История развития листа Мебиуса
Лист Мёбиуса, лента Мёбиуса — топологический объект, простейшая односторонняя поверхность с краем. Попасть из одной точки этой поверхности в любую другую можно, не пересекая края. Лента Мёбиуса была обнаружена независимо немецкими математиками Августом Фердинандом Мёбиусом и Иоганном Бенедиктом Листингом (вот ленту Листинга очень хорошо помню из школьного курса. То ли Мёбиуса просто забыли, то ли не запомнился он мне в тот момент) в 1858 году. Модель ленты Мёбиуса может легко быть сделана. Для этого надо взять достаточно вытянутую бумажную полоску и соединить концы полоски, предварительно перевернув один из них. В евклидовом пространстве существуют два типа полос Мёбиуса в зависимости от направления закручивания: правые и левые.
Модель ленты Мебиуса может быть легко создана из полоски бумаги, повернув один из концов полоски вполоборота и соединив его с другим концом в замкнутую фигуру. Если начать рисовать карандашом линию на поверхности ленты, то линия уйдет вглубь фигуры и пройдет под начальной точкой линии, как уйдя на "другую сторону" ленты. Если продолжать линию, то она вернется в начальную точку. При этом длина нарисованной линии будет вдвое больше длины полоски бумаги. Этот пример показывает, что у ленты Мебиуса лишь одна сторона и одна граница.
В Евклидовом пространстве, фактически, существует два типа ленты Мебиуса, развернутой вполоборота: одна - развернутая по часовой стрелке, другая - против часовой стрелки.
Теоретическая часть
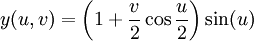
Лента Мебиуса может быть представленная параметрической системой уравнений:
![]()
![]()
![]()
где
и.
Этими уравнениями описывается лента Мебиуса шириной 1, лежащая в плоскости x-y; внутренний радиус окружности которой равен 1, центр внутренней окружности находится в начале координат (0,0,0). Параметр u движется вдоль ленты, а параметр v - от одной границы к другой.
Для получения ленты Мебиуса необходимо совместить два конца полоски так, чтобы направления красных стрелок совпали.
Иным способом ленту можно представить выражением в полярных координатах:

Топологически, лента Мебиуса может быть определена как квадрат [0,1] x [0,1], верх которого соединен с низом в соотношении (x,0) ~ (1-x,1) for 0 ≤ x ≤ 1, как показано на рисунке

Исследовательская работа

Односторонние поверхности : Лист Мебиуса и Бутылка Клейна
Мы так часто слышим слово – Бесконечность, а не хотелось ли вам когда ни будь подержать эту самую бесконечность в своих руках? Для того что бы сделать это вам придётся взять в руки бумагу, ножницы и клей. Отрежьте полоску бумаги и склейте её как показано на рисунке
Древняя головоломка о трёх колодцах и трёх домах.
В ряд стоят 3 дома, напротив каждого из них есть по колодцу. Нужно от каждого дома сделать тропинки к каждому из колодцев так, что бы никакие 2 тропинки не пересекались.
Нужно к каждому из домов провести и газ и воду и электричество, и что бы ни какие 2 трубы ( электрические кабеля) не пересекались.
Доказана неразрешимость этой задачи при помощи формулы Эйлера (см. задачу
"Прогулка по мостам" )
Но задача эта не разрешима на ПЛОСКОСТИ, НА БУМАГЕ.
Разве мы с вами живем на бумаге? Нас со школы учили оперировать понятиями «Эвклидовой геометрией», а по простому - нас со школы учили мыслить «Плоско». Что же касается этой головоломки, то она имеет решение, только не в придуманном, а в реальном мире. В этом нам поможет Лист Мебиуса. Соедините соответствующие буквы, и
получите ответ на головоломку
.
опыт №1
Сделайте ещё один Лист Мебиуса, повёрнутый на пол оборота (180 градусов). А теперь попробуйте его разрезать посредине.

