9. Для промышленных печей применяют различные изделия из металлов. На каркасы и кожухи печей идет прокатная сталь в виде листа, балок, швеллеров, уголков, полос, труб круглого сечения (рис.1), а также сталь в виде разного рода поковок, изготовляемых кузнечным способом, и металлические изделия (метизы). К метизам относятся болты, гайки, заклепки, муфты, шурупы и т. п.

1– балка; 2– швеллер; 3– уголок; 4– полоса; 5– труба; 6– круглая сталь; 7– лист
Рисунок 1 – Прокатный металл
2. Определение состава обычных и огнеупорных бетонов на цементных вяжущих
2.1 Расчет огнеупорного бетона заданной марки
Подобрать состав огнеупорного бетона на глиноземистом цементе с хромитовым заполнителем марки 160 для изготовления элементов средней массивности.
Определяем [2, таблица 2], что в качестве заполнителей для таких бетонов применяют хромитовый песок и хромитовый щебень.
Принимаем q=3 и r=0,55. параметры Ц и В определяем способом пробных замесов. Объемный вес хромитового щебня
. Подсчитываем по формулам (1) – (3) количество материалов, необходимых для пробных замесов объемом V=0,005 м3 (на три кубика с запасом) с примерным расходом глиноземистого цемента 260, 330 и 400 кг на 1 м3 бетона.
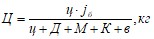
Количество цемента, кг:
(1)
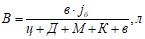
Количество крупного заполнителя, кг:
(2)
Количество мелкого заполнителя, кг:
(3)
Здесь:
Ц – расход цемента в кг на 1 м3 бетонной смеси;
V – объем пробного замеса, м3;
jк – объемный вес крупного заполнителя, кг/м3.
Замес 1: (Ц=260 кг)
Глиноземистого цемента: ![]()
Хромитового щебня: ![]()
Хромитового песка: ![]()
Замес 2: (Ц=330 кг)
Глиноземистого цемента: ![]()
Хромитового щебня: ![]()
Хромитового песка: ![]()
Замес 3: (Ц=400 кг)
Глиноземистого цемента: ![]()
Хромитового щебня: ![]()
Хромитового песка: ![]()
Расход воды берется из условия получения осадки стандартного конуса 2 см.
Из каждого замеса изготовляются три куба 100×100×100 мм, при этом одновременно определяются объемные веса бетонных смесей (jб).
Зная jб определяем по формулам (4) и (5) действительный расход цемента и воды (на 1 м3 бетона).
(4)
(5)
где в – количество воды в литрах, затраченной на замес, объемом V.
Замес 1: (jб=2800 кг/м3, в=2 л)
![]()
![]()
Замес 2: (jб=2900 кг/м3, в=2,1 л)
![]()
![]()
Замес 3: (jб=3100 кг/м3, в=2,2 л)
![]()
![]()
Средние марки образцов, изготовленных из 1, 2 и 3го замесов, равные 145, 187.2 и 238 кг/см2, наносим на график (рисунок 2) и по полученным точкам проводим прямую, выражающую зависимость прочности бетона от расхода цемента. По графику находим расход цемента для бетона марки 160, Ц=235 кг/м3.


Рисунок 2 – прочность бетона в зависимости от расхода цемента
Расход воды находим интерполяцией
.
По формулам (6) и (7) подсчитываем потребное количество на 1 м3 бетона хромитового песка и щебня (принимая jб=2850).
Количество мелкого заполнителя, кг
(6)
Количество крупного заполнителя, кг
(7)
![]()
![]()
Для неответственных конструкций состав бетона можно принимать по [2, таблица 2].
Принимаем бетон марки 160 на глиноземистом цементе, расход цемента 235 кг/м3, с хромитовым заполнителем: 1259,5 кг хромитового песка и 1030,5 кг хромитового щебня, максимальная допустимая температура элементов конструкции 1400°С, прочность при максимально допустимой температуре 160 кг/см2.
