Приложение 4
к приказу Министра по инвестициям и развитию Республики Казахстан от «___» _________ 2016 года № ____
Методика расчета тарифов на услуги аэронавигации, отнесенные к сфере естественных монополий, с учетом ведения раздельного учета доходов, затрат и задействованных активов
Глава 1. Общие положения
1. Настоящая Методика расчета тарифов на услуги аэронавигации, отнесенные к сфере естественных монополий, с учетом ведения раздельного учета доходов, затрат и задействованных активов (далее – Методика), разработана в соответствии с подпунктом 41-67) пункта 1 статьи 14,
пунктом 2 статьи 16-7 Закона Республики Казахстан от 15 июля 2010 года
«Об использовании воздушного пространства Республики Казахстан и деятельности авиации», Законом Республики Казахстан от 9 июля 1998 года
«О естественных монополиях и регулируемых рынках» и Конвенцией о международной гражданской авиации, ратифицированной постановлением Верховного Совета Республики Казахстан от 2 июля 1992 года.
2. Настоящая Методика предназначена для определения механизма расчета тарифов на услуги аэронавигации, отнесенные к сфере естественных монополий, с учетом ведения раздельного учета доходов, затрат и задействованных активов на основе данных раздельного учета доходов, затрат и задействованных активов и методических рекомендаций Международной организации гражданской авиации 9161-АТ/724 – Руководство по экономическим аспектам аэронавигационного обслуживания.
3. Настоящая Методика направлена на формирование обоснованного уровня тарифов (цен, ставок сборов) и подходов к тарифообразованию на регулируемые услуги субъектов естественных монополий в сфере аэронавигации на основе баланса интересов между потребителями регулируемых услуг аэронавигации и субъектов естественных монополий, оказывающих эти услуги.
4. Основополагающими принципами настоящей Методики являются:
1) возмещение экономически обоснованных затрат на оказание регулируемых услуг аэронавигации па основе ведения субъектов естественных монополий раздельного учета доходов, затрат и задействованных активов;
2) обеспечение прозрачности расчета тарифов (цен, ставок сборов) субъектов естественных монополий на регулируемые услуги аэронавигации;
3) получения субъектов естественных монополий прибыли, обеспечивающей его эффективное функционирование по оказанию регулируемых услуг аэронавигации, а также совершенствование технологии аэронавигационного обслуживания.
5. Для целей настоящей Методики применяются следующие основные понятия:
1) услуги аэронавигации – организация воздушного движения, система связи, навигация и наблюдение, метеорологическое обеспечение аэронавигации, поиск и спасание, служба аэронавигационной информации;
2) отчетный период - законченный финансовый год, предшествующий дате подачи заявки на изменение тарифов (цен, ставок сборов) на регулируемые услуги (товары, работы) субъекта естественной монополии;
3) стоимость капитала - величина, характеризующая ставку вознаграждения на заемные и собственные средства, отражающая инвестиционные и иные риски, связанные с осуществлением деятельности, отнесенной к сферам естественной монополии;
4) заемный капитал - суммарная стоимость долгосрочных займов банков и организаций, осуществляющих отдельные виды банковских операций, и прочих займов, имеющихся на балансе субъекта естественной монополии на конец отчетного периода, за исключением займов, связанных с пополнением оборотных средств;
5) регулируемая база задействованных активов (далее - РБЗА) - суммарная стоимость долгосрочных активов (основных средств и нематериальных активов) и чистого оборотного капитала (рассчитываемого как разность между текущими активами и текущими обязательствами) на конец отчетного периода, находящихся в собственности или на иных законных основаниях у субъекта естественной монополии и используемых при производстве и (или) предоставлении регулируемых услуг аэронавигации;
6) ставка прибыли на РБЗА – норма операционной прибыли, соответствующая стоимости капитала субъекта естественной монополии, оказывающего регулируемые услуги аэронавигации;
7) ортодромия – линия кратчайшего расстояния между двумя точками на поверхности земного шара, представляющая собой дугу большого круга и пересекающая меридианы под различными углами.
Иные понятия и термины, используемые в Методике, применяются в соответствии с законодательством Республики Казахстан.
