
Рис. 6.2. Детальный график нарастания затрат в незавершенном производстве
, (6.7)
где
- затраты на материалы, поступающие в производство в начале цикла;
- средний уровень затрат на данной стадии цикла;
– время пребывания затрат данной стадии в цикле.
Когда возникает необходимость рассчитать объем незавершенного производства для каждого вида продукции по трудоемкости, то это определяется по формуле
, (6.8)
где
- трудоемкость;
- средний коэффициент готовности изделий в заделе.
Полуфабрикаты собственного изготовления – это изделия, технологический процесс производства которых закончен в одном цехе и которые подлежат доработке в других цехах предприятия.
Валовой называется продукция, произведенная предприятием за планируемый период независимо от степени ее готовности. В состав валовой продукции входят товарная продукция и изменения остатков незаконченной продукции, полуфабрикатов, остатков незавершенного производства и запчастей к оборудованию своего производства.
, (6.9)
где
- остаток незавершенного производства на конец планового периода;
- остаток незавершенного производства на начало планового периода.
При укрупненных расчетах объем валовой продукции может быть определен через показатели валового и внутризаводского оборота.
Валовой оборот – это сумма валовой продукции в рублях, выпускаемой всеми цехами завода.
В него включаются все готовые изделия, продукция, изготовленная основными, вспомогательными и обслуживающими цехами завода, взаимные услуги независимо от назначения (внутри или на сторону) и изменения остатков незавершенного производства.
Внутризаводской оборот представляет собой суммарный объем продукции, обращающийся между цехами, т. е. суммарный выпуск цехов, кроме цеха окончательной сборки и продукции цехов, отгружаемой потребителям и равен разности между валовым оборотом и валовой продукцией.
В него входят: стоимость полуфабрикатов своего производства, используемых на предприятии для выпуска готовой продукции, для ремонта оборудования, транспорта, изготовленная оснастка стоимость израсходованного инструмента и всех видов энергии собственной выработки, услуги заводского транспорта, ремонтных цехов и т. д.
С помощью расчетов валового и внутризаводского устанавливают соответствие возможностей заготовительных и вспомогательных цехов и обеспечивают производство необходимыми полуфабрикатами и разного вида работами и услугами.
Валовая продукция на предприятии машиностроительной промышленности по своему вещественному составу совпадает с товарной продукцией, отличия заключаются в оценке продуктивности. Валовая оценивается в ценах на первое января предыдущего года, а товарная – в действующих оптовых ценах.
Стоимость товарной продукции в действующих оптовых ценах предприятия и товарной (валовой) продукции в сопоставленных ценах определяется по заводскому методу, сущность которого состоит в том, что в объем продукции включается только продукция, реализуемая на сторону и для непромышленных нужд предприятия.
Однако следует помнить, что включаемая в валовую продукцию стоимость сырья, полуфабрикатов, комплектующих изделий по кооперативным поставкам существенно искажает представление о фактическом объеме и динамике производства на данном предприятии.
Поэтому в качестве оценочного показателя работы предприятия может применяться объем нормативной чистой продукции (иногда нормативная стоимость обработки или трудоемкость).
Объем нормативно – чистой продукции отражает величину вновь созданной стоимости. Это устраняет заинтересованность в выпуске материалоемкой продукции и влияние внешних факторов на показатели работы предприятия.
Норматив чистой продукции (
) – это часть оптовой цены, состоящая из заработной платы, отчислений на социальные нужды и прибыли. Норматив чистой продукции утверждается по всей номенклатуре изделий, полуфабрикатов, запасных частей, по всем работам и услугам промышленного характера, реализуемых на сторону.
Этот норматив утверждается в установленном порядке одновременно с ценами. Обязательным условием при этом должна быть прогрессивность норм трудоемкости.
Заработная плата производственных рабочих определяется из калькуляции изделия как сумма основной и дополнительной заработной платы и отчислениями на социальные нужды.
