Системное обобщение классической формулы Харкевича для количества информации представляет большой интерес, в связи с тем, что А. Харкевич впервые ввел в теорию информации понятие цели. Он считал, что количество информации, сообщенное объекту, можно измерять по изменению вероятности достижения цели этим объектом за счет использования им этой информации.
Классическая формула Харкевича имеет вид:
|
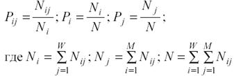
где:
Pij – вероятность достижения объектом управления j-й цели при условии сообщения ему i-й информации;
Pj – вероятность самопроизвольного достижения объектом управления j-й цели.
Однако: А. Харкевич в своем выражении для количества информации не ввел зависимости количества информации от мощности пространства будущих состояний объекта управления, в т. ч. от количества его целевых состояний. Вместе с тем, один из возможных вариантов учета количества будущих состояний объекта управления обеспечивается классической и системной формулами Хартли (3.1) и (3.9); выражение (3.11) при подстановке в него реальных численных значений вероятностей Pij и Pj не дает количества информации в битах; для выражения (3.11) не выполняется принцип соответствия, считающийся обязательным для обобщающих теорий. Возможно, в этом состоит одна из причин слабого взаимодействия между классической теорией информации Шеннона и семантической теорией информации.
Чтобы снять эти вопросы, приближенно выразим вероятности Pij, Pi и Pj через частоты:
|
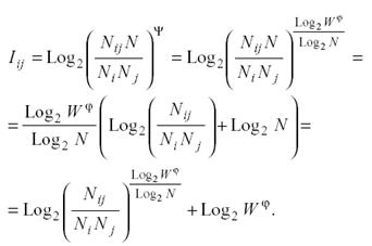
Подставим в выражение (3.11) значения для Pij и Pj из (3.12):
|
Введем коэффициент эмерджентности в модифицированную формулу А. Харкевича:
|
где: Y – коэффициент эмерджентности Харкевича (как будет показано дальше, он определяет степень детерминированности объекта с уровнем системной организации j, имеющего W чистых состояний, на переходы в которые оказывают влияние A факторов, о чем в модели накоплено N фактов).
Естественно потребовать, чтобы и обобщенная формула Харкевича также удовлетворяла аналогичному принципу соответствия, т. е. преобразовывалась в формулу Хартли в предельном случае, когда каждому классу (состоянию объекта) соответствует один признак (фактор), и каждому признаку – один класс, и эти классы (а, значит и признаки), равновероятны.
Таким образом, при взаимно-однозначном соответствии классов и признаков:
|
формула А. Харкевича (3.13) приобретает вид:
|
откуда:
|
При количестве состояний системы W равном количеству фактов N о действии на эту систему различных факторов он равен 1. В этом случае факторы однозначно определяют состояния объекта управления, т. е. являются детерминистскими.
Таким образом, коэффициент эмерджентности Харкевича изменяется от 0 до 1 и определяет степень детерминированности системы:
– Y =1 соответствует полностью детерминированной системе, поведение которой однозначно определяется действием минимального количества факторов, которых столько же, сколько состояний системы;
– Y =0 соответствует полностью случайной системе, поведение которой никак не зависит от действия факторов независимо от их количества;
– 0<Y <1 соответствуют большинству реальных систем поведение которых зависит от многих факторов, число которых превосходит количество состояний системы, причем ни одно из состояний не определяется однозначно никакими сочетаниями действующих факторов.
Из выражения (3.15) видно, что в частном случае, когда реализуются только чистые состояния объекта управления, т. е. M=1, коэффициент эмерджентности А. Харкевича приобретает вид:
|
Подставив коэффициент эмерджентности А. Харкевича (3.17) в выражение (3.14), получим:
|
или окончательно:
|
Полученное системное обобщение формулы А. Харкевича (3.19) учитывает как взаимосвязь между признаками (факторами) и будущими, в т. ч. целевыми состояниями объекта управления, так и мощность множества будущих состояний. Кроме того, она объединяет возможности интегрального и дискретного описания объектов, учитывает уровень системности и степень детерминированности системы.
В проекте рассматриваются 5 состояний системы:
· Запуск системы.
· Ожидание (программа не выполняется, идет ожидание запросов).