6. Настоящая Методика предназначена для расчета тарифов (цен, ставок сборов) на следующие регулируемые услуги аэронавигации:
1) аэронавигационное обслуживание воздушных судов в воздушном пространстве Республики Казахстан, за исключением аэронавигационного обслуживания воздушных судов, осуществляющих международные полеты (далее – регулируемые услуги аэронавигации в воздушном пространстве);
2) аэронавигационное обслуживание воздушных судов в районе аэродрома, за исключением аэронавигационного обслуживания воздушных судов, осуществляющих международные полеты (далее – регулируемые услуги аэронавигации в районе аэродрома).
7. Тарифы (цены, ставки сборов) на регулируемые услуги аэронавигации дифференцируются в зависимости от максимальной взлетной массы воздушного судна и вида осуществляемой перевозки (регулярные или нерегулярные).
8. Расчет тарифов (цен, ставок сборов) на регулируемые услуги аэронавигации основан на прогнозируемом тарифном доходе и объеме оказания регулируемых услуг аэронавигации на расчетный период.
В качестве расчетного периода используется финансовый год, следующий за датой подачи заявки на изменение тарифов (цен, ставок сборов) на данные услуги.
Глава 2. Основы расчета тарифов на услуги аэронавигации, отнесенные к сфере естественных монополий, с учетом ведения раздельного учета доходов, затрат и задействованных активов
9. Услуги аэронавигации включают пять основных компонентов:
1) организация воздушного движения – комплекс бортовых и наземных функций, необходимых для обеспечения безопасного движения воздушных судов на всех этапах полета, включая обслуживание воздушного движения (далее – ОВД), организацию воздушного пространства и организацию потоков воздушного движения.
в себе управление воздушным движением (далее – УВД), полетно-информационное обслуживание и аварийное оповещение.
УВД включает в себя: аэродромное диспетчерское обслуживание, диспетчерское обслуживание подхода, районное диспетчерское обслуживание;
2) радиотехническое обеспечение полетов (состоит из службы авиационной электросвязи, а также службы авиационной радиолокации и радионавигации);
3) обеспечение метеорологической информацией;
4) поисково-спасательное обеспечение;
5) обеспечение аэронавигационной информацией.
10. При расчете тарифа (цены, ставки сбора) на регулируемые услуги аэронавигации в воздушном пространстве учитываются:
1) следующие виды работ:
организация воздушного движения;
планирование и координация использования воздушного пространства;
предоставление средств радиолокации, радионавигации и связи;
аварийное оповещение и координация полетов при проведении поиска и спасания;
передача экипажам оперативной аэронавигационной информации и изменений в аэронавигационной обстановке;
передача экипажам оперативной метеорологической информации;
обеспечение функционирования органов обслуживания воздушного движения на запасных аэродромах;
2) дальность полета воздушного судна;
3) максимальная взлетная масса воздушного судна.
11. Дальность полета измеряется по ортодромии маршрута полета воздушного судна, которое уменьшается на 20 километров при каждом взлете и каждой посадке воздушного судна, и последняя цифра дальности полета в километрах округляется следующим образом:
5 километров и менее округляется до нуля;
более 5 километров округляется до 10 километров.
12. Для учета веса воздушных судов применяется шкала максимальной взлетной массы воздушных судов, состоящая из 9 весовых групп:
(тонн)
1 | 2 | 3 | 4 | 5 | 6 | 7 | 8 | 9 |
<7 |
|
|
|
|
|
|
|
|
13. Тарифы (цены, ставки сборов) на регулируемые услуги аэронавигации в воздушном пространстве рассчитываются на 100 километров расстояния, рассчитанного по ортодромии маршрута полета воздушного судна на каждую весовую группу воздушного судна согласно данной шкале с помощью коэффициентов приведения.
14. При расчете тарифов (цен, ставок сборов) на регулируемые услуги аэронавигации в районе аэродрома учитываются следующие виды работ:
организация воздушного движения при посадке на аэродром, на этапах снижения для посадки, захода на посадку, посадки и руления до места стоянки;
организация воздушного движения при вылете с аэродрома, на этапах руления с места стоянки, взлета и набора высоты до выхода на воздушную трассу;
планирование и координация использования воздушного пространства;
предоставление средств радиолокации, радионавигации и связи;
аварийное оповещение и координация полетов при проведении поиска и спасания;
предоставление экипажам оперативной аэронавигационной информации и изменений в аэронавигационной обстановке;
предоставление экипажам метеорологической информации.
15. Тариф (цена, ставка сбора) на регулируемые услуги аэронавигации в районе аэродрома рассчитывается на одну тонну взлетной массы воздушного судна.
