1.2.8. Антагонистическая активность консорциумов LAB
В данной работе был проведен сравнительный анализ антимикробной активности моно - и смешанных культур молочнокислых бактерий. Показано, что при совместном культивировании энтерококков и лактобацилл, в зависимости от использованных комбинаций штаммов, суммарная антагонистическая активность может снижаться, оставаться неизменной или увеличиваться по силе и спектру. Это доказывает необходимость подбора бактериальных культур для создания симбиотических пробиотических продуктов и препаратов. В качестве примера симбиотического консорциума с высокой антимикробной активностью предложена комбинация штаммов E. faecium L3 и L. fermentum Z. Показано, что при совместном культивировании этих культур LAB суммарная антимикробная активность по отношению к стрептококкам групп А (рис. 2А) и В (рис. 2 Б); стафилококкам, листериям (Рис. 2 В) грамотрицательным бактериям и грибам (2Г) была больше, чем проявляли монокультуры антагонистов, или оставалась без изменений.
Как видно на рис. 2, штаммы антагонистов проявляли неодинаковую антимикробную активность. Как правило, более антагонистически активный штамм «компенсировал» недостаточную активность второго компонента консорциума. Примерами таких индикаторных культур могут быть штаммы S. pyogenes 5 и 7; S. agalactiae 11, 14 и 16; L. monocytogenes EGD; S. aureus, SH1, Sh 2 и 209; а также Proteus sp. и грибы рода Candida. Более сильным антагонистом, как правило, являлся штамм энтерококков. Однако в последних трех случаях антагонистическая активность монокультуры L. fermentum Z была выше E. fecium L3. Наличие взаимодополняющих спектров действия этих культур и увеличение антимикробной активности при их совместном культивировании, позволяет рассматривать эти молочнокислые бактерии как компоненты для создания нового пробиотического консорциума
1. 3. Исследование антимикробного действия LAB в жидкой среде
О симбиотических взаимоотношениях между L. fermentum Z и E. faecium L3 косвенно свидетельствуют и результаты совместного культивирования этих культур в средах МРС1 и молоке, с последующим высевом проб на селективные среды. Доказано, что данные бактерии не ингибируют рост друг друга. В то же время, совместное культивирование энтерококков с L. plantarum 8Р-А3 и L. acidophilus EP 317/402 вызывало замедление динамики роста E. faecium L3, существенное снижение их концентрации (более чем в 1000 раз) через 24 часа инкубации по сравнению с контрольными пробами (без лактобацилл) и при инкубировании с L. fermentum Z.
1. 4. Антимикробная активность супернатантов LAB
Антибактериальная активность супернатантов всех лактобацилл, полученных при их культивировании в бульоне МРС1, была больше, чем у супернатантов энтерококков, выращенных на этой среде. Она проявлялась существенным замедлением скорости роста индикаторных культур (L. monocytogenes, S. agalactiae, S. pyogenes) в фазу адаптации. Различия в проявлении антибактериальной активности были обнаружены только при определении минимальных ингибирующих разведений супернатантов, что явилось новым критерием для сравнения близких по антимикробной активности культур антагонистов. Показано, что все исследованные LAB не продуцировали перекись водорода, не имели существенных различий в продукции молочной кислоты и интенсивности подкислении среды при культивировании.
1.5. Антимикробные факторы культур E. faecium L3 и L. fermentum Z
Дальнейшие исследования антагонистически активных штаммов молочнокислых бактерий позволили нам выявить в геномах штаммов E. faecium L3 и L. fermentum Z гены, обеспечивающие продукцию ранее описанных другими авторами энтероцинов А и В, а также лактоцина F, соответственно. B культуре E. faecium L3 при помощи ОТ-ПЦР
|
|
|
|
|
|
|
|
|

|
|
|
|
|
|
|
|
|
![]()
![]()
- L3 - Z - L3+Z
Рис. 2. Антагонистическая активность (МИКА) консорциума и монокультур E. faecium L3 и
L. fermentum Z к СГА (А) и СГВ (Б) стафилококкам, листериям (В), грамотрицательным палочкам и грибам (Г).
Условные обозначения: 1, 3, 5, 7 и 9 - штаммы S. pyogenes, различных серотипов, М4 (1) или М49 (3, 5, 7 и 9); 11, 12, 14, 15 и 16 - штаммы S. agalactiae различных серотипов (58/59 Ia, 59/59 Ib, 10/84V, 13/63 III, 97/44 I ac); L. m. –Listeria monocytogenes EGD; E. c. – E. coli ATCC25922; St. a. – S. aureus ATCC 25923, 209, SH1 и Sh2; K. p. - Klebsiella pneumoniae ОШ; P.a. – Pseudomonas aeruginosa; Pr. m. – Proteus mirabilis Е; C.a. –C. albicans ATCC 885-653. Примечание: *- р<0,05
обнаружена экспрессии генов, обеспечивающих синтез специфического регуляторного феромона, самих энтероцинов и белков иммунитета. В супернатантах культуры энтерококков обнаружены пептиды. Последние были устойчивы к действию температуры, по величинам молекулярного веса соответствовали энтероцинам А и В, а также обладали характерной для рассматриваемых бактериоцинов антилистериозной активностью [Moreno M. R.F. et al., 2003; deVuyst L. and Leroy F, 2007].
