Основные формулы расчета процессов приведены в табл.1.
Таблица 1
Наименова-ние процесса | Соотноше-ние между параметра-ми | Формула работы L | Количество теплоты Q | График процессов |
Pυ - диаграмма | TS - диаграмма | |||
Изохорный процесс υ = const |
| L = 0 | Qυ = ΔU Qυ = cυ⋅ΔT | |
Изобарный процесс P = const |
| L = PΔV | Q= cpΔT | |
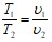
Изотермичес-кий процесс T = const | P1υ1 = P2υ2 |
| Q=L | |
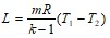
Адиабатный процесс Pυk = const | P1υ1k = P2υ2k |
| Q = 0 Q= L+ΔU |
Изменение внутренней энергии Дu можно найти из 1-го закона термодинамики
![]()
применительно к соответствующему процессу.
Примеры решения задач
Задача №1. Сернистый газ (SO2) объемом V1=20 м3 сжимают при постоянной температуре Т=317 К от давления р1=3 кПа до давления р2=300 кПа.
Определить: а) параметры состояния в начале и конце процесса;
б) работу, затраченную на сжатие;
в) количество тепла в процессе;
г) изменение внутренней энергии.
Построить процесс в pV-диаграмме.
Решение:
Конечный объем газа находим из соотношения между параметрами в изотермическом процессе (T=const)![]()
м3.
![]()
Дж/(кг·К).
![]()
кг.
![]()
Дж.
Т. к. процесс изотермический, изменение внутренней энергии ДU=0, и по первому з-ну термодинамики Q=L=-277077.4 Дж.
6) по известным значениям р1, р2, V1 и V2 строим в масштабе процесс в pV-диаграмме.
Задача №2. В баллоне объемом V=0,5 м3 находится кислород (О2) под давлением р1=10 кПа и температуре t1=17 °С. Газ нагревают при постоянном объеме до давления р2=20 кПа.
Определить: 1) сколько тепла сообщено газу;
2)до какой температуры нагрелся кислород;
3)работу, совершенную газом;
4)изменение внутренней энергии.
Построить процесс в pV-диаграмме.
Решение:
Конечная температура газа в изохорном процессе определяется из соотношения параметровГазовая постоянная кислорода
![]()
Дж/(кг·К).
![]()
кг.
![]()
Т. к. кислород двухатомный газ (О2), то ![]()
кДж/(кг·К).
Количество тепла в процессе
![]()
кДж.
В изохорном процессе работа сжатия L=0, т. к. объем постоянный. Отсюда по 1-му з-ну термодинамики
Задача №3. В цилиндре с поршнем, под постоянным давлением 4 бар, находится воздух при температуре t1=500 °C. От воздуха отводится тепло таким образом, что в конце процесса устанавливается температура t2=100 °C. Объем цилиндра, в котором находится воздух, 200 л.
Определить количество отнятого тепла, конечный объем, изменение внутренней энергии и совершенную над газом работу сжатия.
Решение:
выполняем перевод внесистемных единиц измерения в единицы системы СИ: р=4 бар=4·105 Па; V1=200 л=0,2 м3. Конечный объем в изобарном процессе определяем по з-ну Гей-Люссака:![]()
м3.
![]()
Дж/(кг·К).
![]()
кг.
![]()
Т. к. воздух двухатомный газ, то ![]()
=1,01 кДж/(кг·К).
![]()
кДж.
![]()
![]()
кДж.
Задача №4. m=10 кг азота, параметры которого р1=1,2 бар, t1=30 °С, сжимаются, причем объем уменьшается в 2.5 раза.
Найти начальные и конечные параметры, количество тепла в процессе, работу и изменение внутренней энергии, если сжатие происходит по адиабате с показателем адиабаты k=1.4.
Построить процессы сжатия в pV-диаграмме.
Решение:
Расчет адиабатного процесса. Выполняем перевод внесистемных единиц измерения в единицы системы СИ: р=1.2 бар=1,2·105 Па; Т1=30+273=303 К. Газовая постоянная азота![]()
Дж/(кг·К).
![]()
м3.
![]()
м3
![]()
Па.
Конечная температура определяется из уравнения состояния для точки 2 окончания процесса
![]()
.
Количество тепла в процессе Q=0, т. к. процесс адиабатный. Работа сжатия
![]()
Дж.
![]()
Дж.
Практическая работа № 3
РАСЧЁТ ЦИКЛА ПОРШНЕВОГО ДВС
1. Цель работы
Приобретение практических навыков расчета цикла поршневого двигателя внутреннего сгорания.
2. Требования к отчёту
5.1. Номер работы, тема, цель.
5.2. Записать условие задания.
5.3. Вычисления начинать с записи расчётных формул в общем виде.
5.4. Размеры величин указывать в системе СИ.
|
Из за большого объема этот материал размещен на нескольких страницах:
1 2 3 4 |



