5.2.5 Прямые и кривые участки главного пути в плане радиусом 2000 м и менее, а также составные круговые кривые разных радиусов сопрягать посредством переходных кривых, длины которых принимать по таблице 5.2.1.
Таблица 5.2.1
Главные пути | Соединительные пути | |||||||||
Радиус кривой, м | Возвышение наружного рельса, мм | Длина переходной кривой, м | Скорость движения поездов, км/ч, при непогашенном ускорении, м/с2 | Радиус кривой, м | Возвышение наружного рельса, мм | Длина переходной кривой, м | Скорость движения поездов, км/ч, при непогашенном ускорении, м/с2 | |||
-0,4 | 0 | +0,4 | 0 | +0,7 | ||||||
3000 | - | - | - | - | 125 | 600 | - | 0 - 60 | - | 75 |
2000 | 10 | 20 - 30 | - | 40 | 110 | 500 | - | 0 - 60 | - | 65 |
1500 | 20 | 20 - 40 | - | 50 | 100 | 400 | - | 0 - 60 | - | 60 |
1200 | 40 | 20 - 50 | - | 60 | 100 | 350 | - | 0 - 60 | - | 55 |
1000 | 60 | 30 - 70 | - | 70 | 100 | 300 | - | 0 - 60 | - | 50 |
800 | 80 | 40 - 80 | 30 | 70 | 95 | 250 | - | 0 - 60 | - | 45 |
600 | 100 | 50 - 80 | 40 | 70 | 90 | 200 | 10 | 0 - 60 | 10 | 45 |
500 | 120 | 60 - 60 | 45 | 70 | 85 | 175 | 30 | 0 - 60 | 20 | 45 |
400 | 120 | 60 - 80 | 40 | 60 | 75 | 150 | 40 | 0 - 60 | 20 | 45 |
350 | 120 | 60 - 80 | 40 | 60 | 70 | 125 | 70 | 0 - 60 | 25 | 45 |
300 | 120 | 60 - 80 | 35 | 55 | 65 | 100 | 110 | 0 - 60 | 30 | 45 |
Примечания 1. Переходные кривые разбиваются по радиоидальной спирали. 2. На главных путях при возможности принимать большие значения переходных кривых. 3. В трудных условиях на главных путях длины переходных кривых и величины возвышения наружного рельса определять расчетом. | ||||||||||
5.2.6 На кривых участках пути, за исключением станционных путей в пределах постоянных служебных платформ, стрелочных переводов и съездов, путей в границах платформ станций, укладку наружного рельса предусматривать с возвышением над внутренним рельсом.
Возвышение наружного рельса в тоннелях и на закрытых наземных участках предусматривать путем поднятия наружного рельса на половину требуемой величины возвышения и опускания на ту же величину внутреннего рельса, на открытых наземных участках - путем поднятия наружного рельса на полную величину требуемого возвышения.
При расположении кривой частично в тоннеле и на открытом наземном участке возвышение наружного рельса устраивается так же, как на кривых, расположенных в тоннелях.
Отвод возвышения наружного рельса предусматривать на протяжении переходной кривой, а при отсутствии переходной кривой - на круговой кривой и на прямом участке, примыкающем к круговой кривой, по расчету.
Уклон отвода возвышения наружного рельса принимать не более 2 ‰ в сумме на обе рельсовые нити, для трудных условий - 3 ‰.
Величина возвышения наружного рельса приведена в таблице 5.2.1.
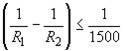
5.2.7 Смежные круговые кривые на главных путях допускается сопрягать без переходных кривых при условии

где R1 и R2 - радиусы первой и второй кривых.
На соединительных путях прямые и кривые участки допускается сопрягать без переходных кривых.
Длина круговой кривой с постоянной величиной возвышения наружного рельса должна быть не менее 15 м.
Длину прямого участка, не имеющего возвышения наружного рельса, принимать не менее, м:
а) на главных путях - 20, в трудных условиях - 15;
б) на соединительных путях - 15.
5.2.8 Габариты приближения строений и расстояния между осями смежных путей следует принимать по ГОСТ 23961.
