Ззп - затраты на приобретение запасных частей для принтеров, многофункциональных устройств и копировальных аппаратов (оргтехники).
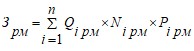
5.5.1. Затраты на приобретение расходных материалов для принтеров, многофункциональных устройств и копировальных аппаратов (оргтехники) (Зрм) определяются по формуле:
,
где:
Qiрм - фактическое количество принтеров, многофункциональных устройств и копировальных аппаратов (оргтехники) i-го типа в соответствии с нормативами органов государственной власти Красноярского края, государственных органов Красноярского края, органа управления ТФОМС Красноярского края;
Niрм - норматив потребления расходных материалов i-м типом принтеров, многофункциональных устройств и копировальных аппаратов (оргтехники) в соответствии с нормативами органов государственной власти Красноярского края, государственных органов Красноярского края, органа управления ТФОМС Красноярского края;
Piрм - цена расходного материала по i-му типу принтеров, многофункциональных устройств и копировальных аппаратов (оргтехники) в соответствии с нормативами органов государственной власти Красноярского края, государственных органов Красноярского края, органа управления ТФОМС Красноярского края.
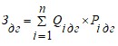
5.5.2. Затраты на приобретение запасных частей для принтеров, многофункциональных устройств и копировальных аппаратов (оргтехники) (Ззп) определяются по формуле:
,
где:
Qiзп - планируемое к приобретению количество i-х запасных частей для принтеров, многофункциональных устройств и копировальных аппаратов (оргтехники);
Piзп - цена 1 единицы i-й запасной части.
5.6. Затраты на приобретение материальных запасов
по обеспечению безопасности информации
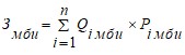
Затраты на приобретение материальных запасов по обеспечению безопасности информации (Змби) определяются по формуле:
,
где:
Qiмби - планируемое к приобретению количество i-го материального запаса;
Piмби - цена 1 единицы i-го материального запаса.
III. ПРОЧИЕ ЗАТРАТЫ
Прочие затраты (Захз) включают в себя затраты на услуги связи, не отнесенные к затратам на услуги связи в рамках затрат на информационно-коммуникационные технологии (
), затраты на транспортные услуги (
), затраты на оплату расходов по договорам об оказании услуг, связанных с проездом и наймом жилого помещения в связи с командированием работников, заключаемым со сторонними организациями (
), затраты на коммунальные услуги (
), затраты на аренду помещений и оборудования (
), затраты на содержание имущества (
), затраты на приобретение прочих работ и услуг, не относящихся к затратам на услуги связи, транспортные услуги, оплату расходов по договорам об оказании услуг, связанных с проездом и наймом жилого помещения в связи с командированием работников, заключаемым со сторонними организациями, а также к затратам на коммунальные услуги, аренду помещений и оборудования, содержание имущества (
), затраты на приобретение материальных запасов, не отнесенные к затратам на приобретение материальных запасов в рамках затрат на информационно-коммуникационные технологии (
), затраты на приобретение основных средств, не отнесенные к затратам на приобретение основных средств в рамках затрат на информационно-коммуникационные технологии (
), и определяются по формуле:
![]()
6. затраты на услуги связи, не отнесенные к затратам
на услуги связи в рамках затрат на информационно-коммуникационные технологии
Затраты на услуги связи, не отнесенные к затратам на услуги связи в рамках затрат на информационно-коммуникационные технологии (
), определяются по формуле:
,
где:
Зп - затраты на оплату услуг почтовой связи;
Зсс - затраты на оплату услуг специальной связи.
6.1. Затраты на оплату услуг почтовой связи
Затраты на оплату услуг почтовой связи (Зп) определяются по формуле:
,
где:
Qiп - планируемое количество i-х почтовых отправлений в год;
Piп - цена 1 i-го почтового отправления.