1.6. Влияние феромонов на антибактериальную активность энтерококков
Особенно важно, что антибактериальная активность E. faecium L3 (в отличие от других энтерококков) существенно возрастала при его культивировании в бульоне BHI в присутствии специфического искусственно синтезированного феромона, способного по данным литературы стимулировать продукцию энтероцинов А и В. Аналогичный эффект был получен и с использованием синтетических более коротких дериватов данного регуляторного пептида (рис. 3). Это может быть связано с тем, что специфический феромон (Ent F) и его аналоги (EntF1 и EntF2) стимулируют в штамме E. faecium L3 экспрессию генов, обеспечивающих продукцию энтероцинов А и В.
Ent F Ent F1 EntF2
Рис. 3. Аминокислотные последовательности феромона и его аналогов.
EntF- полный аналог естественного феромона, Ent F1 и Ent F2 – более короткие дериваты EntF. Молекулярная масса пептидов Ent F, EntF1 и EntF2 составляла 2.7, 2.1 и 1.3 кДа, соответственно.
Кроме того, при исследовании супернатантов культуры E. faecium L3 обнаружены дополнительно фракции антимикробных пептидов с молекулярной массой 1,5-2,2 кДа, которые также обладали антибактериальной активностью по отношению к листериям, однако в большей степени ингибировали рост эшерихий.
1.7. Искусственно синтезированный энтероцин В и его аналоги
Для выяснения особенностей действия энтероцина В были синтезированы два пептида, последовательность одного из которых в точности соответствует зрелому (процессированному) энтероцину В, а второй представляет его укороченный дериват (В1). Аминокислотная последовательность этих пептидов представлена на рис. 4.

В1 В
Рис. 4. Структура искусственно синтезированных энтероцина В и его аналога (В1). Молекулярная масса пептидов В и В1 составляла 5,5 kДa и 3,2 кДa, соответственно.
Обнаружена способность этих пептидов ингибировать рост грамположительных бактерий L. monocytogenes и S. pyogenes. Впервые выявлены особенности воздействия энтероцина B на E. coli. Установлено, что рассматриваемый бактериоцин и его аналог в концентрации 2 мкг/мл вызывают образование зон задержки роста (10-15 мм) листерий, стрептококков и эшерихий, засеянных в виде газона на плотной питательной среде. Методом электронной микроскопии обнаружено повреждение цитоплазматической мембраны эшерихий, выращиваемых в присутствии данных пептидов. Это приводило к нарушению целостности бактериальных клеток и появлению множественных фрагментов цитоплазмы в межклеточном пространстве.
1.8. Исследование противовирусной активности LAB
Влияние супернатантов различных пробиотических культур на выраженность ЦПД вирусов оценивали, сравнивая количество измененных клеток при внесении потенциальных ингибиторов репродукции ВПГ-1 за 90 мин до инфицирования культуры клеток. Как показано на рис.5., вирусы одни или в присутствии супернатанта эшерихий вызывали существенное ЦПД с поражением 95-100% клеток. Добавление ацикловира полностью защищало клетки Vero от влияния ВПГ-1. Супернатанты энтерококков и лактобацилл в разведениях 1:5 ингибировали ЦПД на 30 и 88 %. Супернатанты штаммов E. faecium L3 и L. plantarum 8P-A3 действовали в больших разведениях (до 20 раз), однако эффект уменьшался по мере снижения концентрации метаболитов этих бактерий. Наиболее выраженное антивирусное действие оказывали факторы, содержащиеся в супернатанте энтерококков. В данном случае при использовании максимальной нетоксичной концентрации препарата существенно (в 10-100 раз) повышалась максимальная инфекционная доза вируса. Также ингибировал репродукцию ВПГ-1 и пептидный экстракт, полученный из супернатанта культуры E. faecium L3. Однако синтетический энтероцин В и его аналог В1 в относительно высоких концентрациях до 0,5 мг/мл не оказывал противовирусного эффекта.