Размер платы определяется умножением тарифа (цены, ставки сбора) на регулируемые услуги аэронавигации в районе аэродрома на максимальную взлетную массу воздушного судна согласно представленным документам или справочной информации.
Последние две цифры массы воздушного судна в кг округляются:
менее 50 килограмм в меньшую сторону, 50 и более килограмм в большую сторону.
16. Состав и статьи затрат, в соответствии с которыми формируется себестоимость регулируемых услуг аэронавигации, оказываемых субъектов естественных монополий, определяются в соответствии с законодательством Республики Казахстан о естественных монополиях.
17. В случаях, когда отдельное средство или работа имеет двойное назначение, связанные с ними расходы распределяются на соответствующие тарифы (цены, ставки сборов) на основе ведения субъектов естественных монополий раздельного учета затрат.
Глава 3. Механизм расчета тарифов на услуги аэронавигации, отнесенные к сфере естественных монополий, с учетом ведения раздельного учета доходов, затрат и задействованных активов в воздушном пространстве
18. Прогнозируемый тарифный доход субъектов естественных монополий от оказания регулируемых услуг аэронавигации в воздушном пространстве определяется по формуле:
ТДВП = ЗВП + ДУПВП,
где:
ТДВП – прогнозируемый тарифный доход субъектов естественных монополий от оказания регулируемых услуг аэронавигации в воздушном пространстве, тенге;
ЗВП – суммарные экономически обоснованные плановые затраты субъектов естественных монополий от оказания регулируемых услуг аэронавигации в воздушном пространстве, рассчитанные на плановый объем услуг, тенге;
ДУПВП – допустимый уровень прибыли от оказания регулируемых услуг аэронавигации в воздушном пространстве, тенге.
19. Суммарные экономически обоснованные плановые затраты от оказания регулируемых услуг аэронавигации в воздушном пространстве формируются па основе данных раздельного учета затрат.
20. Допустимый уровень прибыли на регулируемые услуги аэронавигации в воздушном пространстве определяется по формуле:
ДУПВП = РБЗАВП * СП/100,
где:
РБЗАВП – регулируемая база задействованных активов воздушном пространстве - суммарная стоимость долгосрочных активов (основных средств и нематериальных активов) и чистого оборотного капитала (рассчитываемого как разность между текущими активами и текущими обязательствами) на конец отчетного периода, находящихся в собственности или на иных законных основаниях у субъекта естественных монополий и используемых при производстве и (или) предоставлении регулируемых услуг аэронавигации;
CП – ставка прибыли на регулируемую базу задействованных активов субъектов естественных монополий, используемых на оказание данной услуги, рассчитывается в соответствии с пунктами 28-36 настоящей Методики.
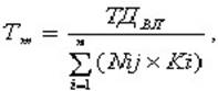
21. Тариф (цена, ставка сбора) на один приведенный самолето-километр определяется по формуле:

где:
Tm – тариф (цена, станка сбора) на один приведенный самолето-километр;
Кi – коэффициент приведения для i-гo типа воздушного судна, определяемый с учетом максимальной взлетной массы i-гo типа воздушного судна;
Nij – количество самолето-километров, выполненных i-м типом воздушного судна;
j – количество весовых групп воздушных судов.
22. Коэффициент приведения для i-гo типа воздушного судна определяется по формуле:

где:
Q maxi – максимальная взлетная масса i - го типа воздушного судна, тонн;
50 – минимальный базовый размер максимальной взлетной массы воздушного судна равный 50 тоннам.
23. Тариф (цена, ставка сбора) на регулируемые услуги аэронавигации в воздушном пространстве yа 100 самолето-километров для j-ой весовой группы определяется по формуле:
Tjm = Tm * Kj * 100,
где:
Tjm – тариф (цена, ставка сбора) для j-ой весовой группы весовой группы воздушных судов;
Kj – средневзвешенный коэффициент приведения для воздушных судов, входящих в j-ую весовую группу, определенный исходя из планируемого объема регулируемых услуг аэронавигации в воздушном пространстве в j-ой весовой группе, учтенной в общем объеме регулируемых услуг аэронавигации в воздушном пространстве.