Для промышленно-производственного персонала по обслуживанию и управлению она рассчитывается через коэффициент по формуле
, (6.10)
где
- годовой фонд основной и дополнительной зарплаты с отчислениями на социальные нужды, руб.;
- годовой фонд основной и дополнительной зарплаты с отчислениями на социальные нужды производственных рабочих, руб.
Следовательно, сумма заработной платы, подлежащей включительно в норматив чистой продукции, определяется по формуле
. (6.11)
Прибыль, включаемая в норматив, является нормативной и рассчитывается по нормативу рентабельности
, которая определяется по каждой позиции и устанавливается по отношению к себестоимости за вычетом материальных затрат
, т. е.
, (6.12)
. (6.13)
Норматив чистой продукции на изделие определяется по формуле
. (6.14)
При большой номенклатуре выполненных работ и прочей продукции норматив чистой продукции (НЧП) устанавливается для предприятия в виде коэффициента ее к стоимости соответствующей продукции и работ по ценам предприятия. Этот коэффициент определяется соотношением между объемом продукции, выраженном в ценах и НЧП, сложившимся на производстве за два истекших года, но он не может быть более единицы.
Объем производства, выраженный в НЧП, в планах и отчетах предприятия определяется:
1) по готовым изделиям и продукции, планируется в натуральном выражении через норматив в виде
, (6.15)
где m – номенклатура изделий;
- количественное задание по выпуску i-го вида продукции в натуральных единицах.
2) по продукции, планируемой в стоимостном выражении, через нормативный коэффициент чистой продукции
по формуле
, (6.16)
где
- объем планируемой продукции в стоимостном выражении.
3) по незавершенному производству продукции с длительным циклом путем умножения изменения остатков незавершенного производства (в руб.)
на коэффициент
по формуле
. (6.17)
Внутрипроизводственный норматив чистой продукции
на комплект, деталь рассчитывается путем распределения общего норматива
на изделие пропорционально доле основной заработной платы производственных рабочих на данную единицу
, (6.18)
где
- основная заработная плата рабочих на изделие;
- основная заработная плата рабочих на машинокомплект.
Производственная программа цеха основного производства содержит детализированное номенклатурно-количественное задание, вытекающее из плана производства предприятия. Еще более детализируются плановые задания участкам.
Для полной увязки показателей плана предприятия с цеховыми плановыми заданиями их разрабатывают в порядке обратном ходу технологического процесса, т. е. от выпускающих (сборочных) цехов к заготовительным. При этом учитывается потребность цехов в восполнении заделов.
Например, программа сборочного цеха определяется по формуле
, (6.19)
где
- программа выпуска изделия, установленная планом предприятия, шт;
- нормальный запас изделий на конец года, шт;
- фактический остаток годовых изделий на начало года, шт.
Под производственной мощностью понимается максимально возможный годовой выпуск продукции в номенклатуре и ассортименте, предусматриваемых планом при полном использовании наличного производственного оборудования и площадей с учетом применения прогрессивных технологий, организации производства и труда.
Расчет производственной мощности проводится в целях согласования планируемого объема выпуска продукции с производственными возможностями предприятия.
В общем виде производственная мощность оборудования
выражается зависимостью
, (6.20)
для многономенклатурного производства:
, (6.21)
где
– производительность оборудования в единицу времени, шт/ч;
– действительный фонд времени работы оборудования в планируемом периоде, ч;
– трудоемкость деталей, комплектов изделий, изготавливаемом на данном оборудовании нормо-ч/шт;
m – номенклатура изготовляемых объектов.
ТЕМА 7. ПЛАНИРОВАНИЕ ТЕХНИЧЕСКОГО РАЗВИТИЯ ПРОИЗВОДСТВА
Планирование технического развития производства состоит из комплекса технических, организационных, планово-экономических и социальных мероприятий, направленных на повышение технического уровня производства, увеличение выпуска высококачественной продукции, роста производительности труда, улучшение использования основных фондов, производственных мощностей, материальных и трудовых ресурсов, совершенствование внутризаводской системы управления, планирования, экономического стимулирования, улучшение условий труда.