· Работа со старшими запросами (поступают и обрабатываются старшие запросы).
· Работа с младшими запросами (поступают и обрабатываются младшие запросы)
· Ошибка (критическая остановка системы).
Т. к. количество состояний больше 4, в данном случае можно воспользоваться формулами приближенных вычислений:
· Количество информации по Хартли I=3,6 бит
· Уровень системности объекта (ИС)
=1,2
· Уровень детерминированности системы (при условии, что после обучающей выборки N=20) Y=0,8
1.4. Связь между эмерджентностью и эргодичностью системы
Эмерджентность отражает скачкообразное развитие системы, но сама эмерджентность несет свойство, которым обладает система в целом, но не обладают ее элементы. Таким образом, эмерджентность обладает выраженным свойством неаддитивности, то есть в информационных системах, особенно больших, целое больше суммы частей, что выражается в стремлении к росту энтропии ИС по мере увеличения числа ее элементов. Эмерджентность - это свойство сложной системы, заключающееся в НЕСВОДИМОСТИ свойства системы в целом к свойствам составляющих ее отдельных элементов, что есть антипод свойства аддитивности.
Аддитивность (лат.: additivus - прибавляемый) - свойство объекта, по которому величина всего объекта равна сумме величин частей объекта при любом разбиении.
Эмерджентность - свойство организованной сложности - один из признаков сложных систем, т. е. результат возникновения между элементами системы новых синергетических связей, которые обеспечивают ее переход в качественно новое состояние, разрушающее достигнутую ранее аддитивность, но с соблюдением принципов эргодичности и соответствия, что по прежнему позволяет пользоваться генеральной семантико - энтропийной оценкой. К тому же в новом состоянии аддитивность вновь появляется, но на обновленном уровне. Это восстановление валидности находит обоснование в том, что энтропия обладает свойством иерархической аддитивности. Следовательно, при возникновении обновленной иерархии аддитивность обновляется. Корни этого можно отыскать в унылых Марковских эксцессах, описывающих баланс эргодичности и эрнегодичности больших стохастических систем. В этом динамическом балансе целостных переходов системы прявляется ее синергизм.
Неаддитивность системы есть ее эмерджентность. Преодоление неаддитивности составляет процесс гармонизации информационной сути системы, характеризующийся улучшением эмерджентности (коэффициента эмерджентности Хартли).
1.5. ЭСЕ (элементарная семантическая единица)
В данном проекте элементарная семантическая единица (ЭСЕ) определена как неделимая единица информации, использующаяся в ИС. Каждый процесс отображается ЭСЕ, а все множество взаимодействий для данной ИС представляет собой ее семантическое пространство из ЭСЕ. ЭСЕ представляет собой завершенную контекстную конструкцию, вызываемую в результате поиска по различным атрибутам или в результате тех или иных команд. В данном случае семантической единицей является любой документ (статья) из ресурсного наполнения ИС.
Никакие действия пользователей (гостей) ИС, приводящие к любым транзакциям системы, не в состоянии вызвать изменений содержания, размера, расширения, дробления, укрупнения этой ЭСЕ.
Только администратор базы данных ИС (возможно и модератор, если ему предоставлены такие полномочия) может внести указанные изменения в состав и описание ЭСЕ.
ГЛАВА 2. МЕНЕДЖМЕНТ ПРОЕКТА
Менеджмент проекта (управлением самим проектом) опирается на четыре основные ступени:
1. дивергенция;
2. трансформация;
3. конвергенция;
4. релаксация (сопровождение),которым на ступенях до конвергенции может сопутствовать интраверсия (частичный возврат по пройденной траектории проектирования).
2.1. Дивергенция
Дивергенция начинается на предпроектной стадии и продолжается на стадиях разработки технического задания, моделирования и, отчасти, эскизного проектирования.
На этой стадии выбирается программная платформа, система управления базами данных, язык программирования. Проводится анализ существующих систем. Разрабатывается информационная система. Выявляются ошибки системы и методы их устранения.
В перечень решенных задач на стадии дивергенции вошли следующие:
· Составление и утверждение технического задания.
· Обзор литературы, Интернет ресурсов.
· Подбор аналитической информации.
· Формулировка возможных направлений решений.
