Интеграция определяет, что планирование, осуществляемое независимо на каждом уровне, не может быть столь же эффективным без взаимосвязи планов на всех уровнях. Поэтому для ее решения необходимо изменение стратегии другого уровня.
Сочетание принципов координации и интеграции дает известный принцип холизма. Согласно ему, чем больше элементов и уровней в системе, тем выгодней планировать одновременно и во взаимозависимости. Эта концепция планирования «сразу всеми» противостоит последовательному планированию как сверху вниз, так и снизу вверх.
Существуют также такие принципы планирования, как централизованный, децентрализованный и комбинированный.
В зависимости от главных целей или основных подходов используемой информации, нормативной базы, применяемых путей получения и согласования тех или иных конечных плановых показателей принято различать следующие методы планирования: экспериментальные, нормативные, балансовые, расчетно-аналитические, программно-целевые, отчетно-статистические, экономико-математические и другие.
Расчетно-аналитический метод основан на расчленении выполняемых работ и группировке используемых ресурсов по элементам и взаимосвязи, анализе условий наиболее эффективного их взаимодействия и разработке на этой основе проектов планов.
Экспериментальный метод – это проектировка норм, нормативов и моделей планов на основе проведения и изучения замеров и опытов, а также учета опыта менеджеров, плановиков и других специалистов.
Отчетно-статистический метод состоит в разработке проектов планов на основе отчетов, статистики и иной информации, характеризующей реальное состояние и изменение характеристики деятельности предприятия.
В процессе планирования ни один из рассматриваемых методов не применяется в чистом виде.
В основе эффективного планирования на предприятии лежит системный подход, основанный на всестороннем и последовательном изучении состояния предприятия, его внутренней и внешней среды. Системный анализ призван найти ответы на следующие вопросы о работе предприятия:
1. Как выделить систему, деятельность которой мы собираемся планировать?
2. В какой сфере и в каких условиях действует предприятие?
3. Как организовано предприятие и как оно функционирует в действительности?
4. Какая политика и практика предприятия действуют в настоящий период?
5. Каковы главные приоритеты руководства предприятия?
6. Как работало предприятие в прошлом и как оно работает сейчас?
7. Какова структура акционерного капитала?
8. Что представляют собой конкуренты предприятия, какова их доля на рынке и как она изменяется?
9. Какие законы и правительственные постановления влияют на работу предприятия, и каким образом?
Полученные в ходе системного анализа ответы на подобные вопросы позволяют выявить все основные факторы, ограничивающие рост предприятия и мешающие его плановому развитию.
Руководство планово-экономических служб предприятий осуществляют общие, научные, методологические и другие главные функции по управлению всей текущей и перспективной плановой деятельностью. Персонал службы планирования совместно с высшим руководством принимает участие в разработке стратегии предприятия, выборе и обосновании экономических целей, создании необходимой нормативной базы, анализе и оценке плановых и фактических результатов конечной деятельности.
В планировании своей деятельности участвуют все службы предприятия, как производственные, так и функциональные. В цехах и отделах организуются планово-экономические бюро или профессиональные группы. Структура планово-экономических служб предприятия зависит прежде всего от размеров производства, характеристики продукции, положения на рынке, формы собственности и т. д. При бесцеховой структуре управления плановые функции выполняются экономистами-менеджерами высшего звена. Каждое предприятие самостоятельно выбирает структуру своих планово-экономических органов.
Основой для выбора организационных структур на предприятии служат обычно перспективные планы на развитие, объемы производства продукции, нормативы численности и соотношений различных категорий персонала и многие другие факторы. Примером линейного подчинения экономических служб на крупных предприятиях могут быть названы последовательные структурные звенья: генеральный директор → главный экономист → планово-экономическое управление → планово-финансовый отдел → планово-расчетное бюро. При функциональной подчиненности право принимать решения и давать руководящие указания предоставляется применительно к конкретным функциям независимо от того, кто их осуществляет.
При линейно-функциональной структуре управления по каждому уровню формируется состав служб, пронизывающий все предприятие «сверху донизу» (рис.3.1).

