3.1.34. Вероятность (Qi (K8)) принимают равной единице, если в соответствии с технологической необходимостью происходит нагрев горючих веществ до опасных температур, или нулю, если такой процесс не происходит.
Вероятность (Qi (ТИn)) появления в горючем веществе или материале очагов экзотермического окисления или разложения, приводящих к самовозгоранию, вычисляют по формуле
(63)
где Qi (mn) - вероятность реализации любой из mn причин, приведенных
ниже;
Qi (m1) - вероятность появления и i-м элементе объекта очага теплового самовозгорания в течение года;
Qi (m2) - вероятность появления в i-м элементе объема очага химического возгорания в течение года;
Qi (m3) - вероятность появления в i-м элементе объекта очага микробиологического самовозгорания в течение года.
3.1.35. Вероятность (Qi (m1)) вычисляют для всех элементов объекта по формуле
(64)
где Qi (P1) - вероятность появления в i-м элементе объекта в течение года веществ, склонных к тепловому самовозгоранию;
Qi (P2) - вероятность нагрева веществ, склонных к самовозгоранию, выше безопасной температуры.
3.1.36. Вероятность (Qi (P1)) вычисляют для всех элементов объекта по формулам (60 или 43).
3.1.37. Вероятность (Qi (P2)) принимают равной единице, если температура среды, в которой находится это вещество, выше или равна безопасной температуре или нулю, если температура среды ниже ее.
Безопасную температуру среды для веществ, склонных к тепловому самовозгоранию (ts), °С, вычисляют по формуле
(65)
где tc - температура самовозгорания вещества, вычисляемая по п. 5.1.6, °С.
3.1.38. Вероятность (Qi (m2)) вычисляют для всех элементов объекта по формуле
(66)
где Qi (g1) - вероятность появления в i-м элементе объекта химически активных веществ, реагирующих между собой с выделением большого количества тепла, в течение года;
Qi (g2) - вероятность контакта химически активных веществ в течение года.
3.1.39. Вероятности (Qi (g1)) и (Qi (g2)) вычисляют аналогично вероятности (Qi (h1)) по формуле (60), если реализация событий g1 и g2 обусловлена технологическими условиями или мероприятиями организационного характера и вычисляют аналогично вероятности Qi (an) по формуле (43), если эти события зависят от надежности оборудования.
3.1.40. Вероятность (Qi (m3)) рассчитывают для действующих и строящихся объектов аналогично вероятности (Qi (h1)) по формуле (60).
3.2. Вероятность (Qi (![]()
)) того, что воспламеняющаяся способность появившегося в i-м элементе объекта n-го энергетического (теплового) источника достаточна для зажигания к-й горючей среды, находящейся в этом элементе, определяется экспериментально или сравнением параметров энергетического (теплового) источника с соответствующими показателями пожарной опасности горючей среды.
3.2.1. Если данные для определения (Qi (Вkn)) отсутствуют или их достаточность вызывает сомнение, то значение вероятности (Qi (Bkn)) принимают равным 1.
3.2.2. Вероятность (Qi (Вkn)) принимают равной нулю в следующих случаях:
если источник не способен нагреть вещество выше 80 % значения температуры самовоспламенения вещества или температуры самовозгорания вещества, имеющего склонность к тепловому самовозгоранию;
если энергия, переданная тепловым источником горючему веществу (паро-, газо-, пылевоздушной смеси) ниже 40 % минимальной энергии зажигания;
если за время остывания теплового источника он не способен нагреть горючие вещества выше температуры воспламенения;
если время воздействия теплового источника меньше суммы периода индукции горючей среды и времени нагрева локального объема этой среды от начальной температуры до температуры воспламенения.
3.3. Данные о пожароопасных параметрах источников зажигания приведены в разд. 5.
3.4. При обосновании невозможности расчета вероятности появления источника зажигания в рассматриваемом элементе объекта с учетом конкретных условий его эксплуатации допускается вычислять этот параметр по формуле
(67)
где t - время работы i-то элемента объекта за анализируемый период времени, ч;
![]()
- среднее время работы i-го элемента объекта до появления одного источника зажигания, ч; (E0 - минимальная энергия зажигания горючей среды i-го элемента объекта, Дж).