Выбор платформы для проектирования. В связи с целью проекта выбор был остановлен на операционной системе FreeBSD 5.0, СУБД MySQL 4.1 и язык PHP 5
· Создание нескольких уровней пользователя для обеспечения безопасности и целостности данных.(Администратор, Модератор, Пользователь)
· Выбор атрибутов поиска (по названию, по категории, по повторяемости запросов).
· Продумана каталогизация данных.
· Продумано резервное копирование и восстановление данных в СУБД. (backup)
· Представляется необходимым создание окружения ядра системы в виде ссылок на различные порталы и web-сайты.
2.2. Трансформация
На этой стадии все ошибки системы устранены, система готова к использованию. При доработке выявляются новые цели или дорабатываются (расширяются) старые. Дорабатывается (вносятся изменения) в техническое задание, технические условия и технические требования. Также здесь происходит наполнение информационной системы.
В перечень решенных задач на стадии трансформации вошли следующие:
· Построение информационной системы
· Получена энтальпия и энтропия системы.
· Построена матрица взаимодействия Александера.
· Рассчитано распределение информации методом Монте-Карло.
· Спроектирована база данных.
· Разработана дирекционная подсистема.
· Выполнено первоначальное наполнение базы данных учебно-методической литературой, а также в окружение ядра ИС выполнено наполнение ссылками интернет-адресов.
· Осуществлено тестирование системы.
2.3. Конвергенция
Конвергенция относится в основном к этапу рабочего проектирования.
На этой заключительной стадии разрабатываются приложения к информационной системе. Здесь все описание системы полностью готово, разработаны инструкции пользователя всем уровням доступа к системе, инструкции по установке и ликвидации. Проект полностью считается завершенным.
В перечень решенных задач на стадии конвергенции вошли следующие:
· Расчет производительности и надежности системы.
· Разработка инструкций пользователя по различным уровням доступа (гость, редактор, администратор).
· Разработка технических требований к аппаратному и программному обеспечению для полноценной работы системы.
· Составление проектной документации, в том числе всех приложений (библиографический список, ресурсная область, акт рассогласования).
· Подготовка листов графики для наглядности системы.
· Создание презентационного ролика для обучения пользователей системы.
2.4. Релаксация
Ступень релаксации менеджмента проекта относится к фазе сопровождения, диагностики, модернизации и ликвидации ИС – то есть к фазе эксплуатации полного жизненного цикла системы. К моменту защиты проекта эта стадия только началась и приводить какие-либо материалы по ее реализации преждевременно.
ГЛАВА 3. РАБОЧЕЕ ПРОЕКТИРОВАНИЕ
3.1 Ступень дивергенции
Дивергенция означает расширение границ проектной ситуации на самых ранних стадиях проектирования с целью обеспечения обширного пространства для поиска решений.
На этой ступени проводится предпроектное исследование, создаются и утверждаются техническое задание на проект (ТЗ), технические требования к проекту (ТТ), технические условия эксплуатации проектируемого изделия (ТУ), пояснительная записка к ТЗ (реферат). Последний фактически отражает итоги эскизного проектирования, когда в целом вырисовывается и апробируется замысел проекта, определяются и проверяются пути решения основных задач, в том числе в части системно-структурного и морфологического анализа обслуживаемого информационной системой ресурса, выбираются оболочка, инфологическое построение, определяются основные пользователи системы и границы их полномочий. В их числе наряду с традиционно предусмотренными системным администратором и различными пользователями (гостями) могут быть предложены администраторы (менеджеры) данных, баз данных, модераторы и администраторы различных подсистем, сетевые администраторы и т. д. Рассматриваются также подходы к разграничению и выбору Интернет\Экстранет/Интранет – технологий и используемых для поддержания проекта основных программно-аппаратных средств.
В перечень задач, решенных автором на ступени дивергенции, вошли следующие:
· Выбор платформы для проектирования.
· Создание различных уровней доступа (локального и удаленного) к информационной системе для обеспечения безопасности и целостности данных;
· Выбор атрибутов поиска (по названию, по ключевым словам).
3.2. Выбор СУБД
Множество сайтов в настоящее время использует в качестве хранилища информации базу данных MySQL.