Рис. 3.1. Линейно-функциональная структура управления предприятием
В условиях рыночной экономики существует множество типов организационных структур, в которые органично должны вливаться плановые службы. Это дивизиональная, продуктовая, матричная, проектная и т. д., выбор которых определяется стратегическими задачами предприятия.
На крупнейших американских предприятиях все работы по планированию делятся между многими исполнителями на определенные функции, этапы и сроки.
1. Центральный плановый отдел формирует цели (30 ноября). Высшее руководство рассматривает вопросы прибыли, капиталовложений и расширения сбыта.
2. Центральный плановый отдел рассылает для ориентации производственных подразделений записки, содержащие предполагаемые финансовые показатели, объемы сбыта, размеры прибыли и затрат на предстоящие пять лет.
3. Производственные подразделения выдвигают свои показаянваря). Каждое подразделение представляет финансовый план на ближайшие годы и отчет о результатах работы по прогнозированию спроса, действий конкурентов, техническим новшествам. Представители высшего руководства за это время посещают каждое подразделение и знакомятся с ходом работ.
4. Центральный плановый отдел утверждает цели и основные финансовые показафевраля). К этому времени отдел определяет соответствие реальных возможностей достижения подразделениями предложенных высшим руководством плановых показателей. Производственные подразделения пересматривают план на второе полугодие (31 марта) и при необходимости изменяют финансовый бюджет на этот период.
5. Центральный отдел планирования утверждает пересмотренный план на второе полугодие (30 апреля). Этот план включает уточненные показатели на оставшийся период года.
6. Производственные отделы составляют планы на два года (30 апреля). Эта работа является продолжением четвертого этапа. Двухлетний план составляется с учетом изменения технологии, условий рынка и т. д. Подразделения составляют баланс на каждый месяц первого года и каждый квартал второго, планируют поступление наличных средств и их использование.
7. Производственные подразделения представляют заявки на требующиеся им денежные средства (30 апреля). Эти средства распределяются только на те проекты, которые должны осуществляться в течение двух лет.
8. Производственные отделы составляют прогноз на 5 лет (30 апреля) по сбыту всех видов выпускаемой продукции по годам. Наряду с прогнозами сбыта намечается примерная сумма затрат и ожидаемая прибыль.
9. Производственные подразделения представляют (31 мая) сводку принятых подразделениями показателей, сведения о возможном поступлении денежных средств, заявку на требуемые инвестиции, прогноз сбыта продукции на пять лет.
10. Высшее руководство принимает решение (30 июня) о распределении финансовых средств на проекты подразделений и общепроизводственные расходы.
11. Все службы составляют свои планы и бюджеты (31 августа), которые включаются в общий план и получают необходимые финансовые средства.
12. Высшее руководство утверждает все планы и бюджеты (30 сентября).
ТЕМА 4. ПЛАНОВЫЕ РАСЧЕТЫ И ПОКАЗАТЕЛИ
Свободные рыночные отношения основаны на взаимодействии необходимых плановых требований и показателей, учитывающих интересы производителей и потребителей товаров. Решение этих вопросов возможно с помощью системы планово-экономических нормативов и норм, нацеливающих любое производство на получение высокого конечного результата производственно-финансовой деятельности.
В современной экономической литературе отсутствует единое общепризнанное понятие о нормах и нормативах.
Термин «норма» в переводе с латинского означает руководящее начало, правило, образец. Норма – это научно обоснованная величина расхода тех или иных экономических ресурсов в конкретных производственно-технических условиях.
Норматив – это расчетная величина затрат рабочего времени, материальных и денежных ресурсов, применяемых в нормировании труда, планировании производства и хозяйственной деятельности предприятия.
Расчетные нормы и нормативы одновременно могут быть как абсолютными, так и относительными величинами. Так при планировании трудовых затрат исходными чаще всего служат нормативы времени, а производными – расчетные нормы времени. При установлении плановых показателей материальных затрат, наоборот норма расхода различных видов сырья служит основой для получения производственного норматива оборотных средств и т. д.