5.2.9 Продольный уклон подземных и закрытых наземных участков линий принимать не менее 3‰. В обоснованных случаях допускается располагать отдельные участки линий на горизонтальной площадке. При этом продольный уклон дна водоотводного лотка принимать не менее 3‰.
Продольный уклон подземных и закрытых наземных участков линий принимать не более 40‰.
В трудных условиях на одном или двух смежных подземных и закрытых наземных участках общей протяженностью не более 1500 м, которые разделены станцией или перегоном протяженностью до 500 м, допускается принимать продольный уклон не более 45‰ с учетом уклона отвода возвышения наружного рельса при его наличии. При необходимости на этих участках скорость движения поездов ограничивать с применением технических средств.
Станционные пути, предназначенные для оборота и отстоя поездов, располагать на уклоне 3‰ с подъемом к станции.
Сопряжение двух элементов продольного профиля, направленных в разные стороны с уклонами, превышающими 5‰, выполнять элементом профиля с уклоном не более 5‰.
Прямолинейные смежные элементы продольного профиля при алгебраической разности значений уклонов, равной или превышающей 2‰, сопрягать в вертикальной плоскости круговыми кривыми радиусами: 3000 м - на главных путях у станции; 5000 м - на главных путях перегонов; 1500 м - на соединительных путях. Для трудных условий допускается уменьшать радиусы вертикальных кривых на главных путях у станций до 2000 м, на перегонах - до 3000м.
Длину элемента продольного профиля принимать не менее расчетной длины поезда на перспективу, за исключением нескольких смежных элементов, направленных в одну сторону с алгебраической разностью значений уклонов менее 2‰, сумма длин которых составляет не менее расчетной длины поезда на перспективу.
Длину прямой вставки между смежными кривыми принимать не менее 50 м.
5.2.10 На мостах и эстакадах принимать такие же сочетания плана и продольного профиля, как на других участках линии.
5.2.11 На станциях с путевым развитием для оборота и отстоя поездов предусматривать один или два станционных пути.
Длину станционного пути определять как расстояние от центра стрелочного перевода до бруса упора.
Длина станционного пути для оборота поездов и отстоя одного состава в ночное время должна быть на 100 м - для подземных станций и 135 м - для открытых и приравненных к ним наземных и надземных больше длины поезда в перспективе.
Длину станционного пути для оборота поездов и отстоя в ночное время нескольких составов определять как сумму длин составов в перспективе и расстояний, м:
а) между составами - 5;
б) от состава до бруса упора - 7, при наличии ПТО – 15;
в) от центра стрелочного перевода до первого состава ночного отстоя – 35.
Длину станционного пути за временно конечной станцией, предназначенного для отстоя составов, определять как сумму длины состава в перспективе и расстояний, м:
а) между составами - 5;
б) от состава до бруса упора - 7;
в) дополнительно, при противошерстном движении поездов по стрелочному переводу на станционный путь - 47, при пошерстном движении - 22.
Длина станционного пути за временно конечной станцией на последующем продлении главного пути должна быть кратной 12,5 м.
Длина предохранительного пути должна быть не менее 135 м, пути, не используемого для указанной цели, - не менее 47 м.
При применении других схем станционных путей для оборота и отстоя поездов соблюдать указанные выше расстояния.
5.2.12 На участке станционных путей, предназначенных для оборота поездов, располагать служебную платформу, длина которой должна на 11 м превышать максимальную расчетную длину поезда. Начало платформы принимать на расстоянии 25,6 м от центра стрелочного перевода, ширину 1100 мм, высоту - 1100 мм от уровня головок рельсов на прямых участках (на кривых – по расчету).
Служебная платформа по всей длине должна иметь ограждение со стороны поезда высотой не менее 1100мм с разрывами напротив дверей вагонов. Ограждение должно располагаться на расстоянии не менее 100мм от края платформы и обеспечивать безопасный зазор при открытых дверях вагона. Для спуска с платформы в торцах предусматривать лестницы 2-го типа шириной не менее 500мм из негорючих материалов с ограждением высотой 1100мм.
|
Из за большого объема этот материал размещен на нескольких страницах:
1 2 3 4 5 6 7 8 9 10 11 12 13 14 15 16 17 18 19 20 21 22 23 24 25 26 27 28 29 30 31 32 33 |