3.5. При необходимости учитывают и иные события, приводящие к появлению источника зажигания.
4. Общие требования к программе сбора и обработки статистических данных
4.l. Программу сбора статистических данных разрабатывают для действующих, строящихся и проектируемых объектов на основе анализа пожарной опасности помещений и технологического оборудования
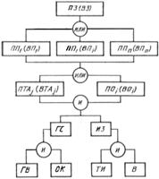
4.2. Анализ пожарной опасности проводят отдельно по каждому технологическому аппарату, помещению и заканчивают разработкой структурной схемы причинно-следственной связи пожаровзрывоопасных событий, необходимых и достаточных для возникновения пожара (взрыва) в объекте (далее - модель возникновения пожара). Общий вид структурной схемы возникновения пожара в здании показан на черт. 2.
4.3. Статистические данные о времени существования пожаровзрывоопасных событий на действующих и строящихся объектах и времени безотказной работы различных изделий проектируемых объектов собирают только по событиям конечного уровня, приведенным на модели возникновения пожара, для которых в методе отсутствуют аналитические зависимости.
Черт. 2
4.4. На основании модели возникновения пожара по каждому элементу объекта разрабатывают формы сбора статистической информации о причинах, реализация которых может привести к возникновению пожара (взрыва).
4.5. Статистическую информацию, необходимую для расчета параметров надежности различных изделий, используемых в проектном решении, собирает проектная организация на действующих объектах. При этом для наблюдения выбирают изделия, работающие в период нормальной эксплуатации и в условиях, идентичных тем, в которых будет эксплуатироваться проектируемое изделие.
4.6. В качестве источников информации о работоспособности технологического оборудования используют:
журналы старшего машиниста;
старшего аппаратчика;
начальника смены;
учета пробега оборудования;
дефектов;
ремонтные карты;
ежемесячные (ежеквартальные) технические отчеты; отчеты ремонтных служб;
график планово-предупредительных ремонтов;
ежемесячные отчеты об использовании оборудования;
справочные и паспортные данные о надежности различных элементов.
4.7. Источниками информации о нарушении противопожарного режима в помещениях, неисправности средств тушения, связи и сигнализации являются:
книга службы объектовой пожарной части МВД СССР;
журнал дополнительных мероприятий по охране объекта (для объектов, охраняемых пожарной охраной МВД СССР);
журнал наблюдения за противопожарным состоянием объекта (для объектов, охраняемых пожарной охраной МВД СССР);
журнал осмотра складов, лабораторий и других помещений перед их закрытием по окончании работы;
предписания Государственного пожарного надзора МВД СССР;
акты пожарно-технических комиссий о проверке противопожарного состояния объектов;
акты о нарушении правил пожарной безопасности органов Государственного пожарного надзора МВД СССР.
4.8. При разработке форм сбора и обработки статистической информации используют:
наставление по организации профилактической работы на объектах, охраняемых военизированной и профессиональной пожарной охраны МВД СССР;
устав службы пожарной охраны МВД СССР;
форму, приведенную в табл. 4.
Таблица 4
Наименование анализируемого элемента объекта | Анализируемое событие (причина) | Порядковый номер реализации события (причины) | Дата и время | Время tj существования события причины | Общее время (t) работы i-го элемента объекта, мин | ||
Наименование | Обозначение | обнаружения (возникновения) причины | устранения (возникновения) причины | ||||
Компрессор первого каскада | Разрушение узлов и деталей поршневой группы | f2 | 1 | 01.03.84 | 1.3.84 | 5 | 18*14 |
2 | 10.4.84 | 10.4.84 | 4 | ||||
3 | 21.5.84 | 21.5.84 | 5 | ||||
4 | 17.12.84 | 17.12.84 | 3 |
4.9. На основании собранных данных вычисляют коэффициент безопасности Ks в следующей последовательности.
4.9.1. Вычисляют среднее время существования пожаровзрывоопасного события (t0) (среднее время нахождения в отказе) по формуле
(68)
где tj - время существования i-го пожаровзрывоопасного события, мин;
m - общее количество событий (изделий);
j - порядковый номер события (изделия).