Нормативы – это фундаментальная экономическая категория, которая имеет свое конкретное научное и практическое содержание, а также форму проявления, например, трудовые или материальные затраты на единицу продукции: мин/шт. или кг/шт. Таким образом, норматив – это всеобщая мера потребления и использования различных экономических и производственных ресурсов. С их помощью устанавливаются и регламентируются важнейшие показатели плановой, организационной и управленческой деятельности предприятий, определяется ход производственных процессов, их продолжительность и повторяемость. Они служат мерилом эффективности работы предприятия, своего рода стандартом развития техники, технологии и организации производства, уровня качества и конкурентоспособности продукции. Нормативы являются унифицированной межотраслевой величиной и должны обеспечить полное соответствие развития планируемых объектов с учетом изменений внутренних и внешних условий деятельности предприятия.
Нормы в отличие от нормативов имеют конкретное отраслевое или внутрипроизводственное назначение. Они устанавливаются для соответствующих локальных условий рабочего места или определенного типа производства и должны отражать как общие закономерности, так и специфические особенности развития предприятия и изменение затрат экономических ресурсов при допустимых ограничениях в планируемые сроки их использования. Нормы разрабатываются обычно на краткосрочный, заранее установленный период их применения, в заданных производственных условиях с учетом различных производственно-хозяйственных факторов. Нормы подлежат пересмотру в соответствии с изменением нормообразующих факторов. По своему значению нормы и нормативы могут быть абсолютными и относительными, общими и частными, плановыми и фактическими, перспективными и текущими, количественными и качественными и т. д.
С практических позиций нормы и нормативы являются исходными величинами и показателями, применяемыми при планировании и оценке различных видов деятельности, выполняемых работ и услуг. Они образуют целую систему экономических, финансовых и иных норм и нормативов и составляют нормативную базу планирования.
Нормы и нормативы различных ресурсов должны соответствовать многим требованиям современного рынка. Прежде всего, их значения должны быть научно обоснованны и прогрессивны, реальны и стабильны, объективны и динамичны, а также доступны и удобны при расчетах.
Основными методами разработки норм и нормативов являются:
- метод научного обоснования норм и нормативов позволяет учитывать при их установлении комплекс технических, организационных, экономических, социальных и других факторов. По своей сути этот метод позволяет в каждом конкретном случае находить оптимальное значение той или иной нормы при различных вариантах комбинирования использования ресурсов.
Сущностью научного обоснования нормы трудовых затрат является выбор ее оптимального значения и определяющих характеристик технологического процесса и других производственных ограничений, основными из которых являются затраты различных ресурсов. В задачах установления норм времени, например, необходимый результат производства состоит в изготовлении единицы продукции с заданными техническими условиями и качественными требованиями. При обосновании норм обслуживания и численности основным результатом производства является выполнение годовой или месячной программы выпуска продукции.
Введение системы ограничений определяет область допустимых значений норм затрат ресурсов, а также оптимальные нормы на расходы при существующей степени ограничений. В общем случае оптимальными или научно обоснованными нормами являются такие из допустимых вариантов норм и условий их использования, при которых достигается максимальный экономический эффект.
Расчетно-аналитический метод основан на расчленении выполняемых работ и расходуемых ресурсов на составные элементы, анализе условий и состава работ и ресурсов, проектировании рациональных вариантов использования предметов труда, средств производства и рабочей силы и расчете потребности соответствующих ресурсов для конкретных условий предприятия. При использовании расчетно-аналитического метода для установления, например, норм затрат труда, используются следующие методики:
- проводится анализ планируемой работы по ее структурным элементам;
- проектируется рациональный состав трудовых и технологических процессов;
- обосновываются требуемые средства труда и технологической оснастки;
- выбираются оптимальные режимы работы оборудования и формы организации труда;
- рассчитываются затраты времени на операцию;
- разрабатываются организационно-плановые мероприятия по внедрению проектируемых норм на предприятии.
Этот метод нашел наибольшее распространение при установлении норм материальных и трудовых затрат.
Аналитически-исследовательский метод применяется для обоснования необходимых норм в условиях действующего производства на основе проведения наблюдений и экспериментов. Согласно полученным данным, разрабатываются соответствующие нормы. Из-за большой сложности сбора первичных результатов метод используется в основном для разработки различных нормативных материалов.
