Федеральное агентство по образованию
Государственное образовательное учреждение
высшего профессионального образования
«Сибирский государственный индустриальный университет»
Кафедра теплофизики и промышленной экологии
Семестровая работа
по курсу: Проектирование, строительство и ремонт промышленных печей
Вариант № 17
Выполнил: ст. гр. МТ-051
Проверил: к. т.н., доцент
Новокузнецк
2009
Содержание
1. Расчет теплоизоляционного слоя 3
Контрольные вопросы 7
2. Определение состава обычных и огнеупорных бетонов на цементных вяжущих 16
2.1 Расчет огнеупорного бетона заданной марки 16
Контрольные вопросы 20
2.2 Расчет строительного бетона заданной марки 23
Контрольные вопросы 24
3. Определение количества кирпичей и состава раствора для кладки арочных сводов 25
3.1 Расчет количества прямых и клиновидных кирпичей для кладки арочного свода 25
3.2 Расчет состава воздушно-твердеющего раствора 27
Контрольные вопросы 30
Список используемой литературы 35
1. Расчет теплоизоляционного слоя
Элемент стены печи выполнен из двух слоев: огнеупорного и теплоизоляционного. При реконструкции печи предусматривается замена существующего теплоизоляционного слоя другим теплоизоляционным материалом.
Определить, какой толщины должен быть теплоизоляционный слой, чтобы потери тепла через 1 м2 кладки стены не превышали тепловые потери через футеровку печи до реконструкции.
Данные, необходимые для расчета:
- Внутренний слой кладки – ШЛ-0,9; Наружный слой кладки:
до реконструкции – П-250;
после реконструкции – Д-500;
- Толщина слоя кладки, мм:
внутренний слой – 348 мм;
наружный слой – 116 мм;
- Температура, °С:
t1 – 1300°С;
tо – 10°С.
Элемент стены нагревательной печи выполнен из двух слоев: внутренний слой из шамотного легковеса толщиной Sш=0,348 м, наружный слой из перлита толщиной Sк=0,116 м. Температура внутренней поверхности кладки t1=1300°С, температура окружающей среды tо=10°С. Определим потерю тепла через 1 м2 кладки стены.
При реконструкции печи предусматривается замена наружного слоя кладки диатомитовым теплоизоляционным материалом.
Вычислить, какой толщины должен быть теплоизоляционный слой, чтобы потери тепла через 1 м2 кладки не превышали тепловые потери через футеровку печи до реконструкции.
Согласно [1, таблица 1], теплопроводность шамотного кирпича
;
теплопроводность перлитового кирпича
.
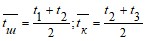
Обозначим температуру на границе раздела слоев как t2.
Тогда
.
Принимаем в нулевом приближении температуру наружной поверхности стенки
.
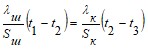
Поскольку режим передачи тепла стационарный, то плотности тепловых потоков через шамотную и перлитовую кладки одинаковые, т. е.
,
или с учетом зависимости коэффициента теплопроводности от температуры

.
Решая это квадратное уравнение, получим:
.
Теперь
,
,
,
.
Находим коэффициент теплоотдачи конвекцией от наружной поверхности стенки к окружающей среде:
![]()
Плотность теплового потока
.
Проверим принятое значение температуры наружной стенки
,
откуда
.
Поскольку полученное значение близко к принятому, перерасчета не производим.
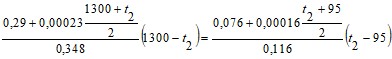
Согласно заданию, реконструкцией предусматривается замена наружного слоя кладки диатомитовым теплоизоляционным материалом. Определим, какая должна быть толщина теплоизоляционного слоя Sд, чтобы потери тепла через 1 м2 стены не превысили бы тепловых потерь до реконструкции, т. е.
.
Так как предельная допускаемая температура диатомитового кирпича составляет 900°С [1, таблица 4], принимаем значение t2 на 50°C меньше допускаемой температуры
.