Основными задачами данного раздела годового плана являются: определение основных направлений по освоению и выпуску наиболее прогрессивных видов продукции, совершенствование техники, технологии и применению передовых методов организации труда и производства, установление структурным подразделением предприятия задания по развитию и улучшению технико-экономических показателей работы предприятия, определение экономического эффекта планируемых мероприятий и степени их влияния на технико-экономические показатели предприятия.
Исходными материалами для составления этого раздела плана являются контрольные цифры и задания вышестоящих организаций по внедрению и освоению новых видов продукции; научно-технические прогнозы по основным направлениям развития предприятия, результаты законченных НИОКР, патенты, лицензии, изобретения, заявки потребителей на создание новых видов продукции.
Этот раздел плана комплексный, он состоит из ряда подразделов:
1) Проектирование, освоение новой и повышение качества изготавливаемой продукции является важнейшим направлением деятельности предприятия, имеющим своей целью обеспечение допустимых темпов научно-технического прогресса и повышение качества выпускаемой продукции.
Мероприятия этого раздела группируются по следующим направлениям:
а) создание новых видов продукции;
б) освоение выпуска вновь созданных видов продукции;
в) организация выпуска ранее освоенных изделий на дочерних предприятиях;
г) модернизация выпуска продукции;
д) повышение качества изготавливаемой продукции;
е) внедрение новых прогрессивных стандартов и ТУ на продукцию и снятие с производства устаревшей продукции.
Для каждого из этих мероприятий предварительно разрабатывается календарно-оперативный план (график) выполнения работ, составляется смета затрат и определяется экономический эффект от внедрения.
ТЕМА 8. ПЛАНИРОВАНИЕ РЕСУРСНОГО ОБЕСПЕЧЕНИЯ ДЕЯТЕЛЬНОСТИ ПРЕДПРИЯТИЙ
Предприятия для осуществления своей деятельности используют различные экономические ресурсы, включающие основные производственные фонды и оборотные средства. Для производства своей продукции предприятие должно своевременно приобрести у своих поставщиков необходимые ресурсы в таком количестве, которое оно считает необходимым.
В краткосрочном периоде планирования спроса на экономические ресурсы заключается в предложении, что предприятие приобретает какой-то определенный ресурс на конкурентном рынке и, в свою очередь, реализует произведенную продукцию на соответствующем рынке. Любое предприятие, планируя величину прибыли, должно взвешивать выгоды от приобретения каждой дополнительной единицы ресурсов, позволяющей ему производить и продавать больше продукции. Предприятие принимает решение о приобретении дополнительных ресурсов на основе сравнения получаемого или планируемого предельного дохода от применения этого ресурса с его предельными издержками.
Перспективное планирование потребности различных ресурсов на каждом предприятии должно ориентироваться на удовлетворение имеющегося спроса на продукцию и соответствующего предложения с максимально возможной эффективностью производства.
Существует два подхода к совершенствованию перспективного планирования ресурсов:
1) необходимость применять в стратегическом планировании укрупненные методы определения потребности экономических ресурсов;
2) возможность использовать натуральные показатели (измерители) расхода производственных ресурсов.
В процессе планирования потребности ресурсов длительного пользования должны решаться следующие задачи:
– определение состава необходимых входных ресурсов и их группировка по видам, функциям, способам закупки, срокам хранения и другим признакам;
– установление обоснованных сроков закупки требующихся ресурсов;
– выбор основных поставщиков по видам необходимых предприятию ресурсов;
– согласование с поставщиками основных требований производства к качеству входных ресурсов;
– расчет потребных ресурсов, размера транспортных партий и числа поставок материалов и комплектующих изделий;
- определение издержек на приобретение, транспортировку и хранение материальных ресурсов.