Экспериментальный, или опытный, метод разработки норм заключается в определении затрат труда, сырья и материалов на основе данных замеров полезного их расхода, потерь и отходов, определяемых в лабораторных или производственных условиях. На производстве опытными считаются такие нормы, установленные по опыту мастеров, менеджеров, технологов или других специалистов.
Отчетно-статистический метод заключается в том, что нормы затрат производственных ресурсов устанавливаются на основе отчетных или статистических данных за прошедший период. Основой таких норм обычно служат сложившиеся за отчетный период средние фактические затраты ресурсов. По своему содержанию данный метод является суммарным и позволяет, в отличие от аналитического, определять приближенные нормы затрат ресурсов в целом на всю работу или деталь. Недостатком метода является то, что используемые отчетно-статистические нормы не способствуют эффективному использованию ограниченных производственных ресурсов.
Кроме рассмотренных методов при внутрипроизводственном планировании могут быть также использованы микроэлементные или дифференцированные, усредненные или сравнительные, прямые или косвенные методы и другие.
Система планово-экономических норм и нормативов в условиях рыночных отношений должна создаваться и функционировать на основе соблюдения следующих положений и требований:
- достижение единства применяемых методов и методик установления затрат ресурсов на производство продукции, работ, услуг;
- комплексное формирование нормативной базы для сбалансированного планирования всех показателей деятельности предприятия;
- систематическое обновление и обеспечение высокой степени прогрессивности существующих норм и нормативов на основе отражения в них процессов развития техники, технологии и организации производства;
- обеспечение сопоставимости и равной напряженности норм и нормативов, формируемых на различных уровнях планирования и в разных подразделениях предприятия;
- применение автоматизированной системы сбора, накопления, разработки и обоснования норм и нормативов расходования производственных ресурсов;
- стимулирование персонала различных категорий рабочих и специалистов за эффективное использование и экономию расхода ресурсов.
В разработке различных норм и нормативов на предприятиях участвуют соответствующие функциональные службы и производственные подразделения. Трудовые нормативы разрабатываются работниками управлений, отделов и бюро организации труда предприятий. Материальные нормативы – работниками отделов маркетинга, технологии, производства, механика, энергетика и т. д.
Многие экономические нормативы формируются под действием рынка или регулируются законодательством: учетные ставки за кредит, минимальный уровень оплаты труда.
ТЕМА 5. СТРАТЕГИЧЕСКОЕ ПЛАНИРОВАНИЕ
Стратегическое планирование задает перспективные направления развития предприятия, определяет основные виды его деятельности, позволяет увязать в единую систему маркетинговую, проектную, производственную и финансовую деятельность. Стратегический план обеспечивает адаптацию предприятия к внешней среде, к распределению ресурсов и внутреннюю координацию деятельности с целью выявления сильных и слабых сторон. Стратегический план на крупных предприятиях, как правило, долгосрочный. Но временной период стратегического плана для разных предприятий может быть различным и то, что является долгосрочным для одного предприятия, может быть краткосрочным для другого. Стратегическое планирование на предприятиях должно быть направлено на их долгосрочное развитие, достижение высоких темпов экономического роста. Развитие – это процесс, в котором увеличиваются возможности и желания предприятия удовлетворять свои желания и потребности потребителей. Таким образом, стратегическое планирование призвано обеспечить необходимый экономический рост и желаемый уровень развития предприятия на предстоящий долгосрочный период.
В стратегическом планировании важную роль играет государственное регулирование экономической политики, обоснование перспективных направлений развития всей рыночной системы.
Первым и самым ответственным решением при стратегическом планировании является выбор миссии и целей предприятия. Миссия раскрывает смысл существования предприятия, в котором проявляются отличия данного предприятия от ему подобных. Другими словами, миссия – это главная цель предприятия. Миссия и цели – служат ориентиром для всех последующих этапов планирования и одновременно накладывают определенные ограничения на направление деятельности предприятия при анализе альтернатив развития. Миссия предприятия может состоять в завоевании рынка сбыта продукции, в географическом или продуктовом расширении рынка, в повышении качества продукции при снижении цен на нее и т. д.
Цели бывают долгосрочными, среднесрочными и краткосрочными. Они формируются и устанавливаются в рамках миссии и в ее развитии. При этом цели являются задающей частью стратегического планирования.
