• инвестиционная деятельность — движение средств, связанных с приобретением или реализацией основных средств и нематериальных активов;
• финансовая деятельность — получение долгосрочных кредитов и займов, долгосрочные и краткосрочные финансовые вложения, погашение задолженности по полученным ранее кредитам, выплата дивидендов;
• прочие операции с денежными средствами — использование фонда потребления, целевые финансирование и поступления, безвозмездно полученные денежные средства и др.
Логика анализа достаточно очевидна — необходимо выявить, по возможности, все операции, затрагивающие движение денежных средств. Это можно сделать различными способами, в частности путем анализа всех оборотов по счетам денежных средств, однако в мировой учетно-аналитической практике применяют, как правило:
- прямой метод: основывается на исчислении притока (выручка от реализации продукции, работ и услуг, авансы полученные и др.) и оттока денежных средств, т. е. исходным элементом является выручка;
- косвенный метод: основывается на идентификации и учете операций с движением денежных средств, и последовательной корректировке чистой прибыли, т. е. исходным элементом является прибыль.38
4.2. Прогнозирование денежного потока39.
Данный раздел работы финансового менеджера сводится к исчислению возможных источников поступления и оттока денежных средств. Процедуры методики прогнозирования выполняются в следующей последовательности:
- прогнозирование денежных поступлений по подпериодам; прогнозирование оттока денежных средств по подпериодам; расчет чистого денежного потока (излишек/недостаток) по подпериодам; определение совокупной потребности в краткосрочном финансировании в разрезе подпериодов.
На первом этапе с помощью балансового метода цепным способом рассчитывают денежные поступления и изменение дебиторской задолженности. Базовое балансовое уравнение имеет вид:
ДЗн + ВР = ДЗк + ДП,
где ДЗн – дебиторская задолженность за товары и слуги на начало подпериода,
ВР – выручка от реализации за подпериод,
ДЗк - дебиторская задолженность за товары и слуги на конец подпериода,
ДП – денежные поступления в данном подпериоде.
Более точный расчет предполагает классификацию дебиторской задолженности по срокам ее погашения.
На втором этапе рассчитывается отток денежных средств. Основным его составным элементов является погашение кредиторской задолженности. К другим направлениям использования денежных средств относятся заработная плата, административные и другие постоянные и переменные расходы, капитальные вложения, выплаты налогов, процентов, дивидендов.
На третьем этапе путем сопоставления рассчитывается чистый денежный поток.
На четвертом этапе рассчитывается совокупная потребность в краткосрочном финансировании. При расчете рекомендуется принимать во внимание желаемый минимум денежных средств на расчетном счете, который целесообразно иметь в качестве страхового запаса, а также для возможных непрогнозируемых заранее выгодных инвестиций.
Наконец, подобные расчеты целесообразно выполнять в рамках имитационного моделирования, варьируя параметрами (темп инфляции, изменение цен на сырье, темп наращивания объемов производства и т. п.) Обычно расчеты производят машинным способом с помощью пакета типа Microsoft Excel.
4.3. Определение оптимального уровня денежных средств.
Денежные средства обладают абсолютной ликвидностью. Однако цена ликвидности увеличивается по мере того, как возрастает запас наличных денег. «Перед финансовым менеджером стоит зада определить размер запаса денежных средств, исходя из того, чтобы цена ликвидности не превысила маржинального процентного дохода по государственным ценным бумагам. Таким образом, компания должна поддерживать определенный уровень свободных денежных средств, который для страховки дополняется некоторой суммой средств, вложенных в ликвидные ценные бумаги, т. е. активы, близкие к абсолютно ликвидным.
Во-первых, необходим базовый запас денежных средств для выполнения текущих расчетов. Во-вторых, необходимы определенные денежные средства для покрытия непредвиденных расходов. В-третьих, целесообразно иметь определенную величину свободных денежных средств для обеспечения возможного или прогнозируемого расширения деятельности.
Таким образом, речь идет о том, чтобы оценить: а) общий объем денежных средств и их эквивалентов; б) какую их долю следует держать на расчетном счете, а какую в виде быстрореализуемых ценных бумаг; в) когда и в каком объеме осуществлять взаимную трансформацию денежных средств и их эквивалентов».40
В западной практике наибольшее распространение получили модель Баумоля (1952г.) и модель Миллера-Орра (1966 г.).
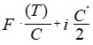
Модель, созданная Вильямом Баумолем, поможет определять оптимальную сумму денежных средств для компании в определенных условиях. Ее целью является минимизировать сумму постоянных затрат по сделкам или возможные расходы (упущенная выгода) по содержанию остатков денежных средств, которые не приносят дохода:
, где
F — фиксированные затраты по сделке;
Т — общая сумма денежных средств, необходимых на данный период;
i — процентная ставка рыночных ценных бумаг;
С — остаток денежных средств;
С* — оптимальная сумма денежных средств.