4.9.2. Точечную оценку дисперсии (D0) среднего времени существования пожаровзрывоопасного события вычисляют по формуле
(69)
4.9.3. Среднее квадратическое отклонение (st0) точечной оценки среднего времени существования события - t0 вычисляют по формуле
(70)
4.9.4. Из табл. 5 выбирают значение коэффициента tb в зависимости от числа степеней свободы (m-1) при доверительной вероятности b=0,95.
Таблица 5
m-1 | 1 | 2 | От 3 до 5 | От 6 до 10 | От 11 до 20 | 20 |
tb | 12,71 | 4,30 | 3,18 | 2,45 | 2,20 | 2,09 |
4.9.5. Коэффициент безопасности (Ks) (коэффициент, учитывающий отклонение значения параметра t0, вычисленного по формуле (68), от его истинного значения) вычисляют из формулы
(71)
4.9.6. При реализации в течение года только одного события коэффициент безопасности принимают равным единице.
5. Определение пожароопасных параметров тепловых источников интенсивности отказов элементов
5.1. Пожароопасные параметры тепловых источников
5.1.1. Разряд атмосферного электричества
5.l. l.l. Прямой удар молнии
Опасность прямого удара молнии заключается в контакте горючей среды с каналом молнии, температура в котором достигает 30000 °С при силе тока 200000 А и времени действия около 100 мкс. От прямого удара молнии воспламеняются все горючие среды.
5.1.1.2. Вторичное воздействие молнии
Опасность вторичного воздействия молнии заключается в искровых разрядах, возникающих в результате индукционного и электромагнитного воздействия атмосферного электричества на производственное оборудование, трубопроводы и строительные конструкции. Энергия искрового разряда превышает 250 мДж и достаточна для воспламенения горючих веществ с минимальной энергией зажигания до 0,25 Дж.
5.1.1.3. Занос высокого потенциала
Занос высокого потенциала в здание происходит по металлическим коммуникациям не только при их прямом поражении молнией, но и при расположении коммуникаций в непосредственной близости от молниеотвода. При соблюдении безопасных расстояний между молниеотводами и коммуникациями энергия возможных искровых разрядов достигает значений 100 Дж и более, то есть достаточна для воспламенения всех горючих веществ.
5.1.2. Электрическая искра (дуга)
5.1.2.1. Термическое действие токов короткого замыкания
Температуру проводника (tпр), °С, нагреваемого током короткого замыкания, вычисляют по формуле
(72)
где tн - начальная температура проводника, °С;
Iк. з - ток короткого замыкания, А;
R - сопротивление проводника, Oм;
tк. з - время короткого замыкания, с;
Спр - теплоемкость проводника, Дж×кг-1×К-1;
mпр - масса проводника, кг.
Воспламеняемость кабеля и проводника с изоляцией зависит от значения кратности тока короткого замыкания Iк. з, т. е. от значения отношения Iк. з к длительно допустимому току кабеля или провода. Если эта кратность больше 2,5, но меньше 18 для кабеля и 21 для провода, то происходит воспламенение поливинилхлоридной изоляции.
5.1.2.2. Электрические искры (капли металла)
Электрические искры (капли металла) образуются при коротком замыкании электропроводки, электросварке и при плавлении электродов электрических ламп накаливания общего назначения. Размер капель металла при этом достигает 3 мм (при потолочной сварке - 4 мм). При коротком замыкании и электросварке частицы вылетают во всех направлениях, и их скорость не превышает 10 и 4 м×с-1 соответственно. Температура капель зависит от вида металла и равна температуре плавления. Температура капель алюминия при коротком замыкании достигает 2500 °С, температура сварочных частиц и никелевых частиц ламп накаливания достигает 2100 °C. Размер капель при резке металла достигает 15-26 мм, скорость - 1 м×с-1 температура 1500 °C. Температура дуги при сварке и резке достигает 4000 °С, поэтому дуга является источником зажигания всех горючих веществ.