В плане предприятия устанавливается требуемое для выполнения годового обмена работ количество основных и вспомогательных материалов, инструмента, топлива и других материальных ресурсов.
В экономическом отношении это наиболее значимая часть затрат на производство продукции (до 60-70%). Экономное расходование материалов, ресурсов является весьма существенным фактором снижения себестоимости продукции и уменьшения потребных предприятию оборотных средств.
Разработке предшествует анализ выполнения плана по объему и ассортименту, анализ качества поступивших материалов.
План материально-технического обеспечения разрабатывается на основе производственных программ, нормативов и норм расхода сырья, топлива, энергии, комплектующих изделий, мероприятий по экономии, остатков материалов на начало и конец года, связей кооперации, цен на все виды ресурсов.
Отдел материально-технического обеспечения определяет потребность предприятия в ресурсах, нормы их хранения, а также принимает участие в разработке плана материально-технического обеспечения, мероприятий по экономии, организует складские операции по приему, хранению, учету и выдаче материалов, следит за соответствием их качества, обеспечивает своевременное и комплектное поступление в цехи материалов в пределах установленных лимитов, выполняет оперативный и сводный учет и анализ снабженческих и складских операций.
С планом материально-технического обеспечения тесно связан процесс сбыта продукции.
Отдел маркетинга и сбыта осуществляет наблюдение за своевременной отгрузкой, качеством и комплектацией продукции, поставляемой потребителям, ускорению и удешевлению движения продаж от поставщика к потребителю.
Для планирования предприятие разрабатывает номенклатуру потребляемых материалов, определяет планово-расчетные цены на них, устанавливает технически обоснованные нормы расходов.
Номенклатура материалов – это систематизированный перечень материалов, применяемых на предприятии с указанием их основных свойств, размеров, технических характеристик и условных обозначений. Она обеспечивает единообразие в наименовании материалов (единый классификатор промышленной продукции) и соответствует более четкой работе органов снабжения.
Планово-расчетная цена включает в оптовую цену поставщика, наценки сбытовых или снабженческих организаций, железнодорожный тариф или водный фракт, погрузочно-разгрузочные работы и расходы на затаривание.
Норма расхода материала должна предусматривать наиболее экономное использование его в конкретных условиях производства, то есть должна быть прогрессивной.
ТЕМА 9. План ПО ТРУДУ И ЗАРАБОТНОЙ ПЛАТЕ
Основой составления плана по труду является учет всех ресурсов и факторов роста производительности труда, определение оптимальной численности и структуры персонала, обоснованный расчет фонда заработной платы.
Исходными данными для разработки плана являются:
1) Задания по росту производительности труда, по численности работающих, задание по сокращению ручного труда, фонд заработной платы и норматив заработной платы на один рубль продукции.
2) План производства и реализации продукции.
3) Плановые нормы затрат труда.
4) Расчетные условия по заработной плате.
5) Отчетные данные о выполнении плана его труду.
6) Нормативные и справочные материалы.
Производительность труда может быть выражена в абсолютном значении в виде показателя уровня производительности труда и в относительном – в виде процента роста ее к предыдущему периоду.
Уровень производительности труда характеризуют показателями:
1) товарной (иногда валовой) продукции приходящейся на одного среднесписочного работающего за единицу времени (год);
2) трудоемкостью единицы продукции;
3) объемом нормативно-чистой продукции, приходящейся на одного среднесписочного работающего.
Трудоемкость в плане по труду устанавливается по главнейшим видам изделий и по всему планируемому выпуску продукции.
Трудоемкость представляет собой сумму затрат труда на изготовление единицы продукции.
Нормируемая трудоемкость рассчитывается по затратам нормируемого времени, фактическая – по фактическим затратам труда.
По изменению трудоемкости продукции можно судить о динамике часовой производительности труда.