Оптимальная сумма денежных средств определяется по формуле:

Существует также модель регулирования денежных операций, когда денежные выплаты являются неопределенными. Модель Миллера-Орра устанавливает верхний и нижний пределы для остатка денежных средств. Когда достигается верхний предел, производится перевод денежных средств в рыночные ценные бумаги; когда достигается нижний предел, переводят ценные бумаги в денежные средства, никаких сделок не происходит, пока остаток денежных средств находится в этих пределах.
Факторы, которые необходимо учитывать, используя модель Миллера-Орра: фиксированные расходы, связанные со сделкой с ценными бумагами (F), предполагаемыми равными как для покупки, так и для продажи; ежедневная ставка дохода по рыночным ценным бумагам (i); и изменяемость ежедневного чистого движения ликвидности (
) — (
— сигма). Цель — удовлетворить потребности в денежных средствах по самой низкой стоимости. Главное допущение этой модели — неопределенность движения денежных средств. Контрольными пределами в формуле Миллера-Орра являются «d» в качестве верхнего предела и ноль в качестве нижнего предела. Когда остаток денежных средств достигает верхнего уровня, d минус z (оптимальный денежный остаток), на эту сумму покупаются ценные бумаги, и новым денежным остатком становится z. Когда денежный остаток равняется нулю, на z продаются ценные бумаги, и новый остаток денежных средств опять достигает величины z. Конечно, на практике минимальный денежный остаток устанавливается в размере суммы, большей, чем ноль, по причине задержек в прохождении платежных документов; превышение минимума в действительности играет роль буфера безопасности. Оптимальные кассовые остатки денежных средств рассчитываются: 
Оптимальное значение d определяется как 3z. Средний остаток денежных средств приближенно рассчитывается как (z+d)/3. Непосредственное внедрение этих моделей в отечественную практику пока затруднено ввиду сильной инфляции, аномальных учетных ставок, неразвитости рынка ценных бумаг и т. п.
ГЛАВА 5. СТРАТЕГИЧЕСКАЯ ПОЛИТИКА УПРАВЛЕНИЯ
ОБОРОТНЫМ КАПИТАЛОМ
Успешность и эффективность финансово-хозяйственной деятельности предприятия порой зависит от умения финансового менеджера определить адекватные современному контексту стратегические установки, которые позволят оптимально использовать оборотные активы. С выбором той или иной политики управления оборотным капиталом неразрывно связаны и определенные риски предпринимательской деятельности. Можно выделить «две противоположных стратегии управления оборотными активами:
- стратегия минимизации периода обращения. Эта стратегия хороша для рынка с низкой неопределенностью. Она подразумевает минимизацию объема оборотных средств за счет сведения до минимума объема запасов и денежных средств на счетах. Чем меньше объем оборотных средств (при неизменном объеме выручки), тем меньше приходится привлекать источников для их финансирования, и тем меньше издержки на обслуживание этих источников (проценты по кредитам и т. п.). Кроме того, применяя эту стратегию, компания стремится получать от покупателей оплату как можно быстрее, минимизируя тем самым объем дебиторской задолженности. При четко налаженной системе поставок и отгрузок, бесперебойно работающем производстве, дисциплинированных покупателях, оплачивающих продукцию вовремя, и прочих идеальных условиях эта стратегия ведет к максимизации прибыли компании. Однако, как только на рынке возникает ситуация неопределенности, эффективность данной стратегии резко снижается, и ее применение может привести к серьезным проблемам; стратегия минимизации риска. Эта стратегия противоположна по своей сути стратегии минимизации периода обращения. В чистом виде она может быть оправданной только в условиях сильнейшей неопределенности на рынке. Стратегия минимизации риска подразумевает наличие у компании значительного объема запасов, денежных средств на счетах и ликвидных ценных бумаг. Применяя эту стратегию, компания стимулирует покупателей предоставлением значительных отсрочек платежей при покупке товаров и услуг компании. Это ведет к росту дебиторской задолженности. Естественно, что поддержание высокого объема оборотных средств требует соответствующих источников их формирования (долгосрочных и краткосрочных кредитов и др.), которые необходимо обслуживать (платить проценты). В качестве компенсации дополнительных издержек компания, придерживающаяся данной стратегии, получает минимизацию риска, связанного с колебаниями рынка, проблемами поставщиков и т. п.»41
Практически никогда описанные стратегии не применяются в чистом виде. В конкретных условиях финансовый менеджер может лишь склоняться к одной из этих моделей, осуществляя свою деятельность исходя из правила «золотой середины».
|
Из за большого объема этот материал размещен на нескольких страницах:
1 2 3 4 5 6 7 8 |