Зона разлета частиц при коротком замыкании зависит от высоты расположения провода, начальной скорости полета частиц, угла вылета и носит вероятностный характер. При высоте расположения провода 10 м вероятность попадания частиц на расстояние 9 м составляет 0,06; 7 м - 0,45 и 5м - 0,92; при высоте расположения 3 м вероятность попадания частиц на расстояние 8 м составляет 0,01, 6 м - 0,29 и 4м - 0,96, а при высоте 1 м вероятность разлета частиц на 6м - 0,06, 5 м - 0,24, 4 м - 0,66 и 3 м - 0,99.
Количество теплоты, которое капля металла способна отдать горючей среде при остывании до температуры ее самовоспламенения, рассчитывают следующим способом.
Среднюю скорость полета капли металла при свободном падении (wк), м×с-1, вычисляют по формуле
(73)
где g=9,8l м×с-1 - ускорение свободного падения;
Н - высота падения, м.
Объем капли металла (Vк), м3, вычисляют по формуле
(74)
где dk - диаметр капли, м.
Массу капли (mk), кг, вычисляют по формуле
(75)
где r - плотность металла, кг×м-1.
В зависимости от продолжительности полета капли возможны три ее состояния: жидкое, кристаллизации, твердое.
Время полета капли в расплавленном (жидком) состоянии (tp), с, рассчитывают по формуле
(76)
где Cp - удельная теплоемкость расплава металла, Дж×к-1К-1;
mk - масса капли, кг;
Sk=0,785 d2k - площадь поверхности капли, м2;
Тн, Тпл - температура капли в начале полета и температура плавления металла соответственно, К;
Т0 - температура окружающей среды (воздуха), К;
a - коэффициент теплоотдачи, Вт, м-2 К-1.
Коэффициент теплоотдачи определяют в следующей последовательности:
а) вычисляют число Рейнольдса по формуле
(77)
где dk - диаметр капли м;
v=l5,1×10-6 - коэффициент кинематической вязкости воздуха при температуре 20°С, м-2×с-1.
б) вычисляют критерий Нуссельта по формуле
(78)
в) вычисляют коэффициент теплоотдачи по формуле
, (79)
где lв=22×10-6 - коэффициент теплопроводности воздуха, Вт×м-1× - К-1.
Если t£tр, то конечную температуру капли определяют по формуле
(80)
Время полета капли, в течение которого происходит ее кристаллизация, определяют по формуле
(81)
где Скр - удельная теплота кристаллизации металла, Дж×кг-1.
Если tр<t£(tp+tкр), то конечную температуру капли определяют по формуле
(82)
Если t>(tр+tкр), то конечную температуру капли в твердом состоянии определяют по формуле
(83)
где Ск - удельная теплоемкость металла, Дж×кг-1×K-1.
Количество тепла (W), Дж, отдаваемое каплей металла твердому или жидкому горючему материалу, на который она попала, вычисляют по формуле
(84)
где Тсв - температура самовоспламенения горючего материала, К;
К - коэффициент, равный отношению тепла, отданного горючему веществу, к энергии, запасенной в капле.
Если отсутствует возможность определения коэффициента К, то принимают К=1.
Более строгое определение конечной температуры капли может быть проведено при учете зависимости коэффициента теплоотдачи от температуры.
5.1.2.3. Электрические лампы накаливания общего назначения
Пожарная опасность светильников обусловлена возможностью контакта горючей среды с колбой электрической лампы накаливания, нагретой выше температуры самовоспламенения горючей среды.
Черт. 3
Температура нагрева колбы электрической лампочки зависит от мощности лампы, ее размеров и расположения в пространстве. Зависимость максимальной температуры на колбе горизонтально расположенной лампы от ее мощности и времени приведена на черт. 3.
5.1.2.4. Искры статического электричества
Энергию искры (Wи), Дж, способной возникнуть под действием напряжения между пластиной и каким-либо заземленным предметом, вычисляют по запасенной конденсатором энергии из формулы
(85)
где С - емкость конденсатора, Ф;
U - напряжение, В.
Разность потенциалов между заряженным телом и землей измеряют электрометрами в реальных условиях производства.