6.2. Затраты на оплату услуг специальной связи
Затраты на оплату услуг специальной связи (Зсс) определяются по формуле:
Зсс = Qсс x Pсс,
где:
Qсс - планируемое количество листов (пакетов) исходящей информации в год;
Pсс - цена 1 листа (пакета) исходящей информации, отправляемой по каналам специальной связи.
7. Затраты на транспортные услуги
Затраты на транспортные услуги (
) определяются по формуле:
,
где:
Здг - затраты по договору об оказании услуг перевозки (транспортировки) грузов;
Заут - затраты на оплату услуг аренды транспортных средств;
Зпп - затраты на оплату разовых услуг пассажирских перевозок при проведении совещания.
7.1. Затраты по договору об оказании услуг перевозки
(транспортировки) грузов
Затраты по договору об оказании услуг перевозки (транспортировки) грузов (Здг) определяются по формуле:
,
где:
Qiдг - планируемое к приобретению количество i-х услуг перевозки (транспортировки) грузов;
Piдг - цена 1 i-й услуги перевозки (транспортировки) груза.
7.2. Затраты на оплату услуг аренды транспортных средств
Затраты на оплату услуг аренды транспортных средств (Заут) определяются по формуле:
,
где:
Qiаут - планируемое к аренде количество i-х транспортных средств. При этом фактическое количество транспортных средств на балансе с учетом планируемых к аренде транспортных средств в один и тот же период времени не должно превышать количество транспортных средств, установленное нормативами обеспечения функций органов государственной власти Красноярского края, государственных органов Красноярского края, органа управления ТФОМС Красноярского края, применяемыми при расчете нормативных затрат на приобретение служебного легкового автотранспорта, предусмотренными приложением к Правилам расчета нормативных затрат;
Piаут - цена аренды i-го транспортного средства в месяц;
Niаут - планируемое количество месяцев аренды i-го транспортного средства.
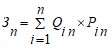
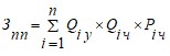
7.3. Затраты на оплату разовых услуг пассажирских перевозок
при проведении совещания
Затраты на оплату разовых услуг пассажирских перевозок при проведении совещания (Зпп) определяются по формуле:
,
где:
Qiу - планируемое количество к приобретению i-разовых услуг пассажирских перевозок;
Qiч - среднее количество часов аренды транспортного средства по i-разовой услуге;
Piч - цена 1 часа аренды транспортного средства по i-разовой услуге.
8. Затраты на оплату расходов по договорам об оказании
услуг, связанных с проездом и наймом жилого помещения в связи с командированием работников, заключаемым со сторонними организациями
Затраты на оплату расходов по договорам об оказании услуг, связанных с проездом и наймом жилого помещения в связи с командированием работников, заключаемым со сторонними организациями (
), определяются по формуле:
,
где:
Зпроезд - затраты по договору на проезд к месту командирования и обратно;
Знайм - затраты по договору найма жилого помещения на период командирования.
8.1. Затраты по договору на проезд к месту
командирования и обратно
Затраты по договору на проезд к месту командирования и обратно (Зпроезд) определяются по формуле:
,
где:
Qiпроезд - количество командированных работников по i-му направлению командирования с учетом показателей утвержденных планов служебных командировок;
Piпроезд - цена проезда по i-му направлению командирования с учетом требований порядка и условий командирования, а также порядка, условий и размеров возмещения расходов, связанных со служебными командировками лиц, замещающих государственные должности Красноярского края, и государственных гражданских служащих Красноярского края в органах исполнительной власти Красноярского края, Администрации Губернатора Красноярского края, утвержденных Указом Губернатора Красноярского края N 155-уг.
8.2. Затраты по договору найма жилого помещения
на период командирования
Затраты по договору найма жилого помещения на период командирования (Знайм) определяются по формуле:
,
где:
Qiнайм - количество командированных работников по i-му направлению командирования с учетом показателей утвержденных планов служебных командировок;
|
Из за большого объема этот материал размещен на нескольких страницах:
1 2 3 4 5 6 7 8 |