Контрольные вопросы
1. Огнеупорный бетон имеет ряд преимуществ перед огнеупорным кирпичом. Огнеупорный бетон не требует обжига в печах, в то время как огнеупорный кирпич должен до своего употребления в кладку подвергнуться обжигу при высокой температуре, что удорожает его стоимость. Из огнеупорной бетонной массы можно легко выполнить самые сложные по своей форме части печи, вследствие чего экономится дорогостоящий фасонный огнеупорный кирпич и упрощается кладка. Сборка печей и крупных огнеупорных блоков выполняется быстрее и дешевле, чем из отдельных кирпичей и, кроме того, кладка будет иметь меньше швов, от чего она становится более стойкой, чем кладка из кирпича.
2. Огнеупорные бетоны готовят из смесей, состоящих из вяжущего вещества и заполнителя.
Вяжущие вещества разделяют на четыре группы:
- гидравлические; коагуляционные; химические; органические.
К гидравлическим вяжущим относят портландцемент, глиноземистый, высокоглинистый и периклазовый цементы. В качестве коагуляционных вяжущих применяют жидкое стекло, в качестве химических – фосфатные связки. Бакелит, смолы, пек и т. п. являются органическими вяжущими.
Огнеупорность бетона зависит от применяемого заполнителя. Заполнители представляют собой природные либо искусственные материалы из боя или лома огнеупорных изделий и неформованных огнеупоров определенного зернового состава.
3. Обожженный огнеупорный бетон в холодном состоянии поглощает из воздуха влагу, которая вызывает вторичное гашение свободной окиси кальция и превращение ее в гидрат окиси кальция Ca(ОН)2.
При этом объем частиц извести сильно увеличивается, в бетоне появляются трещины и резко уменьшается его прочность.
Для противодействия этому явлению в огнеупорный бетон вводятся тонкомолотые добавки (микронаполнители). Значение этих добавок в том, что они при высокой температуре вступают в химическое взаимодействие с окисью кальция, устраняют возможность ее вторичного гашения и способствуют сохранению прочности и структуры бетонного камня при нагревании и после охлаждения.
4. Таблица 1 – Области применения некоторых огнеупоров
Бетон | Заполнитель | Основные области применения |
Шамотный | Шамот | Борова печей, крышки люков и заслонок |
Высокоглиноземистый | Муллито-кремнеземистый шамот | Участки топок паровых котлов, крышки нагревательных колодцев, горелочные камни |
Глинозем | Ответственные узлы нагревательных и плавильных печей, подвергающиеся воздействию высоких температур | |
Огнеупорный теплоизоляционный | Пористый шамот | Теплоизоляционный слой стен печи |
Теплоизоляционный | Вермикулит, минеральные волокна | Теплоизоляционный слой стен |
5. Огнеупорные бетоны готовятся в бетономешалках. Технология их изготовления следующая:
- смешивание цемента, заполнителя и воды (приготовление сырогобетона); заполнение сырым бетоном деревянных или металлическихформ; выдержка для завершения процесса схватывания и затвердеванияв течение 5 ч 14 суток; сушка при температуре 110°С; обжиг при температуре 1300 ч 1500 °С.
При приготовлении огнеупорного бетона в барабан бетономешалки сначала загружают цемент соответствующей марки, заполнитель, наливают 0,8 количества воды, потребной на замес и перемешивают в течение 2 минут; затем доливают остальную часть воды и перемешивают бетонную смесь до полной однородности, но не менее 3 минут.
При приготовлении бетона на жидком стекле тонкомолотая добавка заранее тщательно смешивается с просеянным через сито с отверстиями 0,6 мм кремнефтористым натрием. В бетономешалку загружают 0,8 потребного на замес количества растворимого стекла, затем смесь тонкомолотой добавки с кремнефтористым натрием, добавляют мелкий и крупный заполнители и перемешивают их в течение 2 минут; затем в мешалку добавляют остальную часть растворимого стекла и перемешивают бетонную смесь до полной однородности, но не менее 3 минут.
|
Из за большого объема этот материал размещен на нескольких страницах:
1 2 3 4 5 |