Черт. 4
Если Wн³0,4 Wм. э.з ( Wм. э.з - минимальная энергия зажигания среды), то искру статического электричества рассматривают как источник зажигания.
Реальную опасность представляет «контактная» электризация людей, работающих с движущимися диэлектрическими материалами. При соприкосновении человека с заземленным предметом возникают искры с энергией от 2,5 до 7,5 мДж. Зависимость энергии электрического разряда с тела человека и от потенциала зарядов статического электричества показана на черт. 4.
5.1.3. Механические (фрикционные) искры (искры от удара и трения)
Размеры искр удара и трения, которые представляют собой раскаленную до свечения частичку металла или камня, обычно не превышают 0,5 мм, а их температура находится в пределах температуры плавления металла. Температура искр, образующихся при соударении металлов, способных вступать в химическое взаимодействие друг с другом с выделением значительного количества тепла, может превышать температуру плавления и поэтому ее определяют экспериментально или расчетом.
Количество теплоты, отдаваемое искрой при охлаждении от начальной температуры tн до температуры самовоспламенения горючей среды tсв вычисляют по формуле (84), а время остывания t - следующим образом.
Отношение температур (Qп) вычисляют по формуле
(86)
где tв - температура воздуха, °С.
Коэффициент теплоотдачи (a), Вт×м-2×К-1, вычисляют по формуле
(87)
где wи - скорость полета искры, м×с-1.
Скорость искры (wи), образующейся при ударе свободно падающего тела, вычисляют по формуле
(88)
а при ударе о вращающееся тело по формуле
(89)
где n - частота вращения, с-1;
R - радиус вращающегося тела, м.
Скорость полета искр, образующихся при работе с ударным инструментом, принимают равной 16 м×с-1, а с высекаемых при ходьбе в обуви, подбитой металлическими набойками или гвоздями, 12 м×с-1.
Критерий Био вычисляют по формуле
(90)
где dи - диаметр искры, м;
lи - коэффициент теплопроводности металла искры при температуре самовоспламенения горючего вещества (tсв), Bт×м-1×K-1.
По значениям относительной избыточной температуры qп и критерия Вi определяют по графику (черт. 5) критерий Фурье

Черт. 5
Длительность остывания частицы металла (t), с, вычисляют по формуле
(91)
где F0 - критерий Фурье;
Си - теплоемкость металла искры при температуре самовоспламенения горючего вещества, Дж×кг-1×К-1;
rи - плотность металла искры при температуре самовоспламенения горючего вещества, кг×м-3.
При наличии экспериментальных данных о поджигающей способности фрикционных искр вывод об их опасности для анализируемой горючей среды допускается делать без проведения расчетов.
5.1.4. Открытое пламя и искры двигателей (печей)
Пожарная опасность пламени обусловлена интенсивностью теплового воздействия (плотностью теплового потока), площадью воздействия, ориентацией (взаимным расположением), периодичностью и временем его воздействия на горючие вещества. Плотность теплового потока диффузионных пламен (спички, свечи, газовой горелки) составляет 18-40 кВт×м-2, а предварительно перемешанных (паяльные лампы, газовые горелки) 60-140 кВт×м-2 В табл. 6 приведены температурные и временные характеристики некоторых пламен и малокалорийных источников тепла.
Таблица 6
Наименование горящего вещества (изделия) или пожароопасной операции | Температура пламени (тления или нагрева), оС | Время горения (тления), мин |
Легковоспламеняющиеся и горючие жидкости | 880 | - |
Древесина и лесопиломатериалы | 1000 | - |
Природные и сжиженные газы | 1200 | - |
Газовая сварка металла | 3150 | - |
Газовая резка металла | 1350 | - |
Тлеющая папироса | 320-410 | 2-2,5 |
Тлеющая сигарета | 420-460 | 26-30 |
Горящая спичка | 600-640 | 0,33 |
Открытое пламя опасно не только при непосредственном контакте с горючей средой, но и при ее облучении. Интенсивность облучения (gр), Вт×м-2, вычисляют по формуле
|
Из за большого объема этот материал размещен на нескольких страницах:
1 2 3 4 5 6 7 8 9 |