Нормируемая трудоемкость единицы продукции является основой для расчета трудоемкой производственной программы, которая используется при определении численности рабочих.
Методы расчета численности рабочих зависят от выполнения ими нормируемых или ненормируемых работ. На практике применяются два дополняющих друг друга метода: по нормам трудоемкости и по нормам обслуживания оборудования.
Расчет числа основных рабочих списочного состава по нормам трудоемкости определяется по формуле
, (9.1)
где
- производственная программа в натуральном выражении;
– действительный фонд времени в году;
- трудоемкость объема производства;
– плановая трудоемкость единицы продукции;
m – число наименований работ, выполняемых группой рабочих.
Необходимо различать списочное и явочное число рабочих.
В списочный состав включаются все рабочие, состоящие в группе промышленно-производственного персонала предприятия, в том числе находящиеся в отпуске, отсутствующие по болезни и др.
В явочный состав входят те рабочие, которые должны являться на работу ежедневно, для обеспечения нормального хода производства.
Среднесписочное число рабочих – это среднеарифметическая годовая численность.
Численность рабочих-повременщиков и вспомогательных рабочих устанавливается по штатным расписаниям, где показывается явочная численность, которая определяется по числу рабочих мест в соответствии с технологией производства, нормами обслуживания и сменности работ.
Численность рабочих – сдельщиков определяется путем деления производственной программы в нормочасах на планируемый уровень выполнения норм в процентах и полезный фонд времени одного рабочего в часах.
Численность вспомогательных рабочих определяется по нормам обслуживания или наличию рабочих мест.
Численность РСС (руководители, специалисты, служащие) осуществляется в соответствии с утвержденной структурой управления предприятия и разработанным штатным расписанием.
Наряду с определением потребности в рабочей силе разрабатывается план подготовки кадров и повышения квалификации работающих.
Плановым фондом заработной платы называется сумма денежных средств, устанавливаемая предприятием для оплаты работающих в плановом периоде.
На предприятии фонды заработной платы рассчитываются по категориям работающих (рабочих, РСС и т. д.). Структура заработной платы рабочих приведена на рис. 7.1.
Заработная плата выплачивается сдельщикам по расценкам за выполненные работы и повременщикам по тарифным ставкам, соответствующим фонду тарифной заработной платы.
Доплаты к нему образуют часовой, дневной и месячный фонд.
Средний уровень заработной платы
(среднечасовой, среднемесячный) определяется как
, (9.2)
- фонд заработной платы.
Тарифный фонд заработной платы предприятия складывается из фонда заработной платы по сдельным расценкам и фонда заработной платы рабочих, оплачиваемых по повременной системе, и определяется по формуле
, (9.3)
где m – число наименований изделий;
- суммарная сдельная расценка на одно изделие;
- число изделий каждого наименования по плану.
Или по формуле
, (9.4)
где
- среднечасовая тарифная ставка по рабочим;
- число нормочасов, потребных для выполнения планового задания.
Фонд тарифной заработной платы рабочих с повременной оплатой труда рабочих рассчитывается как
, (9.5)
где
- среднечасовая тарифная ставка рабочих, занятых на повременно оплачиваемых работах.
Средняя тарифная ставка определяется как
, (9.6)
- тарифная ставка соответствующего разряда рабочих повременных;
- численность рабочих повременщиков в i-м разряде;
n – число квалифицированных разрядов.
Фонд заработной платы для вспомогательных рабочих рассчитывается методом средней заработной платы по плановой численности вспомогательных рабочих, данным о средней заработной плате за прошлые периоды, указаниям и предложениям о росте заработной платы.
Фонд заработной платы для РСС определяется по штатному расписанию. Полный фонд годовой заработной платы по предприятию складывается из фондов заработной платы всех категорий работающих.
В перспективных планах экономического и социального развития предприятия утверждаются долгосрочные нормативы заработной платы на 1 рубль продукции. По этому нормативу предприятия рассчитывают плановый фонд заработной платы.
