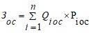
Piап - цена ежемесячной аренды за 1 кв. метр i-й арендуемой площади;
Niап - планируемое количество месяцев аренды i-й арендуемой площади.
10.2. Затраты на аренду помещения (зала)
для проведения совещания
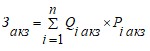
Затраты на аренду помещения (зала) для проведения совещания (Закз) определяются по формуле:
,
где:
Qiакз - планируемое количество суток аренды i-го помещения (зала);
Piакз - цена аренды i-го помещения (зала) в сутки.
10.3. Затраты на аренду оборудования
для проведения совещания
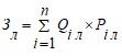
Затраты на аренду оборудования для проведения совещания (Заоб) определяются по формуле:
,
где:
Qiоб - количество арендуемого i-го оборудования;
Qiдн - количество дней аренды i-го оборудования;
Qiч - количество часов аренды в день i-го оборудования;
Piч - цена 1 часа аренды i-го оборудования.
11. Затраты на содержание имущества
Затраты на содержание имущества (
) определяются по формуле:
,
где:
Зсто - затраты на содержание и техническое обслуживание помещений;
Зравт - затраты на техническое обслуживание и ремонт транспортных средств;
Зрбо - затраты на техническое обслуживание и регламентно-профилактический ремонт бытового оборудования;
Зио - затраты на техническое обслуживание и регламентно-профилактический ремонт иного оборудования;
Звнси - затраты на оплату услуг внештатных сотрудников.
11.1. Затраты на содержание и техническое
обслуживание помещений
Затраты на содержание и техническое обслуживание помещений (Зсто) определяются по формуле:
Зсто = Зос + Зтр + Зэз + Заутп + Зтбо + Зл + Звнсв +
+ Звнсп + Зитп + Заэз,
где:
Зос - затраты на техническое обслуживание и регламентно-профилактический ремонт систем охранно-тревожной сигнализации;
Зтр - затраты на проведение текущего ремонта помещения;
Зэз - затраты на содержание прилегающей территории;
Заутп - затраты на оплату услуг по обслуживанию и уборке помещения;
Зтбо - затраты на вывоз твердых бытовых отходов;
Зл - затраты на техническое обслуживание и регламентно-профилактический ремонт лифтов;
Звнсв - затраты на техническое обслуживание и регламентно-профилактический ремонт водонапорной насосной станции хозяйственно-питьевого и противопожарного водоснабжения;
Звнсп - затраты на техническое обслуживание и регламентно-профилактический ремонт водонапорной насосной станции пожаротушения;
Зитп - затраты на техническое обслуживание и регламентно-профилактический ремонт индивидуального теплового пункта, в том числе на подготовку отопительной системы к зимнему сезону;
Заэз - затраты на техническое обслуживание и регламентно-профилактический ремонт электрооборудования (электроподстанций, трансформаторных подстанций, электрощитовых) административного здания (помещения).
11.1.1. Затраты на техническое обслуживание и регламентно-профилактический ремонт систем охранно-тревожной сигнализации (Зос) определяются по формуле:
,
где:
Qiос - количество i-х обслуживаемых устройств в составе системы охранно-тревожной сигнализации;
Piос - цена обслуживания одного i-го устройства.
11.1.2. Затраты на проведение текущего ремонта помещения (Зтр) определяются исходя из установленной нормы проведения ремонта (1 раз в 3 года) в соответствии с ведомственными строительными нормами, Положением об организации и проведении реконструкции, ремонта и технического обслуживания зданий, объектов коммунального и социально-культурного назначения ВСН 58-88(р), утвержденным Приказом Государственного комитета по архитектуре и градостроительству при Госстрое СССР от 01.01.2001 N 312, по формуле:
,
где:
Siтр - площадь i-го здания, планируемая к проведению текущего ремонта (в пределах нормативов площадей, установленных Постановлением Правительства края N 337-п);
Piтр - цена текущего ремонта 1 кв. метра площади i-го здания.
11.1.3. Затраты на содержание прилегающей территории (Зэс) определяются по формуле:
,
где:
Siэз - площадь закрепленной i-й прилегающей территории;
Piэз - цена содержания i-й прилегающей территории в месяц в расчете на 1 кв. метр площади;
Niэз - планируемое количество месяцев содержания i-й прилегающей территории в очередном финансовом году.
11.1.4. Затраты на оплату услуг по обслуживанию и уборке помещения (Заутп) определяются по формуле:
,
где:
Siаутп - площадь в i-м помещении, в отношении которой планируется заключение договора (контракта) на обслуживание и уборку;
Piаутп - цена услуги по обслуживанию и уборке i-го помещения в месяц;
Niаутп - количество месяцев использования услуги по обслуживанию и уборке i-го помещения в месяц.