Итак, результаты комплексного исследования антагонистической активности LAB по отношению к различным бактериям, а также грибам и вирусам выявили существенные различия в антимикробной активности культур лактобацилл и энтерококков в системе in vitro. Штамм L. planatarum 8Р-А3 проявлял максимальную антагонистическую активность к подавляющему большинству индикаторных микроорганизмов, однако в том числе и к самим молочнокислым бактериям. Несколько в меньшей степени была выражена способность ингибировать рост грамотрицательных и грамположительных бактерий у других пробиотических штаммов Lactobacillus spp. и Enterococcus spp.
|
|
|
|
|
Рис. 5. Влияние различных концентраций супернатантов пробиотических бактерий на репродукцию ВПГ-1
Условные обозначения: 1: 5, 1:10, 1: 20 – разведения супернатантов. *- р<0,05
Антимикробные свойства были выражены минимально у клинических изолятов лактобацилл и энтерококков, выделенных из урогенитального тракта и кишечника здоровых людей. Исключение составлял штамм L. fermentum Z, показатели антимикробной активности которого были сопоставимы с культурами, выделенными из пробиотических препаратов и продуктов. Одними из наиболее перспективных для дальнейшего изучения и практического использования в виде моно - и поликомпонентных пробиотических продуктов и препаратов оказались штаммы L. fermentum Z и E. faecium L3. Отличительной особенностью этих культур является наличие высокой антагонистической активности по отношению к патогенным микроорганизмам и практически полное отсутствие ингибирующего эффекта при совместном росте с другими LAB. Для изучения механизмов их антимикробного действия особенно важным оказалось выявление генов, обеспечивающих продукцию бактериоцинов в этих штаммах.
II влияние LAB на патогенные микроОрганизмы, макроорганизм и его микробиоту в системе in vivo
Существенной частью проведенного исследования являлась оценка антимикробного действия LAB в системе in vivo. В данной работе эксперименты были проведены на здоровых мышах и крысах, а также на моделях кишечного дисбиоза и урогенитальных инфекций.
1. Влияние LAB на здоровых животных и их микрофлору
Исследования на здоровых животных были важны для выяснения особенностей действия LAB при их использовании в профилактических целях, а также рассмотрения возможностей длительного приема пробиотиков.
1.1. Исследование острой и подострой токсичности LAB
Подводя итоги выполненных испытаний на мышах и крысах острой и подострой токсичности живых культур L. fermentum Z, L. acidophilus Д № 75 и 76, E. faecium L3 и L5, можно заключить, что 1) однократное введение (внутрибрюшинное, интравагинальное или пероральное) этих бактерий в количестве до 10 lg КОЕ/мл; 2) кратковременное (до 10 дней) и более продолжительное (14 и 35 дней) пероральное введение молочнокислых заквасок, содержащих 8 lg КОЕ/мл E. faecium L3, L5 и L. fermentum Z, не оказывает токсического воздействия на структуру и функцию основных органов и систем животных. Это соответствует требованиям, предъявляемым к пробиотическим штаммам бактерий.
1.2. Влияние внутрижелудочного введения E. faecium L5
Более детальное исследование влияния внутрижелудочного введения молочнокислой закваски, содержащей E. faecium L5, а также использованных в качестве контроля молока, фосфатного буфера или молочной закваски на основе эшерихий, не выявило существенных различий в аппетите и массе тела животных в течение 14 дней наблюдений. В этих экспериментах также не были обнаружены существенные сдвиги в составе микробиоты кишечника. В то же время были зарегистрированы более высокие показатели (р < 0,05) активности мальтазы эпителия тонкой кишки крыс, получавших эшерихии, по сравнению с животными, которым вводили молочнокислую закваску с энтерококками. Биохимические показатели сыворотки крови за период наблюдений практически не изменялись. Исключение составляли небольшое снижение уровня триглицеридов на фоне использования молочнокислых заквасок с энтерококками.
Статистически достоверных различий в уровне содержания иммуноглобулинов (IgA, IgM, IgG) сыворотки крови и слизи кишечника крыс выявлено не было. На 14 день исследований выявлена большая активность С3 фракции системы комплемента сыворотки крови животных, получавших пробиотические закваски, по сравнению контрольными группами. При этом, значения показателя Тlag, время до начала гемолиза, в группах крыс, которым внутрижелудочно вводили эшерихии и энтерококки (43± 13,1 с и 45,8 ±6,9 с), были меньше (р<0,05), чем у интактных животных и получавших молоко (56,7± 15,5 с и 57,1 ±17,8 с). При исследовании биоптатов слизистой кишечника крыс различных групп на 7 и 14 дни эксперимента не было обнаружено существенных различий уровнях экспрессии мРНК IL-1β, IL-8, IL-18 и TLR2 рецепторов. Однако выявлены, индивидуальные особенности пробиотических бактерий при их введении здоровым крысам в течение 7 дней. Так штамм E. faecium L5 в отличие от E.coli M17 вызывал экспрессию мРНК провоспалительного цитокина IL-10.
1.2. Влияние интравагинального введения E. faecium L5
Введение здоровым крысам и мышам во влагалище высоких концентраций E. faecium L5 (до 10 lg КОЕ/мл) не изменяло состояние животных, не оказывало токсического действия на слизистую влагалища и матки животных. При гистологическом исследовании не было обнаружено признаков воспалительной реакции.