Норматив заработной платы рассчитывается исходя из намеченного в июне фонда заработной платы промышленно-производственного персонала Фзппп без дополнительных выплат для этой группы работающих и объема производства продукции Ni , исчисленному в том показателе, в котором запланирована производительность труда как
. (9.7)
При этом фонд заработной платы непромышленного персонала и несписочного состава в нормативе не учитывается, а рассчитывается по составу работающих в этой сфере как
Фзпаб=Nlнзп+Фзпн+Фзпнс, (9.8)
где Фзпн – фонд заработной платы непромышленной группы работающих, руб.;
Фзпнс – фонд заработной платы несписочного состава.
Экономия по фонду нормативной заработной платы при условии выполнения плана производства и роста производительности труда передается в фонд потребления. Перерасход же фонда заработной платы компенсируется из фонда потребления в пределах экономии по фонду заработной платы, перечисленного в предыдущем году.
Анализ выполнения плана по труду имеет целью выявить степень выполнения плана по производительности труда, численности работающих, расходование фондов заработной платы, а также среднему уровню ее. При этом необходимо, чтобы запланированные показатели соответствовали или превосходили заданные и были увязаны между собой.
ТЕМА 10. ПЛАНИРОВАНИЕ ИЗДЕРЖЕК ПРОИЗВОДСТВА И ЦЕН
С экономической точки зрения издержки представляют собой стоимость всех видов затрачиваемых материалов и выполняемых услуг. Все затраты ресурсов представляют собой альтернативные или вмененные издержки. Они выступают главным ограничением, с которым сталкивается каждое предприятие в ходе реализации своих возможностей в максимизации планируемых и фактических доходов.
Себестоимость продукции выражает в денежной форме индивидуальные издержки предприятия на производство и реализацию единицы или объема продукции в действующих экономических условиях. В себестоимости возмещаются затраты производственных ресурсов, израсходованных на изготовление продукции в конкретных условиях того или иного предприятия, в текущих рыночных ценах. На отечественных предприятиях принято различать производственную, отраслевую, коммерческую, цеховую и технологическую себестоимость изделия, а также готовой продукции и другие ее виды. Все они отличаются друг от друга не только составом затрат, но и методами планирования как отдельных издержек, так и общей себестоимости.
Метод определения себестоимости единицы продукции по статьям затрат называется калькуляцией. Во внутрифирменном планировании применяются три метода калькуляции или расчета себестоимости:
1) нормативный — на основе действующих в данный период времени прогрессивных нормативов и норм расхода экономических ресурсов на единицу продукции и других рыночных показателей;
2) плановый — на основании разработанных на определенный период (год, квартал, месяц) плановых показателей прямых затрат и комплексных смет расходов;
3) отчетный — на основе фактических (бухгалтерских) затрат на производство продукции в отчетный период.
Плановые калькуляции обычно составляются на все виды продукции, предусмотренные в годовом плане производства и реализации предприятия. При широкой номенклатуре выпускаемых товаров плановые расчеты себестоимости могут производиться на так называемые детали-представители однородных групп изделий или работ. Рассмотрим более подробно нормативный метод расчета затрат на производство товаров и услуг в условиях рыночных отношений.
В современном производстве плановая калькуляция себестоимости единицы продукции содержит следующие типовые статьи затрат:
1. Сырье и материалы.
2. Возвратные отходы (вычитаются).
3. Покупные комплектующие изделия, полуфабрикаты и услуги кооперированных предприятий.
4. Топливо и энергия на технологические цели.
5. Итого материальных затрат.
6. Основная заработная плата производственных рабочих.
7. Дополнительная заработная плата производственных рабочих.
8. Отчисления на социальные нужды.
9. Расходы на подготовку и освоение производства новых изделий.
10. Изготовление инструмента и приспособлений целевого назначения.
11. Расходы на содержание и эксплуатацию оборудования.
