На правах рукописи
ПРОГРАММНО-АЛГОРИТМИЧЕСКОЕ ОБЕСПЕЧЕНИЕ ОЦЕНКИ
КАЧЕСТВА ИНФОРМАЦИОННОГО ОБМЕНА
В АВТОМАТИЗИРОВАННЫХ СИСТЕМАХ УПРАВЛЕНИЯ
ЖЕЛЕЗНОДОРОЖНЫМ ТРАНСПОРТОМ
05.13.06 – Автоматизация и управление
технологическими процессами и производствами
(на транспорте)
АВТОРЕФЕРАТ
диссертации на соискание учёной степени
кандидата технических наук
Ростов-на-Дону
2010
Работа выполнена на кафедре «Информатика» в государственном образовательном учреждении высшего профессионального образования «Ростовский государственный университет путей сообщения».
Научный руководитель:
Официальные оппоненты:
Ведущая организация:
- доктор технических наук, профессор
- доктор технических наук, профессор
- кандидат технический наук, доцент
Самарский государственный университет путей сообщения
Защита состоится « 28 » октября 2010 г. в 15.00 на заседании диссертационного совета Д 218.010.03 при Ростовском государственном университете путей сообщения г. Ростов-на-Дону, пл. Ростовского Стрелкового Полка Народного ополчения, 2, конференц-зал.
С диссертацией можно ознакомиться в библиотеке университета.
Автореферат разослан « 20 » сентября 2010 г.
Отзывы на автореферат в двух экземплярах, подписанные и заверенные печатью, просим направлять г. Ростов-на-Дону, пл. Ростовского Стрелкового Полка Народного ополчения, 2, диссертационный совет Д 218.010.03, ученому секретарю.
Ученый секретарь
диссертационного совета
д. т.н., профессор
Общая характеристика работы
Актуальность темы. Актуальность данного исследования обусловлена несколькими объективно существующими факторами.
Железнодорожный транспорт – важная народно-хозяйственная отрасль страны. Автоматизация железнодорожного транспорта ведется на протяжении последних десятилетий. За это время сменилось несколько поколений компьютерной техники, появились компьютерные сети. В связи с тем, что процесс перевозок невозможно остановить, модернизация оборудования и программного обеспечения (ПО) происходит поэтапно, существует несколько поколений действующих информационных систем (ИС) с разнородным оборудованием, информационным и программным обеспечением, которые непосредственно участвуют в автоматизации управления перевозками.
На начальных стадиях автоматизации перевозок информационный обмен осуществлялся только путем передачи текстовых сообщений, и к каналам связи, программному и аппаратному обеспечению автоматизированных систем управления железнодорожным транспортом (АСУЖТ) не предъявлялось особых требований. От современных систем требуется поддержка видеоконференций, предоставление отчетной и другой информации по многочисленным подсистемам, в том числе с графическим материалом. Последние сложившиеся тенденции таковы, что нагрузка на сеть увеличивается, трафик становится асинхронным, разнородным, и наблюдаются всплески информационных потоков. АСУЖТ, которые были спроектированы без учета этих особенностей, не отвечают требованиям качественного предоставления данных, информация подается несвоевременно, возникают проблемы надежности при передаче информации.
В связи с этим при анализе существующих систем и синтезе аппаратных структур и программного обеспечения модулей АСУЖТ актуальны задачи оценки качества их функционирования с точки зрения информационного обмена. В работе используется вероятностные методы анализа качества функционирования АСУЖТ, базирующиеся на современных достижениях в теории массового обслуживания, теории телетрафика и математических методов теории надежности технических систем.
В настоящее время процесс обеспечения качества функционирования современных АСУЖТ трудно осуществлять без применения комплекса моделей и алгоритмов, позволяющих дать оценку и в дальнейшем оптимизировать процессы сбора, хранения и передачи информации. Каждая АСУЖТ требует, как правило, разработки специальных алгоритмов, позволяющих учесть особенности и назначение системы. В то же время АСУЖТ должны удовлетворять потребности пользователей в своевременной, безошибочной и надежной передаче информации. То, насколько выполняются данные требования, и характеризует качество работы системы с точки зрения пользователя. В то же время, сбор, обработка и передача информации АСУЖТ – процессы довольно универсальные. Поэтому возможно создание алгоритмов, позволяющих оценить качество функционирования АСУЖТ по единым функциональным показателям. Также возможны сравнение и оптимизация процессов сбора, обработки и хранения информации для различных АСУЖТ.
Рассматриваемые в диссертационной работе алгоритмы полностью соответствуют принципу универсальности и могут служить (как доказано теоретически и экспериментально) для реализации вышеперечисленных требований.
К основным математическим методам разработки моделей и алгоритмов для оценки качества относятся теория вероятностей, математическая статистика, теория очередей, имитационное моделирование, теория телетрафика. Исследуемые в диссертационной работе проблемы весьма многогранны, поэтому требуют рассмотрения с различных позиций.
Большой вклад в вопросы автоматизации железнодорожного транспорта внесли труды , , С. В., Жаркова, , и многих других.
Имитационным моделированием на железнодорожном транспорте занимались такие ученые как , Е. Лещинский, ,
, и другие, имитационным моделированием информационных систем (в аспекте данного исследования) – В. Кельтон, , А. Лоу и др.