2. Экспериментальный дисбиоз
Для изучения влияния LAB на макроорганизм и его микрофлору при развитии дисбиотических состояний была разработана модель дисбиоза кишечника, вызванного внутрижелудочным введением антибактериальных препаратов (ампициллина и метронидазола). В качестве пробиотиков были использованы генетически маркированный штамм E. faecium L5, индигенные энтерококки, выделенные из кишечника здоровых крыс до антибактериального воздействия (аутопробиотики), и штамм L. fermentum Z. Отсутствие генов патогенности в геноме отобранных клонов индигенных Enterococcus spp. подтверждено при помощи ПЦР. Контрольным группам животных после воздействия антибиотиками вводили молоко. Наличие дисбиоза кишечника у крыс было подтверждено их клиническим состоянием (потеря аппетита, снижение веса, метеоризм, поносы и другими), а также результатами бактериологического анализа. Исследование фекалий крыс после воздействия антибиотиками выявило: снижение количества лактобацилл, бифидобактерий и энтерококков, а также увеличение числа патогенных и условно-патогенных бактерий и грибов рода Candida (рис. 6).
2.1. Коррекция дисбиза кишечника E. faecium L5, индигенными
энтерококками и L. fermentum Z
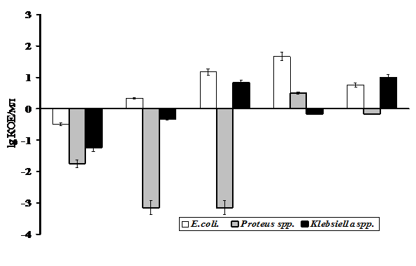
У всех крыс, получавших молочнокислые закваски, отмечалось более быстрое, по сравнению с животными контрольных групп, восстановление аппетита, нормализация стула и увеличение массы тела. Бактериологические исследования фекалий крыс, после воздействия пробиотическими заквасками с E. faecium L5, свидетельствовало о быстрой колонизации кишечника крыс генетически маркированными энтерококками. Это приводило к полной элиминации протея, клебсиелл, золотистых стафилококков и лактозонегативных или гемолитических эшерихий. Следует отметить, что при сравнении эффектов воздействии различных LAB на микрофлору кишечника крыс с дисбиозом выявлены существенные различия. Как видно на рис. 7., при введении молочнокислых заквасок с L. fermentum Z уменьшение числа клебсиелл происходило в меньшей степени, а при использовании индигенных энтерококков - даже увеличивалось. В то же время, указанные культуры молочнокислых бактерий способствовали более активной элиминации протея из кишечника животных.
*
| |
|
*
* * * *
Рис. 6. Влияние антибиотиков на микрофлору кишечника здоровых крыс
Условные обозначения: Lb. - Lactobacillus spp., Bif. - Bifidobacterium spp., Ent. - Enterococcus spp., S. a. – Staphylococcus aureus, Pr. - Proteus spp., Kl. - Klebsiella spp., E. coli * - нетипичные эшерихии. *- р<0,05
Обращало на себя внимание то, что только культура E. faecium L5 вызывала снижение содержания эшерихий (в том числе и типичных). Культуры L. fermentum Z и индигенных Enterococcus spp. способствовали незначительному увеличению количества эшерихий в желудочно-кишечном тракте животных. Важно, что при введении животным молока происходило увеличение обсемененности желудочно-кишечного тракта крыс Klebsiella spp. и E. coli, а также только незначительное уменьшение содержания протея. Кроме того, на фоне введения молочнокислых заквасок отмечено более быстрое, по сравнению с контрольными пробами, увеличение числа лактобацилл, бифидобактерий и энтерококков в кишечнике животных (рис. 8). В большей степени этот эффект проявлялся при введении индигенных энтерококков. Молочнокислая закваска с L. fermentum Z не проявляла бифидо - и лактогенной активности, однако способствовала заселению кишечника крыс энтерококками быстрее, чем при введении животным молока или E. faecium L5. Таким образом, в серии экспериментов с введением различных молочнокислых заквасок крысам при дисбиозе кишечника впервые удалось выявить особенности антимикробного действия LAB в системе in vivo. Важно, что впервые в качестве аутопробиотиков было предложено использовать не лактобациллы и бифидобактерии, [, 2003], а непатогенные энтерококки, выделенные из кишечника хозяина.
E. faecium L5 L. fermentum Z Enterococcus * ФБ Молоко
|
|
| |
| |
| |
Рис. 7. Изменения содержания грамотрицательных бактерий в микробиоте кишечника крыс с дисбиозом после воздействии различными молочнокислыми заквасками.
Условные обозначения: ФБ – фосфатный буфер, Enterococcus * - индигенные энтерококки (аутопроботики). *- р<0,05
|
|
Рис. 8. Изменения содержания лактобацилл, бифидобактерий и энтерококков в микробиоте кишечника крыс с дисбиозом после воздействии различными молочнокислыми заквасками. Примечание: Enterococcus * - индигенные энтерококки (аутопробиотики).