11.1.5. Затраты на вывоз твердых бытовых отходов (Зтбо) определяются по формуле:
Зтбо = Qтбо x Pтбо,
где:
Qтбо - количество куб. метров твердых бытовых отходов в год;
Pтбо - цена вывоза 1 куб. метра твердых бытовых отходов.
11.1.6. Затраты на техническое обслуживание и регламентно-профилактический ремонт лифтов (Зл) определяются по формуле:
,
где:
Qiл - количество лифтов i-го типа;
Piл - цена технического обслуживания и текущего ремонта 1 лифта i-го типа в год.
11.1.7. Затраты на техническое обслуживание и регламентно-профилактический ремонт водонапорной насосной станции хозяйственно-питьевого и противопожарного водоснабжения (Звнсв) определяются по формуле:
Звнсв = Qвнсв x Pвнсв,
где:
Qвнсв - количество оборудования водонапорной станции хозяйственно-питьевого и противопожарного водоснабжения;
Pвнсв - цена технического обслуживания и текущего ремонта 1 ед. оборудования водонапорной насосной станции хозяйственно-питьевого и противопожарного водоснабжения в год.
11.1.8. Затраты на техническое обслуживание и регламентно-профилактический ремонт водонапорной насосной станции пожаротушения (Звнсп) определяются по формуле:
Звнсп = Qвнсп x Pвнсп,
где:
Qвнсп - количество оборудования водонапорной насосной станции пожаротушения;
Pвнсп - цена технического обслуживания и текущего ремонта 1 ед. оборудования водонапорной насосной станции пожаротушения в год.
11.1.9. Затраты на техническое обслуживание и регламентно-профилактический ремонт индивидуального теплового пункта, в том числе на подготовку отопительной системы к зимнему сезону (Зитп), определяются по формуле:
Зитп = Qитп x Pитп,
где:
Qитп - количество оборудования индивидуального теплового пункта;
Pитп - цена технического обслуживания и текущего ремонта 1 ед. оборудования индивидуального теплового пункта.
11.1.10. Затраты на техническое обслуживание и регламентно-профилактический ремонт электрооборудования (электроподстанций, трансформаторных подстанций, электрощитовых) административного здания (помещения) (Заэз) определяются по формуле:
Заэз = Зфакт,
где:
Зфакт - планируемые затраты на техническое обслуживание и регламентно-профилактический ремонт электрооборудования (электроподстанций, трансформаторных подстанций, электрощитовых) определяются по фактическим затратам в отчетном финансовом году.
11.2. Затраты на техническое обслуживание и ремонт
транспортных средств
Затраты на техническое обслуживание и ремонт транспортных средств (Зравт) определяются по формуле:
,
где:
k - поправочный коэффициент, учитывающий особенности органов государственной власти Красноярского края, государственных органов Красноярского края, органа управления ТФОМС Красноярского края;
Навт - норматив расходов в процентном соотношении от суммарной балансовой стоимости транспортных средств;
Бiук - балансовая стоимость i-го транспортного средства;
kэкс - коэффициент, учитывающий степень износа транспортного средства (kэкс для автотранспортных средств до 3 лет - 1; от 3 до 5 лет - 1,5; более 5 лет - 2);
i - модель транспортного средства.
11.3. Затраты на техническое обслуживание
и регламентно-профилактический ремонт бытового оборудования
Затраты на техническое обслуживание и регламентно-профилактический ремонт бытового оборудования (Зрбо) определяются по формуле:
Зрбо = Зфакт,
где:
Зфакт - планируемые затраты на техническое обслуживание и регламентно-профилактический ремонт бытового оборудования, определяемые по фактическим затратам в отчетном финансовом году.
11.4. Затраты на техническое обслуживание
и регламентно-профилактический ремонт иного оборудования
Затраты на техническое обслуживание и регламентно-профилактический ремонт иного оборудования - дизельных генераторных установок, систем газового пожаротушения, систем кондиционирования и вентиляции, систем пожарной сигнализации, систем контроля и управления доступом, систем автоматического диспетчерского управления, систем видеонаблюдения (Зио) определяются по формуле:
Зио = Здгу + Зсгп + Зскив + Зспс + Зскуд + Зсаду + Зсвн,
где:
Здгу - затраты на техническое обслуживание и регламентно-профилактический ремонт дизельных генераторных установок;
Зсгп - затраты на техническое обслуживание и регламентно-профилактический ремонт системы газового пожаротушения;
Зскив - затраты на техническое обслуживание и регламентно-профилактический ремонт систем кондиционирования и вентиляции;
Зспс - затраты на техническое обслуживание и регламентно-профилактический ремонт систем пожарной сигнализации;
Зскуд - затраты на техническое обслуживание и регламентно-профилактический ремонт систем контроля и управления доступом;
Зсаду - затраты на техническое обслуживание и регламентно-профилактический ремонт систем автоматического диспетчерского управления;
|
Из за большого объема этот материал размещен на нескольких страницах:
1 2 3 4 5 6 7 8 |