MySQL - самая популярная SQL-база данных с открытым кодом. Ее разработку осуществляет компания MySQL AB.
MySQL - это система управления базами данных. База данных представляет собой структурированную совокупность данных. Эти данные могут быть любыми - от простого списка предстоящих покупок до перечня экспонатов картинной галереи или огромного количества информации в корпоративной сети. Для записи, выборки и обработки данных, хранящихся в компьютерной базе данных, необходима система управления базой данных, каковой и является ПО MySQL. Поскольку компьютеры замечательно справляются с обработкой больших объемов данных, управление базами данных играет центральную роль в вычислениях. Реализовано такое управление может быть по-разному - как в виде отдельных утилит, так и в виде кода, входящего в состав других приложений.
MySQL управляет и реляционными базами данных.
В реляционной базе данных данные хранятся не всем скопом, а в отдельных таблицах, благодаря чему достигается выигрыш в скорости и гибкости. Таблицы связываются между собой при помощи отношений, благодаря чему обеспечивается возможность объединять при выполнении запроса данные из нескольких таблиц. SQL как часть системы MySQL можно охарактеризовать как язык структурированных запросов плюс наиболее распространенный стандартный язык, используемый для доступа к базам данных.
Программное обеспечение MySQL - это ПО с открытым кодом.
ПО с открытым кодом означает, что применять и модифицировать его может любой желающий. Такое ПО можно получать по Internet и использовать бесплатно. При этом каждый пользователь может изучить исходный код и изменить его в соответствии со своими потребностями.
3.2.1. Преимущества СУБД MySQL.
MySQL является очень быстрым, надежным и легким в использовании. MySQL обладает также рядом удобных возможностей, разработанных в тесном контакте с пользователями.
Первоначально сервер MySQL разрабатывался для управления большими базами данных с целью обеспечить более высокую скорость работы по сравнению с существующими на тот момент аналогами. И вот уже в течение нескольких лет данный сервер успешно используется в условиях промышленной эксплуатации с высокими требованиями. Несмотря на то, что MySQL постоянно совершенствуется, он уже сегодня обеспечивает широкий спектр полезных функций. Благодаря своей доступности, скорости и безопасности MySQL очень хорошо подходит для доступа к базам данных по Internet.
Что особенно важно - MySQL очень тесно интегрирована с популярными языками программирования для разработки веб - сайтов, в первую очередь, с PHP, где поддержка ее встроена в сам язык, так что для работы с БД не требуется каких-либо дополнительных библиотек или средств. И последний аргумент в выборе базы данных для построения сайта - распространение MySQL под open - source лицензией GPL, бесплатно для некоммерческого использования.
3.2.2. Технические возможности СУБД MySQL
ПО MySQL является системой клиент-сервер, которая содержит многопоточный SQL-сервер, обеспечивающий поддержку различных вычислительных машин баз данных, а также несколько различных клиентских программ и библиотек, средства администрирования и широкий спектр программных интерфейсов (API).
Также сервер MySQL предоставляется в виде многопоточной библиотеки, которую можно подключить к пользовательскому приложению и получить компактный, более быстрый и легкий в управлении продукт.
Доступно также большое количество программного обеспечения MySQL, разработанного сторонними разработчиками.
3.2.3. Внутренние характеристики и переносимость
· MySQL написан на C и C++ и протестирован на множестве различных компиляторов.
· Работает на различных платформах и поддерживает множество операционных систем.
· Полностью многопоточный с использованием потоков ядра. Это означает, что, если такая возможность обеспечивается, можно легко организовать работу с несколькими процессорами.
· Очень быстрые дисковые таблицы на основе В-деревьев со сжатием индексов.
· Очень быстрая базирующаяся на потоках система распределения памяти.
· Очень быстрые соединения, использующие оптимизированный метод однопроходного мультисоединения (one-sweep multi-join).
· Хеш-таблицы в памяти, используемые как временные таблицы.
· SQL-функции реализованы при помощи хорошо оптимизированной библиотеки классов, поэтому они выполняются настолько быстро, насколько это возможно. Обычно после инициализации запроса распределения памяти не происходит вообще.