2.2. Влияние LAB на метаболизм мальтозы в кишечнике
На примере животных, получавших терапию молочнокислой закваской, содержащей генетически маркированный штамм E. faecium L5 (группа А), было исследовано влияние LAB на метаболизм. В качестве контрольных групп использовались интактные крысы (группа К) и животные с дисбиозом, вызванном приемом антибиотиков, которые получали молоко (группа Б). Исследуя активность метаболических процессов, происходивших в слизи, химусе, эпителии разных участков тонкой и толстой кишки крыс с дисбиозом, нам удалось доказать участие энтерококков в углеводном обмене, в частности, ингибирование выработки мальтазы эпителиоцитами в проксимальных участках желудочно-кишечного тракта на фоне активного заселения этих участков тонкой кишки E. faecium L5. В химусе была отмечена большая активность мальтазы в пробах, взятых из толстой и проксимальных отделов тонкой кишки крыс группы А, по сравнению с контрольной группой Б. Наиболее вероятно, что энтерококки, обладающие свойством ферментировать мальтозу, активно участвовали в ее расщеплении и за счет механизмов обратной связи ингибировали выработку соответствующего фермента эпителиальными клетками тонкой кишки (рис. 9.). Аналогичный эффект, как уже было отмечено, был получен нами и при исследовании здоровых крыс. В качестве отрицательного контроля была использована культура E. coli M17, не ферментирующая мальтозу. Подобный эффект пробиотических культур ранее не был описан.

Химус Эпителий
|
|
|
|
|
|
|
|
![]()
![]()
- К – группа интактных крыс - Б – крысы с дисбиозом, получавшие молоко
- А – крысы с дисбиозом, получавшие молочнокислую закваску с E. fecium L5
Рис. 9. Активность мальтазы в эпителии слизистой оболочки и химуса кишечника крыс различных групп. Условные обозначения: 12 пк – двенадцатиперстная кишка, Т1 и Т2 – проксимальный и дистальный участки тощей кишки, П - подвздошная кишка, Тл – толстая кишка. *- р<0,05
2.3. Воздействие LAB на иммунную систему
На примере групп животных, получавших терапию молочнокислой закваской, содержащей генетически маркированный штамм E. faecium L5, было исследовано влияние LAB на иммунную систему организма. К моменту окончания эксперимента (8 день исследований) содержание IgM, IgА и IgG, а также активность C3 компонента комплемента сыворотки крови крыс с дисбиозом, получавших молочнокислую закваску с E. faecium L5 или молоко, было практически одинаковыми. Также не было обнаружено статистически достоверных различий в содержании IgG и IgA в слизи кишечника различных групп животных. Однако в слизи толстой кишки крыс, получавших пробиотическую закваску, концентрация IgM была ниже, чем в пробах, взятых от животных, получавших молоко. При исследовании биоптатов слизистых толстой и тонкой кишки крыс не было выявлено существенных различий в экспрессии мРНК IL-1β, IL-18 и TLR2. Обращало на себя внимание то, что на 8 день эксперимента экспрессия мРНК IL-8 в биоптатах слизистой кишечника, была существенно выше у крыс контрольной группы, получавших молоко, у которых в отличие от опытной группы сохранялись клинико-лабораторные признаки дисбиотического состояния. Возможно, обнаружение увеличения продукции хемоатрактанта IL-8, в дальнейшем могут быть рассмотрены как маркер для неблагоприятного развития дисбиотического процесса. Следует отметить, что у всех крыс, получавших закваску с энтерококками, в отличие от контрольной группы, была выявлена повышенная экспрессия мРНК IL-10.
3. Экспериментальный вагинит
Для выявления эффектов местного введения пробиотической закваски, содержащей энтерококки, создана модель экспериментального вагинита у крыс. Синхронизацию полового цикла овариоэктамированных животных достигали введением эстрадиола, вызывающего длительную фазу течки. В этот период крысы становились более чувствительными к развитию инфекции.
3.1. Воздействие различных LAВ на микробиоту влагалища
В настоящем исследовании продемонстрирована способность E. faecium L5 ингибировать рост СГВ, эшерихий и стафилококков (рис. 10) и препятствовать колонизации этими микроорганизмами урогенитального тракта крыс. Элиминация патогенных бактерий из влагалища животных происходила под воздействием молочнокислой закваски у всех крыс не позднее 4 и 5 дня наблюдений, в отличие от животных из контрольных групп, которые получали молоко.
Культура энтерококков, устойчивых к эритромицину, в первые дни введения закваски в отделяемом из влагалища крыс не обнаруживалась. Затем обсемененность слизистых энтерококками нарастала, что по времени совпадало с постепенным снижением содержания во влагалище крыс патогенных микроорганизмов и увеличением количества лактобацилл и бифидобактерий (рис. 11). Наблюдаемые эффекты можно объяснить адаптацией E. faecium L5 к новым условиям существования. После элиминации возбудителей, чему прямо и косвенно способствовали пробиотические энтерококки, число последних увеличилось до 5,4 lg КОЕ/мл. Динамика процесса взаимодействия пробиотиков с резидентными представителями микробиоты влагалища и патогенными микроорганизмами ранее не описывалась.
