2.1.1 Определение вида грунтов по гранулометрическому составу и числу пластичности
, (2.1)
где
- соответственно влажность грунта на границе текучести и раскатывания.
Если
, то грунт является глинистым. Если
и содержание частиц размером менее 2 мм по массе более 50%, то грунт является песчаным.
2.1.2 Определение разновидности песчаных грунтов по гранулометрическому составу. Данная разновидность песчаного грунта устанавливается на основе анализа процентного содержания частиц по массе различного диаметра с использованием [1, с. 13].
2.1.3 Определение разновидности глинистых грунтов по числу пластичности. Число пластичности вычисляется по формуле (2.1). При 1![]()
![]()
7 - грунт супесь; 7<![]()
17 - суглинок;
>17 - глина.
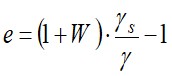
2.1.4 Определение коэффициента пористости грунтов
, (2.2)
где
- удельный вес твердых частиц грунта, кН/м3;
- удельный вес грунта, кН/м3;
- природная влажность грунта в долях единицы.
По коэффициенту пористости для песчаных грунтов в соответствии с таблицей [1, c. 22] устанавливается плотность их сложения.
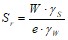
2.1.5 Определение степени влажности грунтов
, (2.3)
где
удельный вес воды, принимаемый равным 10 кН/м3.
Значение степени влажности грунтов определяется для всех грунтов. Для песчаных грунтов дополнительно устанавливается их состояние по степени влажности [1, c. 18].
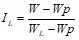
2.1.6 Определение показателя текучести
глинистых грунтов
. (2.4)
По величине
, в соответствии с [1, c. 21] устанавливается разновидность глинистого грунта.
2.1.7 Оценка особых свойств грунтов
2.1.7.1 Оценка просадочности грунтов. По предварительной оценке к просадочным относятся глинистые грунты со степенью влажности
, для которых величина безразмерного показателя
, определенного по формуле (2.5) меньше значений, приведенных в таблице 2.1.
Таблица 2.1 - Значение показателя ![]()
|
|
|
|
| 0,1 | 0,17 | 0,24 |
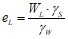
(2.5)
где
– коэффициент пористости, соответствующий влажности грунта на границе текучести
, определяемый по формуле
. (2.6)
2.1.7.2 Оценка набухающих свойств глинистых грунтов. По предварительной оценке к набухающим относятся глинистые грунты для которых величина показателя ![]()
0.3.
2.1.8 Определение механических характеристик грунтов:
1) расчетное сопротивление грунта
по таблицам [3, с. 79];
2) характеристики прочности и деформируемости грунтов. К их числу относятся: сцепление -
и угол внутреннего трения -
; модуль деформации -
. В рамках учебного проектирования значения
(коэффициент сжимаемости) указываются в задании, а
и
определяются по СНиП РК [3, с. 70 ]. Модуль деформации определяется по зависимости
, (2.7)
где
;
.
Величину коэффициента поперечной деформации
допускается принимать равным: 0.3-0.35 - для песков и супесей; 0.35-0.37 - для суглинков; 0.2-0.3 - при
< 0; 0.3 - 0.38 - при
; 0.38 - 0.45 при
- для глин.
2.1.9 Выбор расчетных характеристик грунтов. Расчётные характеристики грунтов определяются по формуле [3, с. 46]
, (2.8)
где
- нормативное значение характеристики грунта;
- коэффициент надёжности по грунту.
Результаты расчетов заносятся в сводную таблицу 2.2.
Таблица 2.2 – Физико-механические характеристики грунтов
Полное наименование грунта | Значения характеристик грунтов | ||||||||
кН/м |
кН/м |
|
|
|
м/сут |
кПа |
град |
кПа |
кПа |
2.2 Оценка условий залегания грунтов основания
|
Из за большого объема этот материал размещен на нескольких страницах:
1 2 3 4 5 6 7 8 9 |