Стратегическое планирование на микроуровне является основой взаимодействия множества внутренних и внешних экономических процессов, факторов и явлений.
Во-первых, стратегический план задает перспективное направление развития предприятия, определяет основные виды деятельности, позволяет увязать в единую систему все основные направления деятельности, а также позволяет лучше понимать структуру потребности, процессы планирования, продвижения и сбыта продукции, механизмы формирования рыночных цен.
Во-вторых, он устанавливает каждому подразделению предприятия конкретные и четкие цели, которые согласуются с общей стратегией развития предприятия.
В-третьих, он обеспечивает координацию усилий всех функциональных служб предприятия.
В-четвертых, стратегический подход стимулирует менеджеров предприятия лучше оценивать свои слабые и сильные стороны с точки зрения конкурентов, возможностей, ограничений и изменений окружающей среды.
В-пятых, план определяет альтернативные действия предприятия на долгосрочный период.
В-шестых, создает основу для распределения ограниченных экономических ресурсов.
В-седьмых, демонстрирует возможность фактического применения основных функций планирования, организации, управления, контроля и оценки деятельности предприятия, как единую систему современного менеджмента.
Процесс стратегического планирования на предприятии включает в себя осуществление следующих взаимосвязанных функций:
1) определение долгосрочной стратегии, основных целей и задач развития предприятия;
2) создание стратегических хозяйственных подразделений на предприятии;
3) обоснование и уточнение основных целей проведения маркетинговых исследований рынка;
4) осуществление ситуационного анализа и выбор направления экономического развития предприятия;
5) разработка основной стратегии маркетинга и укрупненное планирование производства продукции;
6) выбор тактики и уточненное планирование способов и средств достижения поставленных задач;
7) контроль и оценка основных результатов, корректировка выбранной стратегии и способов ее реализации.
Схема стратегического планирования, наиболее часто применяемая на отечественных предприятиях, имеет следующую структуру (рис.5.1).
Каждый этап имеет свое специфическое содержание для конкретных предприятий.
В процессе стратегического планирования главные цели предприятия устанавливаются высшим руководством и согласуются со всеми подразделениями. Плановые службы предлагают каждому подразделению варианты первоначальных показателей валовой и нераспределенной (чистой) прибыли на долгосрочный период. После их рассмотрения подразделения выдвигают свои предложения и, тем самым, создаются необходимые предпосылки для выработки общих целей стратегического планирования. В утвержденных планах предусматриваются общие цели предприятия, его место на рынке, организационная структура управления, финансовые результаты и т. д.
Таким образом, основная задача стратегического планирования на предприятиях состоит в обосновании важнейших целей и выработке правильной стратегии долгосрочного развития. В современной теории планирования принято выделять восемь основных сфер деятельности, в границах которых каждое предприятие определяет свои главные цели. Этими сферами являются положение предприятия на рынке, инновационная деятельность, уровень производительности, наличие производственных ресурсов, степень стабильности, система управления, профессионализм персонала и социальная ответственность.

Рис.5.1. Схема стратегического планирования на предприятии
Выбор цели и стратегии предприятия составляет основу самостоятельной планово-управленческой деятельности менеджеров.
При стратегическом планировании предприятиями могут использоваться такие стратегии, как разработка товара, стабилизация производства, проникновение на рынок, сокращение издержек, изменение цен, а также целевые стратегии: как маркетинговая, производственная, финансовая, конкурентная и т. д. На российских предприятиях широкое распространение получила стратегия выживания, на зарубежных – завоевание лидерства на рынке.
ТЕМА 6. ПЛАНИРОВАНИЕ ПРОИЗВОДСТВА И РЕАЛИЗАЦИИ ПРОДУКЦИИ
Планирование производства продукции, работ и услуг должно удовлетворять на всех действующих предприятиях конкретные потребности покупателей, заказчиков или потребителей и быть тесно связанным с разрабатываемой общей стратегией развития предприятия, проведением маркетинговых исследований, проектированием конкурентоспособной продукции, организацией ее производства и реализации, а также с выполнением других функций и видов внутрихозяйственной деятельности.