12. Цеховые расходы.
13. Потери от брака.
14. Прочие производственные расходы.
15. Цеховая себестоимость.
16. Общехозяйственные расходы.
17. Производственная себестоимость.
18. Внепроизводственные расходы.
19. Коммерческая себестоимость.
Разработка плановых калькуляций себестоимости отдельных видов продукции предполагает использование прогрессивных нормативов расхода таких производственных ресурсов, как сырье и материалы, топливо и энергия на технологические цели, трудовые затраты и тарифные ставки и др. В частности, необходимы также нормативы косвенных общецеховых или общепроизводственных, общезаводских или общехозяйственных, внепроизводственных или коммерческих и других расходов, например, на содержание технологического оборудования, оплату административно-управленческого персонала и т. д.
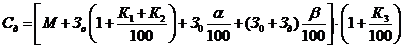
Полная (плановая) себестоимость единицы продукции определяется суммированием прямых и косвенных затрат по формуле
, (10.1)
где Си — себестоимость изделия, руб./шт.;
М — прямые затраты на материалы и комплектующие, руб.;
Зо — основная заработная плата, руб.;
K1 — косвенные общепроизводственные затраты на содержание оборудования и цеховые расходы, %;
К2 - общезаводские (общехозяйственные) расходы, %;
a— процент дополнительной оплаты и премий рабочим;
Зд — дополнительная заработная плата, руб.;
b — процент отчислений на социальные нужды;
К3 — внепроизводственные расходы, %.
Смета затрат представляет собой сводный план всех расходов предприятия на предстоящий период производственно-финансовой деятельности. Она определяет общую сумму издержек производства по видам используемых ресурсов, стадиям производственной деятельности, уровням управления предприятием и другим направлениям расходов. В смету включаются затраты основного и вспомогательного производства, связанные с изготовлением и продажей продукции, товаров и услуг, а также на содержание административно-управленческого персонала, выполнение различных работ и услуг, в том числе и не входящих в основную производственную деятельность предприятия. Планирование видов затрат осуществляется в денежном выражении на предусмотренные в годовых проектах производственные программы, цели и задачи, выбранные экономические ресурсы и технологические средства их выполнения. Все плановые задания и показатели конкретизируются на предприятии в соответствующих сметах, включающих стоимостную оценку затрат и результатов.
В процессе разработки сметы затрат на производство в отечественной экономической науке и практике широко применяю три основных метода:
1) сметный метод — на основе расчета затрат в масштабах всего предприятия по данным всех других разделов плана;
2) сводный метод — путем суммирования смет производства отдельных цехов, за исключением внутренних оборотов между ними;
3) калькуляционный метод — на основе плановых расчетов по всей номенклатуре продукции, работ и услуг с разложением комплексных статей на простые элементы затрат.
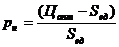
В рыночной экономике цена представляет собой количество денег уплачиваемых или получаемых за единицу товара или услуги. В условиях рынка действует множество цен на товары, работы и услуги. В зависимости от способа установления и назначения принято различать такие виды цен, как номинальные, средние, контрактные, мировые, паритетные, справочные, прейскурантные, оптовые, розничные, скользящие, временные, постоянные, корпоративные, государственные, рыночные и т. д.
Планирование оптимальных рыночных цен на различные виды продукции, работы и услуги основывается на сопоставлении валовых и предельных издержек на их осуществление. В основе метода оптимизации издержек лежит ряд допущений, таких как: предприятие производит и реализует один товар или вид услуг; основная цель предприятия заключается в максимизации прибыли или минимизации издержек; взаимодействие объема производства и уровня цен оказывает наибольшее влияние на размер прибыли; объем производства товаров и услуг в планируемый период равен объему реализации; все показатели деятельности предприятия, кроме оптимизируемых, остаются неизменными.
|
Из за большого объема этот материал размещен на нескольких страницах:
1 2 3 4 |