Глава 4. Механизм тарифов на услуги аэронавигации, отнесенные к сфере естественных монополий, с учетом ведения раздельного учета доходов, затрат и задействованных активов в районе аэродрома
24. Прогнозируемый тарифный доход субъектов естественных монополий от оказания регулируемых услуг аэронавигации в районе аэродромов определяется по формуле:
ТДра = Зра + ДУПра,
где:
ТДра – прогнозируемый тарифный доход субъектов естественных монополий от оказания регулируемых услуг аэронавигации в районе аэродромов, тенге;
Зра – суммарные экономически обоснованные плановые затраты субъектов естественных монополий от оказания регулируемых услуг аэронавигации в районе аэродромов, рассчитанные на плановый объем услуг, тенге;
ДУПра – допустимый уровень прибыли от оказания регулируемых услуг аэронавигации в районе аэродромов, тенге.
25. Суммарные экономически обоснованные плановые затраты субъектов естественных монополий от оказания регулируемых услуг аэронавигации в районе аэродромов формируются па основе данных раздельного учета затрат.
26. Допустимый уровень прибыли от оказания регулируемых услуг аэронавигации в районе аэродромов определяется по формуле:
ДУПра = РБЗАра * СП/100,
где:
РБЗАра – регулируемая база задействованных активов субъектов естественных монополий на данную услугу;
CП – ставка прибыли на регулируемую базу задействованных активов субъектов естественных монополий, используемых на оказание данной услуги, рассчитывается в соответствии с пунктами 28-36 настоящей Методики.
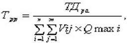
27. Тариф (цена, ставка сбора) на регулируемые услуги аэронавигации в районе аэродромов Тра на один взлет или одну посадку определяется по формуле:

где:
Qmax i – максимальная взлетная масса воздушных судов, тонн;
Vjj – количество самолето-вылетов, выполненных i-м типом воздушного судна.
Параграф 1. Расчет ставки прибыли на регулируемую базу задействованных активов тарифов на услуги аэронавигации, отнесенные к сфере естественных монополий, с учетом ведения раздельного учета доходов, затрат и задействованных активов
28. Ставка прибыли на РБЗА, используемых при оказании Субъектом регулируемых услуг аэронавигации, определяется методом средневзвешенной стоимости капитала:
r e. W e + r d . W d
СП = -------------------. k ab, где:
W e + W d
d - ставка прибыли;
W e - собственный капитал, тенге;
W d - заемный капитал, тенге;
r e - стоимость собственного капитала;
r d - стоимость заемного капитала;
K ab - коэффициент, учитывающий уровень норматива отчисления части чистого дохода республиканских государственных предприятий, устанавливаемый органом государственного управления по согласованию с Министерством финансов Республики Казахстан.
29. Стоимость собственного капитала Субъекта, оказывающего регулируемые услуги аэронавигации, определяется суммированием премий за существующие риски для данного вида деятельности по формуле:
r e = r f + rs,
где:
r f - безрисковая ставка;
rs - премия за риски, характерные для сферы аэронавигации.
30. Безрисковая ставка принимается равной уровню официальной ставки рефинансирования Национального банка Республики Казахстан.
31. Коэффициент, учитывающий норматив отчисления части чистого дохода республиканских государственных предприятий, устанавливаемый органом государственного управления по согласованию с Министерством финансов Республики Казахстан, рассчитывается по формуле:
K ab =1/(-а) --------, где:
а - норматив отчисления части чистого дохода республиканских государственных предприятий, устанавливаемый органом государственного управления по согласованию с Министерством финансов Республики Казахстан.
32. Основными факторами рисков, связанных с вероятностью потери доходов от оказания регулируемых услуг аэронавигации, характерные для сферы аэронавигации, являются:
1) состояние развития инфраструктуры отрасли авиации Республики Казахстан;
2) общемировые тенденции развития и текущее состояние мирового рынка авиаперевозок;
3) состояние задействованных активов.
33. Оценку рисков, характерных для сферы аэронавигации, определение итогового уровня рисков и размера премий за итоговый уровень рисков осуществляет уполномоченный орган в сфере гражданской авиации согласно алгоритмам, приведенным в разделах 6 и 7 настоящей Методики.
34. Оценка стоимости заемных средств производится методом предварительной поэлементной и последующей обобщающей оценки в виде средневзвешенной величины по формуле:
r d = r dk. W dk + r do. (1 - W dk ),
где:
r dk - стоимость банковских и иных кредитов на конец последнего отчетного периода, %;
r do - величина выплачиваемого по облигации купона или номинальной процентной ставкой облигации, %;
W dk - удельный вес банковских и иных кредитов в заемном капитале Субъекта, оказывающего регулируемые услуги аэронавигации, за исключением кредитов на пополнение оборотных средств на конец отчетного периода.
