительность местных телефонных соединений в месяц в расчете на 1 абонентский номер для передачи голосовой информации по g-му тарифу;
Pgm - цена минуты разговора при местных телефонных соединениях по g-му тарифу;
Ngm - количество месяцев предоставления услуги местной телефонной связи по g-му тарифу;
Qiмг - количество абонентских номеров для передачи голосовой информации, используемых для междугородних телефонных соединений, с i-м тарифом;
Siмг - продолжительность междугородних телефонных соединений в месяц в расчете на 1 абонентский телефонный номер для передачи голосовой информации по i-му тарифу;
Piмг - цена минуты разговора при междугородних телефонных соединениях по i-му тарифу;
Niмг - количество месяцев предоставления услуги междугородней телефонной связи по i-му тарифу;
Qiмн - количество абонентских номеров для передачи голосовой информации, используемых для международных телефонных соединений, с j-м тарифом;
Sjмн - продолжительность международных телефонных соединений в месяц в расчете на 1 абонентский номер для передачи голосовой информации по j-му тарифу;
Pjмн - цена минуты разговора при международных телефонных соединениях по j-му тарифу;
Njмн - количество месяцев предоставления услуги международной телефонной связи по j-му тарифу.
1.3. Затраты на оплату услуг подвижной связи
Затраты на оплату услуг подвижной связи (Зсот) определяются по формуле:
,
где:
Qiсот - количество абонентских номеров пользовательского (оконечного) оборудования, подключенного к сети подвижной связи (далее - номер абонентской станции), по i-й должности в соответствии с нормативами, установленными Условиями и нормами обеспечения телефонной связью лиц, замещающих государственные должности Красноярского края, и государственных гражданских служащих Красноярского края в органах исполнительной власти Красноярского края, Администрации Губернатора Красноярского края, утвержденными Указом Губернатора края N 155-уг (далее - нормативы затрат на приобретение средств связи);
Piсот - ежемесячная цена услуги подвижной связи в расчете на 1 номер сотовой абонентской станции i-й должности в соответствии с нормативами органов государственной власти Красноярского края, государственных органов Красноярского края, органа управления ТФОМС Красноярского края, определенными с учетом нормативов затрат на приобретение средств связи;
Niсот - количество месяцев предоставления услуги подвижной связи по i-й должности.
1.4. Затраты на передачу данных с использованием сети
Интернет и услуги интернет-провайдеров
для планшетных компьютеров
Затраты на передачу данных с использованием сети Интернет и услуги интернет-провайдеров для планшетных компьютеров (Зип) определяются по формуле:
,
где:
Qiип - количество SIM-карт по i-й должности в соответствии с нормативами органов государственной власти Красноярского края, государственных органов Красноярского края, органа управления ТФОМС Красноярского края;
Piип - ежемесячная цена в расчете на 1 SIM-карту по i-й должности;
Niип - количество месяцев предоставления услуги передачи данных по i-й должности.
1.5. Затраты на сеть Интернет и услуги интернет-провайдеров
Затраты на сеть Интернет и услуги интернет-провайдеров (Зи) определяются по формуле:
,
где:
Qiи - количество каналов передачи данных сети Интернет с i-й пропускной способностью;
Piи - ежемесячная цена аренды канала передачи данных сети Интернет с i-й пропускной способностью;
Niи - количество месяцев аренды канала передачи данных сети Интернет с i-й пропускной способностью.
1.6. Затраты на электросвязь, относящуюся к связи
специального назначения, используемой
на региональном уровне
Затраты на электросвязь, относящуюся к связи специального назначения, используемой на региональном уровне (Зрпс), определяются по формуле:
Зрпс = Qрпс x Pрпс x Nрпс,
где:
Qрпс - количество телефонных номеров электросвязи, относящейся к связи специального назначения, используемой на региональном уровне;
Pрпс - цена услуги электросвязи, относящейся к связи специального назначения, используемой на региональном уровне, в расчете на 1 телефонный номер, включая ежемесячную плату за организацию соответствующего количества линий связи сети связи специального назначения;
|
Из за большого объема этот материал размещен на нескольких страницах:
1 2 3 4 5 6 7 8 |