3.2.4. Безопасность
Система, основанная на привилегиях и паролях, за счет чего обеспечивается гибкость и безопасность, и с возможностью верификации с удаленного компьютера. Пароли защищены, т. к. они при передаче по сети при соединении с сервером шифруются.
3.3. Выбор языка программирования
В качестве языка разработки клиента подключения к базе данных был выбран язык PHP.
PHP - это скрипт - язык (scripting language), встраиваемый в HTML, который интерпретируется и выполняется на сервере. Основное отличие от CGI - скриптов, написанных на других языках, типа Perl или C - это то, что в CGI-программах вы сами пишете выводимый HTML - код, а, используя PHP - вы встраиваете свою PHP-программу в готовую HTML-страницу, используя открывающий и закрывающий теги. Отличие PHP от JavaScript, состоит в том, что PHP - скрипт выполняется на сервере, а клиенту передается только результат работы, тогда как в JavaScript код полностью передается на клиентскую машину и только уже там выполняется.
3.3.1. Возможности PHP
На PHP можно сделать все, что можно сделать с помощью CGI-программ. Обрабатывать данные из форм, генерировать динамические страницы, получать и посылать cookies, загружать файлы, создавать файлы и папки, рисовать динимические картинки, отсылать электронную почту, и т. д. и т. п. Кроме того, в PHP включена поддержка многих баз данных (databases), что серьёзно расширяет возможности написания по-настоящему динамических Web-приложений. Плюс ко всему вышесказанному, PHP понимает протоколы IMAP, SNMP, NNTP, POP3 и HTTP, а также имеет возможность работать с сокетами (sockets) и общаться по другим протоколам.
3.3.2. Преимущества PHP
Достойный внимания сайт должен поддерживать некоторый уровень интерактивности с пользователем: всевозможные голосования, поиск информации, продажа продуктов, конференции, форум и т. п. Традиционно все это реализовывалось CGI - скриптами, написанными на Perl. Но CGI - скрипты очень плохо масштабируемы. То есть, каждый новый вызов CGI, требует от ядра порождения нового процесса, а это занимает процессорное время и существенно тратит оперативную память. Большое кол-во хакерских атак на сервера основываются именно на многократных вызовах CGI, что приводит к загрузке ядра процессора и оперативной памяти. PHP предлагает другой вариант - он работает как часть Web-сервера, и этим самым похож на ASP от Microsoft. Синтаксис PHP имеет легкую читабельность и в целом понятен для восприятия. В этом языке нет строгой типизации данных и нет необходимости в действиях по выделению (или освобождению) памяти. Программы, написанные на PHP, достаточно просты для понимания. Написанный PHP - код легко зрительно прочитать и понять, в отличие от Perl-программ. Плюс ко всему, достаточно высокая скорость работы. Программы написанные на PHP прекрасно работают кроме Windows-платформ, на Solaris, Linux и многих других операционных системах.
3.4. Выбор веб – сервера.
Apache - самый распространенный Web сервер в интернете, процент его использования достигает 80%. Есть Web сервера компании Microsoft, Netscape, но они платные, да и нет таких возможностей и такой программно - информационной поддержки, как у Apache. К тому же Apache абсолютно бесплатен.
3.4.1. Структура Apache
Apache состоит из ядра, которое обеспечивает самые основные функции, всегда присутствующие в стандартной поставке, и модулей, расширяющих его возможности. Некоторые модули по умолчанию входят в дистрибутив. Другие необходимые модули можно впоследствии подключить к Apache. Таким образом, например, реализуется поддержка SSL, или языков программирования.
Apache обладает весьма гибкими возможностями настройки. Такие задачи решаются путем правки текстовых конфигурационных файлов. Это утверждение справедливо и для многих подключаемых модулей. Такие файлы состоят из набора директив и сопоставленных им опций, а также комментариев.
Основными достоинствами этого сервера считаются надёжность, относительная устойчивость к взлому и очень высокая конфигурируемость. В частности, он позволяет подключать внешние модули для предоставления данных, использовать СУБД для аутентификации пользователей, модифицировать сообщения об ошибках и т. д.
Apache легко переносится на другие платформы. На данный момент существуют версии для Windows, Unix и Mac. Еще одно достоинство - необычайная мощность Apache. Поддержка CGI, PHP, SSI, управление доступом - лишь малая часть сервисов, предоставляемых им. Кроме того, сервер можно приобрести и установить совершенно бесплатно. Возможно, что именно поэтому он так распространен.