Тогда
,
,
где
– принимаем в нулевом приближении
,
.
Толщину диатомитового слоя определим из уравнения
,
.
.
Проверяем принятое значение температуры наружной поверхности стенки
.
Поскольку полученное значение близко к принятому, т. е.
, перерасчета не производим.
Расчеты показали, что замена наружного слоя из перлитового кирпича диатомитовым кирпичом приводит к снижению потерь тепла теплопроводностью на 6%.
Контрольные вопросы
1. К естественным общестроительным материалам относятся бутовый камень, щебень, гравий и песок; к искусственным – глиняный (красный и силикатный) кирпич.
Бутовый камень представляет собой крупные куски (0,1 – 0,02 м3) гранита, песчаника или известняка, используемые для кладки фундамента и в качестве заполнителя в бутобетоне. В печестроении предпочтение отдают песчаниковым камням, которые способны выдерживать температуру до 600°С, в то время как известковые камни могут использоваться только до 250°С. Объемный вес бутового камня 1400–1600 кг/м3.
Щебень и гравий применяют в качестве заполнителя в бетонных смесях. Щебень получают путем дробления горных пород до кусков размером 10–80 мм. Гравий – природный камень, который по происхождению делится на горный, речной и морской, а по крупности на особо мелкий (5–10 мм), мелкий (5–20 мм), средний (20–40 мм) и крупный (40–150 мм).
Песок – продукт разрушения горных пород. Размер зерен песка от 0,15 до 5 мм, форма зерен угловатая, поверхность неровная. Речные и морские пески имеют округлую форму и ровную поверхность, что ухудшает их способность к сцеплению с вяжущей массой. Песок употребляют как заполнитель при изготовлении бетона, строительных растворов и кирпича.
Глиняный (красный) кирпич изготовляют из смеси неогнеупорных красных глин и песка. Его применяют для строительства фундаментов, боровов, сушил, стволов дымовых труб и для наружной изоляции некоторых печей. Предельная температура применения кирпича 500–650°С. Его средний коэффициент теплопроводности 0,8 Вт/(м∙К), а плотность 1800 кг/м3. Хороший красный кирпич должен иметь правильную форму размерами 250×120×65 мм. Кирпич бывает нескольких марок: 150, 100 и 75 в зависимости от механической прочности на сжатие. Марка означает механическую прочность, например: кирпич марки 100 должен иметь предел прочности на сжатие не менее 100 кг/см2.
Хорошо обожженный кирпич имеет темно-красный цвет и от удара молотком издает чистый звук. При обжиге возможны случаи, когда одни кирпичи пережигаются, а другие получают недостаточный обжиг.
Пережженный кирпич (железняк) – темного цвета, очень плотен, иногда остеклован. Железняк плохо связывается с раствором, поэтому применяется главным образом для кладки фундаментов. Кирпич – недожог имеет светло-красный или сероватый цвет, меньшую прочность, большое водопоглощение, при ударе издает глухой звук. В ответственных частях печей и для кладки дымовых труб кирпич – недожог не применяется.
Силикатный кирпич белого или светло-серого цвета изготовляют из смеси песка с известью. Размеры и марка силикатного кирпича те же, что и красного. Силикатный кирпич разрушается под действием высокой температуры и влажности. Поэтому он не применяется в подземных частях сооружений и в тех местах, где он может подвергнуться действию пара и температуры выше 250°С.
Клинкерный кирпич, изготовленный из тугоплавких глин, применяют для футеровки боровов и дымовых труб, работающих при температуре до 900°С.
Среди строительных материалов особое место занимает кислотоупорный кирпич. Его применяют для футеровки различных химических аппаратов, а также дымовых труб, через которые удаляются газы, содержащие пары кислот.
|
Из за большого объема этот материал размещен на нескольких страницах:
1 2 3 4 5 |