E. faecium L5![]()


и
●….Streptococcus. agalactiae 219 ▲.- Staphylococcus aures LB ■---- E. coli IM Рис.10. Изменение показателей инфицированности патогенными бактериями влагалища крыс с экспериментальным вагинитом на фоне введения E. faecium L5 и молока.

Рис.11. Количество E. faecium L5 и Lactobacillus spp. в различные дни эксперимента.
3.2. Воздействие LAB на иммунную систему
Исследование иммунологических показателей крыс с экспериментальным вагинитом не выявило достоверных различий в уровне содержания иммуноглобулинов (IgM, IgA и IgG) и активности С3 компонента комплемента сыворотки крови животных, которым per vaginum в течение 5 дней вводили молоко или молочнокислую закваску. В то же время, во влагалищной слизи крыс, получавших молочнокислую закваску с энтерококками, были обнаружены меньшие, чем в контрольной группе, уровни содержания IgА и IgМ. При исследовании биоптатов слизистой влагалища крыс не было выявлено различий в уровне экспрессии мРНК IL-1β и IL-18. Однако в опытной группе животных, получавших молочную закваску с энтерококками, при помощи ОТ-ПЦР была обнаружена более выраженная экспрессия мРНК IL-10, чем в контрольной группе.
Выявленные особенности иммуномодулирующего действия энтерококков на слизистую урогенитального тракта крыс коррелируют с результатами, полученными при внутрижелудочном введении культуры E. faecium L5 здоровым животным и крысам с дисбиозом, вызванным приемом антибиотиков.
4. Послеродовой эндометрит у коров
Для оценки эффективности пробиотических препаратов при лечении острых послеродовых эндометритов крупного рогатого скота было организовано три группы животных, у которых наблюдались клинические признаки послеродовых урогенитальных инфекций. Для лечения коров двух опытных групп были использованы молочнокислые закваски на основе Lactobacillus acidophilus Д № 75 и 76 или E. faecium L3. Ежедневно на 1 или 2 дни после отела в течение 5 дней коровам внутриматочно вводили 100 мл закваски, содержащей 8,0 lg КОЕ/мл указанных LAB. Животных контрольной группы подвергали стандартному лечению: первые 3 дня внутриматочно вводили ихтиоловые палочки, затем с 5 дня до излечения антибиотики (тилозинокар или эндометромаг).
Как видно из результатов исследований, приведенных в таблице 3, использование молочнокислых заквасок оказалось более эффективным, чем стандартная терапия эндометрита ихтиолом и антибиотиками. Объяснением этому могут служить результаты бактериологических исследований проб маточного экссудата от животных, отобранных до начала их лечения. Показано, что основным этиологическим фактором развития эндометритов являлись эшерихии, стафилококки, протеи, псевдомонады, стрептококки, в отношении которых использованные культуры LAB в предыдущих сериях экспериментов проявляли выраженную антагонистическую активность. Лечение молочнокислыми заквасками, по-видимому, приводило к элиминации патогенных микроорганизмов. Доказательством этого являются результаты повторных выборочных бактериологических исследований. Так, например, после лечения в трех случаях наблюдалась элиминация эшерихий. Эффективность терапии эндометритов коров молочнокислыми заквасками, по-видимому, было связано, с подавлением патогенной и условно-патогенной микрофлоры вместе введения, а также стимуляцией регенерации эпителия слизистой оболочки матки. Нельзя исключить, что попадание в кровяное русло пробиотических лактобацилл и энтерококков через травмированную после родов поверхность слизистой оболочки матки приводило к дополнительной активации иммунного ответа. Об этом свидетельствовали увеличение общего пула IgM и IgA.
Таблица 3.
Результаты терапии послеродового эндометрита коров при лечении пробиотическими заквасками, содержащими LAB и химиопрепаратами
Группы коров с послеродовым эндометритом | Общее число животных | Число выздоровевших животных | Продолжительность лечения для выздоровевших животных (дни) | Инволюция половых органов (дни) |
L. acidophilus Д №75 и 76 | 10 | 9 | 5 | 24 |
E. faecium L3 | 10 | 10 | 5 | 22 |
Ихтиол, тилозинокар (эндометромаг) | 10 | 5 | 9 | 32-36 |
Заключение
В диссертации проведено сравнительное исследование антимикробных свойств молочнокислых бактерий (энтерококков и лактобацилл) в системах in vitro и in vivo. Предложены новые методы определения антагонистической активности LAB к широкому спектру бактерий, грибам и ВПГ. Предложены принципиально новые модели для изучения влияния молочнокислых бактерий на макроорганизм и его микрофлору. В работе прослеживаются особенности взаимодействия одних и тех же индикаторных бактерий (эшерихий, клебсиелл, протеев, стафилококков, стрептококков и энтерококков) и антагонистов (лактобацилл и энтерококков) в различных условиях. Эти условия не ограничиваются различными способами культивирования на питательных средах. Они дополняются наблюдениями за динамическими изменениями содержания этих бактерий в организме лабораторных животных (здоровых и с наличием патологии инфекционной природы). В результате работы предложена стратегия комплексного изучения биологических свойств культуры молочнокислых бактерий. Она включает в себя следующие необходимые этапы исследования LAB: 1) идентификацию (молекулярно- генетическую и на основании культуральных и биохимических свойств); 2) определение безвредности для макроорганизма при различных способах введения; 3) исследование антимикробного спектра действия в системе in vitro и in vivo; 4) выявление особенностей воздействия на иммунитет и 5) изучение влияния на морфофункциональные характеристики слизистых. Подробное исследование свойств пробиотических культур по предложенной схеме позволяет осуществлять их паспортизацию, а в дальнейшем индивидуальный подбор пробиотических препаратов с целью увеличения их эффективности при практическом использовании в медицине и ветеринарии.