3.5. Выбор аппаратной платформы
Выбор аппаратной платформы тесно связан с программным комплексом. Прежде всего аппаратная часть должна обеспечить поддержку и возможность функционирования операционной системы и средств разработки системы.
Для корректной установки и функционирования информационной системы на целевой машине должно присутствовать следующее программное обеспечение:
· Операционная система FreeBSD 5.0
· Apache HTTP Server (версия 2.0.43)
· СУБД MySQL (версия 3.23)
Программное обеспечение накладывает следующие требования на аппаратную конфигурацию.
3.5.1 Минимальные аппаратные требования:
Процессор: процессор семейства Intel Pentium III c частотой 600 МГц, или любой другой совместимый с архитектурой х86 и обеспечивающий аналогичную производительность.
ОЗУ: 256 Мб
Место на жестком диске: минимум 4,3 Гб
3.5.2. Рекомендуемая аппаратная конфигурация:
Процессор: процессор Intel Pentium IV 2400 МГц или аналог.
ОЗУ: 512 Мб
Место на жестком диске: 25 Гб (включая место под операционную систему )
Такая система как СУБД, очень требовательна к скорости чтения/записи винчестера, а также к сохранности данных на нем. Выбор такого количество места на жестком диске автоматически отбрасывает устаревшие и ненадежные модели винчестеров.
Так как одним из условий функционирования системы является работа в сети, то для ее корректной работы также необходимо сетевое аппаратное обеспечение: сетевая карта с поддержкой протокола Ethernet и обеспечивающая скорость передачи данных 10/100 Мбит/с.
3.6. Структурная схема системы
3.6.1. Описание блоков и модулей системы
Информационный блок: содержит модули, обеспечивающие простой доступ к информации из базы данных и не содержащих функций по ее изменению. В него входят:
Модуль «Новости» («Главная страница») - данный модуль расширяется на многие страницы, на первой из них отображается краткое содержание новых статей. Данный модуль имеет довольно сложную структуру, и в этой связи наделен множеством элементов. К примеру, на главной странице у каждой новости имеется своя иконка, нажав на которую Вы попадаете в тематический раздел, к которому принадлежит данная статья. Помимо этого, статьи могут разделяться еще и на категории.
Модуль «Поиск» («Поисковый модуль») – основной поисковый модуль. Данный модуль производит поиск ключевых фраз сразу по нескольким модулям, таким как Новости, Темы, Reviews и т. д. Имеется возможность указывать критерии поиска, к примеру осуществлять поиск по автору, теме или категории.
Модуль «Обратная связь» («Контакт с автором») - позволяет посетителям сайта отправлять свои сообщения администратору проекта. Для этого нужно всего лишь заполнить несколько полей, после чего данный модуль отформатирует сообщение и перешлет его на емайл администратора. Обеспечивает обратную связь между пользователем и администратором системы.
Модуль «Архив»(«Архив статей») – модуль, в котором хранятся все старые статьи. Статьи рассортированы по временной шкале, которая разбита на месяцы. Пользователю остается только выбрать необходимый период, за который он желает просмотреть статьи. Модуль снабжен функциями оптимизации перед печатью, отправки ссылки, на полную версию статьи, другу.
Модуль «Темы»(«Тематические разделы») - модуль тематических разделов, хоть и является самостоятельным модулем, но выполняет добавочные функции к модулю новостей. Практически он предоставляет в удобном виде все имеющиеся тематические разделы модуля новостей.
Служебный блок: содержит модули, предназначенные для управления информационной системой и ее пользователями. В него входят следующие модули:
Модуль Downloads («Каталог программ») - данный модуль предоставляет возможность вести на сайте каталог программ (файлов). Снабжен различными элементами для более комфортной работы с ним как посетителей сайта, так и авторов публикуемых программ. На главной странице данного модуля нам предоставляется форма поиска, которая поможет отыскать файл в данном каталоге программ. Посетитель имеет возможность отсортировать файлы по дате публикации, по популярности (большему количеству загрузок) или по выставляемой файлам оценки. имеются. Как только посетитель попадает в нужную ему категорию, ему представляется список файлов с их описанием, ссылкой на скачивание (название файла), возможность сообщить о недоступном файле а так же возможность просмотреть детали данного файла и выставить ему оценку. Сортировать вывод файлов можно по их популярности, дате публикации, а так же по их названию.