В годовом плане производства каждого предприятия содержится взаимосвязанная система следующих плановых показателей:
- основная цель производственной деятельности предприятия и ее отдельных подразделений на плановый период;
- объем и сроки производства продукции, работ и услуг с указанием конкретных количественных и качественных показателей по всей номенклатуре товаров;
- расчет производственной мощности предприятия, цехов и участков, подтверждающих ее сбалансированность с годовыми объемами производства, равновесия спроса и предложения;
- определение потребности ресурсов на выполнение годовой производственной программы предприятия и его подразделений, расчет баланса полуфабрикатов и комплектующих;
- распределение планируемых работ по основным цехам, а также сроком изготовления и поставок продукции на рынок;
- выбор средств и методов достижения запланированных показателей, расчет объемов незавершенного производства, коэффициентов загрузки технологического оборудования и производственных площадей;
- обоснование методов и форм организации производства запланированных товаров, работ и услуг, контроля выполнения планов производства и реализации продукции.
План производства и реализации продукции является основным и ведущим разделом годового комплексного плана предприятия. На его основе разрабатываются все другие разделы и показатели годового плана.
Рыночные отношения в промышленности означают самопланирование, самоорганизацию, самоуправление и самофинансирование всех видов производственной, хозяйственной и иной деятельности. Самостоятельность в осуществлении внутрипроизводственного рыночного планирования предполагает:
1) свободное обеспечение производственно – технического и социального – экономического развития предприятия за счет собственных финансовых ресурсов;
2) высокую материальную заинтересованность персонала предприятия в достижении необходимых конечных результатов трудовой, производственной и финансовой деятельности;
3) полную ответственность высшего руководства и специалистов предприятия за общие результаты рыночной деятельности и выполнение всех договорных обязательств;
4) получение планируемых доходов или прибыли, необходимой финансовой основы выполнения годовой производственной программы предприятия, дальнейшего развития его потенциала;
5) установление прямой зависимости между планами производства и продажи продукции и общими доходами, уровнем эффективности производства и личными доходами работников.
В планах производства устанавливаются основные источники и размеры финансирования по каждому виду деятельности предприятия, предельно-допустимые затраты по этапу и виду работ, конечные результаты по отдельным подразделениям, видам потоков и сроком поступления денежных средств. В ходе внутрипроизводственного планирования каждое структурное подразделение, цех или отдел разрабатывают свои планы производственной деятельности, которые затем увязываются с общим планом предприятия.
По уровню управления производственные планы бывают: общими по предприятию, цеховыми, бригадными и т. д. На малых предприятиях разрабатывается, как правило, общий план производственно-хозяйственной деятельности.
В годовых планах производства и реализации продукции решают следующие основные задачи:
- определение основных плановых заданий каждому подразделению предприятия;
- выявление и устранение возникающих нестыковок в межцеховых планах;
- взаимодействие основных показателей долгосрочных и текущих планов производства;
- распределение производства ресурсов между подразделениями предприятия.
План производства и реализации продукции включает планирование производства продукции в натуральном выражении, производство продукции в стоимостном выражении, объема реализации продукции, показателей качества выпускаемых изделий, обоснование плана производства показателями использования производственных мощностей и основных фондов.
Объем производства предприятия в стоимостном выражении характеризуется показателями: товарной, реализуемой, валовой и нормативно – чистой продукции.
Товарная продукция предприятия характеризует собой объем продукции, подготовленной для передачи потребителям. В состав товарной продукции включаются:
а) все виды полностью изготовленной, комплектной продукции и полуфабрикатов, предназначенных для реализации;
б) работы и услуги промышленного характера сторонним организациям (частичная обработка деталей и т. д.);
в) продукция вспомогательных цехов и хозяйств, предназначенная для реализации.
г) капитальный и средний ремонт оборудования и транспортных средств своего предприятия.
Изготовленная, но не отвечающая качественным требованиям (стандартам, ТУ) забракованная продукция, а также все виды непроизводственных услуг, в состав товарной продукции не включается.