Полученные результаты доказывают, что действие пробиотиков не сводится к простому заселению кишечника или урогенитального тракта, как это иногда представляется. Их влияние более сложно и многопланово. Оно включает конкуренцию с патогенной и условно-патогенной микрофлорой, стимуляцию роста резидентных представителей микробиоты, обеспечивающих колонизационную резистентность; взаимодействие с эпителием слизистых оболочек и мукозоассоциированной лимфоидной тканью (МАЛТ). Выявленные особенностей этих динамических процессов, зависящих от свойств отдельных культур молочнокислых бактерий или консорциумов, открывают новые перспективы для изучения свойств LAB с целью создания новых и усовершенствования уже имеющихся пробиотических пищевых продуктов и препаратов.
Выводы
1. Разработан алгоритм исследования свойств пробиотических культур, позволяющий подбирать штаммы молочнокислых бактерий с учетом особенностей их действия на микрофлору и макроорганизм в целях повышения эффективности их использования.
2. Сравнительное исследование лактобацилл и энтерококков, выделенных из различных источников, позволило охарактеризовать степень их антагонистической активности в отношении широкого круга микроорганизмов.
3. Впервые выявлена противовирусная активность продуктов метаболизма лактобацилл и энтерококков в системе in vitro.
4. Доказана возможность увеличения антибактериальной активности бактериоциногенных молочнокислых бактерий при добавлении в культуральную среду специфических синтетических феромонов.
5. Впервые показано, что синтетический энтероцин В и его аналог ингибируют рост стрептококков группы В и эшерихий, а характер повреждения поверхностных структур последних позволяет предположить общий механизм действия этого бактериоцина на грамположительные и грамотрицательные бактерии.
6. Установлено, что введение LAB крысам с дисбиозом кишечника способствует ускоренному восстановлению микробиоты, нормализации морфофункциональных показателей слизистой желудочно-кишечного тракта, а также исчезновению клинических симптомов. Динамика и характер изменений указанных параметров зависит от особенностей штаммов молочнокислых бактерий.
7. Аутопробиотические энтерококки обладают выраженным лакто - и бифидогенным эффектом, однако ингибируют рост патогенных бактерий в меньшей степени, чем пробиотические лактобациллы и энтерококки.
8. Доказана способность молочнокислых бактерий, вводимых интравагинально при экспериментальном вагините у крыс, вызывать быструю элиминацию патогенных бактерий (эшерихий, стафилококков, стрептококков группы В) и предотвращать развитие местной воспалительной реакции.
8. Впервые показано, что внутриматочное введение коровам LAB эффективно устраняет симптомы послеродового эндометрита, вызывает элиминацию патогенных микроорганизмов и стимулирует системный иммунный ответ (выработку Ig M и IgА, увеличивает лизоцимную активность сыворотки крови).
Список опубликованных работ по теме диссертации
Статьи:
1. Ермоленко терапия урогенитальных инфекций, вызванных ассоциацией условно-патогенных бактерий // Сб. «Проблемы оптимизации образа жизни и здоровья», СПб, Изд-во СПб ГМУ, 1995.- С. 62-63.
2. Ермоленко В. А., Ждан-, Тец характеристика антагонистической активности лактобацилл// Журн. микробиол., 2004.- №5.- С. 94-98.
3. , Ждан-, Суворов Candida albicans и Lactobacillus plantarum in vitro// Проблемы медицинской микологии, 2004, том 6.- №2.- C. 49-54.
4. , ,Рукавишникова лактобактерий на рост Mycoplasma hominis in vitro// В Сб. «Современные направления в диагностике, лечении и профилактике заболеваний», СПб, 2004.- С. 337-341.
5. , ЕрмоленкоЕ. И., , Влияние лактобактерий на рост Mycoplasma hominis в системе in vitro// TERRA MEDICA nova.-2004.- № 3 (5).- C.1-5.