Я Вам не скажу что получится так как:
а) Если Вы уже держите в руках Лист Мебиуса и ножницы, то лишить Вас удовольствия наблюдать за тем, что произойдёт после разрезания – это просто преступление.
б) Если Вы и не думали брать в руки ножницы – тогда сказанный мною результат вас не удивит.
Ну как получилось? Обратите внимание, на сколько оборотов закручен полученный экземпляр?
опыт №2
Закрутите Лист на 2 полуоборота(360 градусов) , и разрежьте его посередине. Что получается?
Опыт №3
Изготовьте Лист Мебиуса, который закручен на пол оборота (180 градусов), и начинайте его разрезать отступая все время одну треть от края.
Что получается на этот раз?
Опыт №4
Теперь изготовьте Лист Мебиуса, который закручен на 3 полуоборота (540 градусов), и разрежьте его пополам. У вас должен получиться Лист Мебиуса, который закручен узлом. Вроде этого, но сложнее:

Опыт №5
Интересные вещи так же получатся, если сложить бумагу гармошкой, затем скрутить из неё Лист Мёбиуса и резать пополам, или отступая одну треть. Первым делом сделайте гармошку, которая состоит из одного перегиба, образуйте лист Мебиуса поворотом на 360 градусов, и разрежьте посредине. Перед вами предстанут 3 сцепленных между собой кольца.

Вы делаете новые и новые Листы, а ведь не каждую полоску можно скрутить в Лист Мебиуса. Например, из квадратного листа бумаги Лист Мебиуса не получится. Тогда какое должно быть минимально отношение длины к ширине полоски, что бы из неё можно было склеить Лист Мебиуса?
Примем для ясности ширину полоски за 1. Оказывается, что минимальная длина полоски равняется v3, это приблизительно 1,73. Полученное значение равно второму «Золотому сечению».
Возникает логичный вопрос: Существуют ли ещё подобные объекты?
Да, существуют, и ещё более замысловатые. Если Лист Мебиуса – «условно двумерный объект» (он получен из плоской полоски), то его подружка - Бутылка Клейна полноправно занимает 3 измерения. Вот как она выглядит:

Запустите суда муравья, и бедняга побывает во всех точках Бутылки Клейна – не делая в ней дырок, и не переползая через край.
На всех рисунках показано следующее: в месте, где трубка «проникает в бутылку» - нет зазора, хотя это не правильно! Ведь если нет зазора, тогда муравей должен будет выползать из бутылки тем же маршрутом, каким он туда вползал. Разве бродя по Листу Мебиуса ему нужно было разворачиваться после того как он куда то дошёл? Бесконечность, она на то и бесконечность!
А почему мы только обходим Бутылку Клейна? Ведь Лист Мёбиуса мы резали вдоль и поперёк. Что же будет если разрезать Бутылку Клейна?

Это невероятно, но получился Лист Мебиуса. Резать, правда, нужно было так, что бы режущий предмет делал оборот в 360 градусов между начальной точкой и конечной.
Бутылка Клейна в трёх измерениях - это аналог Листа Мёбиуса в двух измерениях. Выше вы видели «многослойный» Лист Мебиуса - полученный склеиванием бумаги сложенной «гармошкой». А существуют ли «Многослойные» Бутылки Клейна? Как оказалось – существуют. Назовём их – Бутылки Макса (придумал автор статьи - ).
Вот – обычная Бутылка Клейна:

А теперь мысленно представьте себе, как внутри этой бутылки начинает формироваться новая Бутылка Клейна. Сначала внутри образуется «Бутылка Клейна» без «трубки» - бутылка с двумя отверстиями, затем образуется трубка, которая проникает в «трубку» иcходной «Бутылки Клейна», проходит всю «трубку», проникает через отверстие в только что сформировавшуюся «Бутылку Клейна». Затем трубка проникает во второе отверстие основной «Бутылки Клейна ». Находясь в задней части основной бутылки, «трубка» начинает медленно обволакивать исходную «Бутылку Клейна» превращаясь при этом в третью, самую большую «Бутылку Клейна».
Процесс доходит до «трубки» - изначальной «Бутылки Клейна» , и постепенно обволакивает её, затем эта «трубка» проникает только что сформировавшуюся «Бутылку Клейна», затем в исходную, затем в самую маленькую. Проникнув в самую маленькую «Бутылку Клейна », «трубка» доходит до отверстия и сливается с ним.
Получилось что самая маленькая «Бутылка Клейна» перешла в самую большую, и стала с ней одним целым.