Объем товарной продукции планируют в стоимостном выражении по действующим оптовым ценам и нормативу чистой продукции по каждой номенклатурной позиции и определяют по формулам:
Для каждого вида изделия или услуг
, (6.1)
а по всему объему товарной продукции
, руб/год, (6.2)
где
- товар продукции по i-му изделию, полуфабрикат;
- объем производства продукции i-го наименования в натуральном выражении, шт, т, м;
- оптовая цена i-го вида продукции, полуфабрикатов, руб.;
n – номенклатура изготавливаемых изделий и полуфабрикатов для реализации на сторону;
- стоимость производственных услуг сторонним организациям и капитальное строительство, руб.;
- затраты на капитальные и средние ремонты оборудования и транспортных средств.
Реализуемая продукция в отличие от товарной включает продукцию, поставленную потребителем и оплаченную по счетам.
В плане объем реализованной продукции определяется как стоимость предназначенных к поставке и подлежащих оплате в плановом периоде готовых изделий, полуфабрикатов, производственных услуг и работ сторонним организациям.
При расчете объема реализуемой продукции
учитывают изменение остатков готовой продукции на складе и стадии реализации на начало
и конец
планируемого периода по формуле
. (6.3)
Объем реализуемой продукции определяется по действующим оптовым ценам предприятия и нормативу чистой продукции.
Состав и объем товарной и реализуемой продукции на один и тот же период разделяется, так как последняя не учитывает складских остатков или продукцию, находящуюся в стадии реализации (товаропродвижении, транспортировки и расчетах).
Незавершенным производством называется выраженная в стоимостной форме, незаконченная в изготовлении продукция, находящаяся на различных стадиях производства в виде заделов, подлежащих дальнейшей обработке.
В состав незавершенной продукции входят заготовки, детали, сборочные единицы, комплекты, находящиеся на рабочих местах, в контрольных пунктах, в цеховых кладовых, на сборке и испытаниях, а также законченные изделия, но не прошедшие технической приемки и не сданные на склад или заказчику.
Материалы, заготовки и полуфабрикаты, полученные от поставщиков, если даже они завезены в цех, не включаются в незавершенное производство до тех пор, пока они не запущены в обработку на данном предприятии.
Незавершенное производство (заделы) – необходимое условие обеспечения непрерывности и ритмичности работы производства. Незавершенное производство планируют в размерах минимальных, но достаточных для планомерного хода производства.
На предприятии с устойчивой номенклатурой и коротким циклом производства (до двух месяцев) уровень незавершенного производства не претерпевает существенных изменений и в плане не учитывается.
В условиях массового и крупносерийного производства изделий с длительными циклами производства уровень незавершенного производства на конец планируемого периода
зависит от среднедневного выпуска продукции
планируемого в последующем периоде и производственного цикла изготовления продукции.
В стоимостной форме планируемая величина незавершенного производства на конец периода определяется по формуле
, (6.4)
где
– себестоимость изделия;
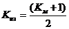
– коэффициент, учитывающий соотношение цены и себестоимости;
– коэффициент нарастания затрат в незавершенном производстве.
Этот коэффициент определяется отношением себестоимости изделия в незавершенном производстве
к себестоимости готового изделия
по формуле
. (6.5)
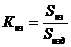
Если условно принять, что все материалы для изготовления изделия запускаются в производство в первый день цикла, а все последующие затраты расходуются равномерно (рис. 4.1), то коэффициент нарастания затрат будет определяться по формуле
, (6.6)
где
- коэффициент затрат на материалы в себестоимости изделия.
Этот средний коэффициент нарастания затрат рассчитан укрупненно.

Рис. 6.1. График нарастания затрат в незавершенном производстве
Здесь все материалы
и комплектующие изделия
поступают в производство при запуске.
Деятельный метод расчета среднего коэффициента нарастания затрат (6.7) заключается в том, что по каждому виду затрат в незавершенном производстве – основной материал, полуфабрикаты, комплектующие изделия, заработная плата и прочие затраты – определяется средневзвешенным пребыванием их в общем цикле изготовления изделия. Здесь материалы поступают в производство при запуске, а комплектующие изделия в процессе узловой и общей сборки (рис.6.2).
|
Из за большого объема этот материал размещен на нескольких страницах:
1 2 3 4 |