6. , , Суворов антимикробного действия пробиотических энтерококков in vivo// Российский ветеринарный журнал (мелкие домашние и дикие животные), 2006.- №3.- С. 15-18.
7. , , Суворов инфекции урогенитального тракта в условиях стационара и поликлиники//Амбулаторная хирургия, 2006. - №3(23).- C. 34-38.
8. , , Исаков пребиотика при антибиотикотерапии больных с урогенитальным хламидиозом// Лечащий врач, 2006. - №9.-С. 86-87.
9. , , Тотолян пробиотических энтерококков на рост Streptococcus agalactiae // Журн. микробиол., 2007.-№5. - С.73-77.
10. , , Кузьмин препараты для лечения послеродовых эндометритов крупного рогатого скота// Ветеринарная практика, 2007.- №2.- С. 56-59.
11. , Рыбальченко действие лактобацилл// Медицина XXI век. 2007- № 5 (6)- С. 41-48.
12. Yermolenko E., Suvorov A., Chernysh A., Aleshina G., Cvetkova E., Martsinkovskaya I., Totolyan A. Antagonistic activity of Enterococcus faecium L3 against different groups of pathogenic streptococci // Streptococci – New Insight into an Old Enemy. May 2006. - P. 363-366.
13. , , Суворов активность энтерококков в отношении Streptococcus pyogenes// Вестник Санкт-Петерб. ун-та. Сер. 11, Медицина. 2008. – Вып. 1.- С.18-25.
14. , , Бондаренко идентификация как метод для определения патогенных и симбионтных штаммов энтерококков// Журн. микробиол. 2008.- № 5.- С.83-87.
15. К, , Исаков пребиотики как средство профилактики дисбиоза кишечника при длительной антибиотикотерапии // Вестн. С.-Петерб. ун-та. Сер. 11, Медицина 2008. - Вып. 4.- C. 109-118.
16. , Суворов А. Е., , Климович по набору генов патогенноcти производственных и выделенных от больных штаммов энтерококков//Научно-практический журнал БИОпрепараты. Профилактика, диагностика, лечение, 2008.- №4 (32).- С. 3-6.
17. Заявка на изобретение № от 15.08.08 штамм Lactobacillus fermentum Z, содержащий в геноме гены, обеспечивающие выделение лактоцина F.
18. , , Громова пробиотических энтерококков на функциональные характеристики кишечника крыс при дисбиозе, индуцированном антибиотиками // Вестн. С.-Петерб. ун-та. Сер.11, Медицина. 2009.Вып. 1.- C.157-167.
19. , , Угнетение репродукции вирусов простого герпеса пробиотическими бактериями в системе in vitro// Вопросы вирусологии, 2009.- № 6.- С. 34-39.
20. Ермоленко энтерококков: проблемы и перспективы. Обзор литературы//Вестн. С.-Петерб. ун-та. Сер. 11, Медицина. 2009. Вып. 3.- С. 184-201.
21. , , Сундукова экспериментального и доклинического изучения аутопробиотиков// Материалы Всероссийской конференции гастроэнтерологов юго-западного региона, 2009, Ростов - на - Дону, .25-27 апреля.- С. 83-87.
22. , , Ермоленко влияния пробиотических эшерихий и энтерококков на иммунную систему здоровых крыс//Ученые записки Санкт-Петербургского государственного медицинского университета имени академика , 2009, Вып. 16.- № 2.- С. 54-58.
23. , , Суворов. активность пробиотиков // Росс. журн. кож. и вен. бол. Прил.: Герпес., 2009. - №2. - С. 20-24.
Главы в книгах:
1. Ермоленко Г. Е., , Чуева особенности микробиоценоза влагалища у практически здоровых женщин в кн. «Клеточные сообщества».- СПб, Изд-во СПбГМУ, 1998.- С.130-148.
2. Ермоленко для изучения антимикробной активности пробиотиков// Глава в монографии «Модели для изучения антимикробной активности пробиотиков» в книге «Дисбиоз кишечника» под ред. , - СПб, Изд-во «СпецЛит», 2007. - С. 144-148.
3. , , Ермоленко и папилломавирусные инфекция Глава в книге «Инфекции передаваемые половым путем» под редакцией , , Изд-во Медия Сфера, Москва, 2007.- С. 448-514.
Методические рекомендации:
1. , , Ещенко препаратов для лечения и профилактики эндометритов у коров, обусловленных условно-патогенной микрофлорой // Методические рекомендации.- Утверждены методическим советом ФГОУ ВПО «Санкт-Петербургская Государственная академия ветеринарной медицины», протокол №2 от 5 марта 2007, СПб, Изд-во СПбГАВМ, 2007. - C. 10.
2. , , Семенов инфекции. Диагностика и лечение.- Сакнкт-Петербург - Великий Новгород, 200с.
3. , , Богданова пробиотика лактофлор в клинической практике// Рекомендации для врачей.- Санкт-Петербург.- 200с.
|
Из за большого объема этот материал размещен на нескольких страницах:
1 2 3 |