Модуль «Пользователи»(«Список пользователей») – модуль, предоставляющий полный список зарегистрированных на сайте пользователей. Имеется возможность сортировки по различным данным, к примеру, по имени, дате регистрации, емайлу и т. д. Соответственно о пользователях дается короткая информация, такая как его емайл (если он дает на это разрешение), его Web страничка, географическое местоположение, дата регистрации и т. д.
Модуль «Добавить» («Добавить статью») – модуль, при помощи которого, пользователи сайта (или простые посетители) могут предлагать к публикации свои материалы (статьи). После добавления, администратор получает об этом сообщение, проверяет присланный материал, в случае необходимости редактирует его, определяет для него тематический раздел, после чего публикует (или удаляет).
Модуль «Ссылки» («Каталог ссылок») - каталог сайтов. Снабжен стандартными функциями, которыми должен обладать подобный раздел сайта. Посетители добавляют свои сайты, администратор проверяет предоставленную информацию и публикует (или удаляет) ее.
Модуль «Ссылки» («Контент») - модуль для автоматической публикации какой-либо информации. Администратор создает разделы и наполняет их информацией.
Модуль «Статьи» («Энциклопедия») - администратор создает энциклопедию (их может быть несколько, на различные темы), и наполняет данную энциклопедию содержимым.
ГЛАВА 4. ТЕХНИЧЕСКИЕ ХАРАКТЕРИСТИКИ СИСТЕМЫ
Производительность системы вычислялась при следующих условиях:
· Аппаратная конфигурация системы соответствует рекомендуемой;
· Скорость обмена данными по локальной сети – 100 Мбит/с. Время задержки: T100м=0.01с
· Время обработки запроса СУБД MySQL: TСУБД=0,3с
· Суммарная задержка при обращении к жесткому диску и передачи данных по шине: TЖД=0,01с;
Коэффициент интенсивности использования системы КИНТ=40%
4.1. Математическое ожидание и дисперсия распределения сетевого трафика при передаче данных.
При обработке предметной области настоящего проекта размер минимального смыслового информационного блока "Понятие – полнотекстовое описание" выбирался исходя из следующих соображений :в блоке должна присутствовать необходимая информация для раскрытия основных свойств выбранного понятия Понятие – полнотекстовое описание" выбирался исходя из следующих соображений:
· в блоке должна присутствовать необходимая информация для раскрытия основных свойств выбранного понятия;
·
![]() |
большинство российских пользователей для подключения к Интернет пользуются модемными соединениями через интернет-провайдеров, что ограничивает скорость передачи данных от 9600 бит/с до 56400 бит/с (33600 бит/с в среднем).
Разбиение предметной области на информационные единицы производилось с таким расчетом, чтобы математическое ожидание (МО) по объему всех полученных информационных единиц приближалось к 100Кб. МО в данном случае вычисляется по следующей формуле:
, где Wi – объем i-ой информационной единицы, N общее число информационных единиц в базе данных.
На рисунке 5.1. показана образующаяся при этом временная зависимость загрузки информационного блока в 100 Кб при различных скоростях подключения к сети Интернет.
![]() |
Допустимый разброс значений смысловых информационных блоков (дисперсия) может составлять до 50Кб. В этом случае максимальный объем передаваемых данных составит около 150Кб. На рисунке 5.2 можно увидеть диаграмму временной зависимости загрузки данных при таком варианте.
В этом случае требования к времени загрузки данных все еще выполняются при среднем значении скорости подключения к сети Интернет, что позволяет рассматривать такой вариант в качестве граничного.
4.2. Расчет энтропии системы.
Для начала шла оценка зависимости объема данных на выходе системы от объема данных внутри системы с учетом их группировки по трем параметрам. Был построен ряд распределения случайной величины с учетом вероятности по этим параметрам.
|
Из за большого объема этот материал размещен на нескольких страницах:
1 2 3 4 5 6 |