35. Стоимость банковских кредитов равна процентной ставке кредита или при привлечении нескольких кредитов равна средневзвешенной стоимости данных кредитов, привлеченных и имеющихся на балансе Субъекта, оказывающего регулируемые услуги аэронавигации на конец отчетного периода, и определяется по формуле:

P i - процент, уплачиваемый кредитору по i - му кредиту;
n - количество кредитов;
W i - доля i - го кредита в общей сумме кредитов;
H - ставка налога на прибыль.
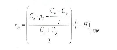
36. Величина выплачиваемого по облигации купона или номинальная процентная ставка облигации, выражаемая в процентах к ее номинальной стоимости, определяется по следующей формуле:

p 2 - ставка дисконта;
C H - номинальная стоимость облигаций;
C p - реализационная цена облигаций;
t - срок займа (количество лет).
Параграф 2. Алгоритм определения итогового уровня рисков, характерных для расчета тарифов на услуги аэронавигации, отнесенные к сфере естественных монополий, с учетом ведения раздельного учета доходов, затрат и задействованных активов
Факторы риска | Оценка риска | Итоговый уровень | ||
минимальный | средний | высокий | ||
Состояние развития инфраструктуры отрасли авиации Республики Казахстан | ||||
Общемировые тенденции развития и текущее состояние мирового рынка авиаперевозок | 1 | 2 | 3 | |
Состояние задействованных активов | 1 | 2 | 3 | |
Расчетный уровень риска (средний) | ||||
Параграф 3. Алгоритм оценки рисков, характерных для расчетов тарифов на услуги аэронавигации, отнесенные к сфере естественных монополий, с учетом ведения раздельного учета доходов, затрат и задействованных активов
Факторы риска | Оценка риска | Проявления |
Состояние развития инфраструктуры отрасли авиации Республики Казахстан | минимальный | Хорошие перспективы развития экономики, создание эффективной авиатранспортной системы государства, отвечающей международным требованиям и обеспечивающей удовлетворение нарастающей потребности государства и граждан в качественных авиационных услугах, тем самым значительное увеличение спроса со стороны пользователей воздушным пространством |
средний | Перспективы умеренного экономического роста, ожидание стабильного спроса на авиаперевозки без существенного его увеличения | |
высокий | Существование определенной вероятности спада, практически полное отсутствие перспектив увеличения объемов авиаперевозок в республике, также отток воздушного движения из воздушного пространства Казахстана из-за недостаточной модернизации радиотехнического и аэронавигационного оборудования и низкого уровня технического оснащения аэропортов | |
Общемировые тенденции развития и текущее состояние мирового рынка авиаперевозок | минимальный | Хорошие перспективы развития мировой экономики, интеграция в международное экономическое пространство, обеспечивающая контроль за соблюдением двусторонних соглашений о воздушном сообщении между Казахстаном и другими странами, тем самым максимальное использование воздушного пространства Республики Казахстан при выполнении полетов и рейсов с посадками |
средний | Перспективы умеренного мирового экономического роста, ожидание стабильного спроса на авиаперевозки без существенного его увеличения | |
высокий | Общий мировой спад в отрасли гражданской авиации, проявление террористических актов, природные катаклизмы и другие внешние факторы, неподдающихся влиянию со стороны государства и приводящих к снижению объема воздушного движения через воздушное пространство Республики Казахстан | |
Состояние задействованных активов | минимальный | Износ основных средств до 40 % |
средний | Износ основных средств от 40 % до 70 % | |
Высокий | Износ основных средств свыше 70 % |
Параграф 4. Диапазоны премий за итоговый уровень рисков для расчетов тарифов на услуги аэронавигации, отнесенные к сфере естественных монополий, с учетом ведения раздельного учета доходов, затрат и задействованных активов
Диапазоны оценки итогового риска | Итоговый уровень рисков | % премий |
Минимальный | 1 < 1,5 | 3 - 5 % |
Средний | > 1,5 и <2 | 6 - 9 % |
Выше среднего | > 2 и <3 | 10 - 13 % |
Высокий | =3 | 15 % |