Ведущую роль в постановке и решении классических проблем теории очередей наряду с первыми исследованиями А. Эрланга сыграли работы и позднее исследования Э. Молины, Т. Фрая, а затем , Ф. Поллачека, В. Феллера, , К. Пальма, Д. Кендалла, Ф. Морзе, Л. Такача, Р. Сайски, П. Бёрка. Большое количество ученых внесли вклад и в развитие данной теории. Среди них , , Л. Клейнрок, , Д. Литтл.
Изучениею самоподобия трафика посвящены работы , , среди иностранных авторов следует выделить И. Добеши, И. Мейера. Исследования поведения сетевого трафика широко проводятся некоторыми западными исследовательскими и образовательными учреждениями, такими как Университет в Бостоне, Университет Беркли, Университет Северной Каролины и другие.
При решении задач анализа качества обслуживания в телекоммуникационных системах, на базе которых строятся современные АСУЖТ, важнейшими характеристиками становятся законы распределения случайных величин и случайные процессы, в соответствии с которыми происходит поступление требований в систему и их обслуживание. В этой области следует отметить работы , Б. Мандельброта, , В. Феллера, , .
Практические аспекты реализации предложенных в работе алгоритмов оценки показателей качества воплощены в комплексе программных средств, разработка которых выполнялась с учетом сложившейся теории и языков компьютерного моделирования. Такие работы выполнялись Г. Бучем, Дж. Гордоном, В. Кельтоном, А. Лоу, Е. Сейджвиком и в дальнейшем позволили использовать объектно-ориентированные принципы при создании систем имитационного моделирования и программирования.
Таким образом, в диссертационной работе выявлены основные задачи, связанные с созданием системы оценки качества информационного обмена в АСУЖТ, для решения которых необходима разработка теоретических основ и прикладных методов анализа и повышения эффективности и надежности на этапах их проектирования, внедрения и эксплуатации.
В качестве объекта исследования в работе выступают информационные системы железнодорожного транспорта, в частности, Автоматизированная система оперативного управления перевозками (АСОУП).
Цель и задачи исследования. Основной целью работы является разработка методологии исследования процессов передачи информации и проектирования надежных автоматизированных систем управления, обеспечивающих устойчивый информационный обмен, а также создание комплекса алгоритмов по оценке качества АСУЖТ и адаптация данного комплекса к АСОУП.
Для достижения поставленной цели необходимо решение следующих задач.
1. Разработка системы показателей, позволяющих оценить качество функционирования АСУЖТ с позиций технологических процессов информационного обмена с учетом его своевременности и надежности.
2. Разработка алгоритмов оценки показателей, указанных в п. 1.
3. Выявление наличия свойств самоподобия и сильного последействия в телекоммуникационном трафике сети передачи данных на железной дороге и оценке степени влияния этих свойств на качество функционирования АСУЖТ.
4. На основе теоретических результатов анализа телекоммуникационного трафика АСУЖТ разработка модели трафика АСОУП.
5. Разработка методики анализа информационного обмена, позволяющей повысить эффективность и надежность АСУЖТ на этапе их проектирования.
6. Создание программного комплекса для оценки качества функционирования и анализа трафика АСУЖТ.
7. Экспериментальная проверка разработанных теоретических подходов и положений на адекватность в практических задачах (в частности, применительно к АСОУП).
Методы исследования основываются на использовании фундаментальных исследований в области теории вероятностей, в частности, теории массового обслуживания, математической статистики, теории телетрафика, теории надежности. При разработке алгоритмов и программного комплекса использовалась объектно-ориентированные технологии.
Исследования в диссертационной работе проводились согласно следующим пунктам паспорта специальности 05.13.06 – Автоматизация и управление технологическими процессами и производствами (на транспорте):
- п.4 – «Теоретические основы и методы математического моделирования организационно-технологических систем и комплексов, функциональных задач и объектов управления и их алгоритмизация».
- п.8 – «Формализованные методы анализа, синтеза, исследования и оптимизация модульных структур систем сбора и обработки данных в АСУТП, АСУП, АСТПП и др».
- п.9 – «Методы эффективной организации и ведения специализированного информационного и программного обеспечения АСУТП, АСУП, АСТПП и др., включая базы и банки данных и методы их оптимизации».
- п.13 – «Теоретические основы и прикладные методы анализа и повышения эффективности, надежности и живучести АСУ на этапах их разработки, внедрения и эксплуатации».
Научная новизна диссертационной работы состоит в обобщении вопросов, связанных с оценкой качества мультисервисного информационного обмена в АСУЖТ, применении полученных результатов к отраслевой системе АСОУП, разработкой новых алгоритмов для оценки своевременности информации и синтеза надежных структур устойчивого информационного взаимодействия с возможностями анализа абонентских задержек. Предложенная методика и алгоритмы комплексной оценки качества информационных услуг используют способы анализа её телетрафика, базирующиеся на современных научных методах.
К наиболее значимым научным результатам диссертационной работы следует отнести следующие:
– разработана структура показателей качества для оценки многомашинной модульной автоматизированной системы оперативного управления перевозками;
- разработаны алгоритмы анализа качества функционирования АСУЖТ, предназначенные для оценки своевременности предоставления информации, анализа абонентских задержек;
- разработана методология оценки надежности АСУЖТ на этапе проектирования с учетом показателей информационного обмена;
- разработаны формализованные методы анализа качества обслуживания в сетевых автоматизированных системах управления с неоднородным трафиком;
- произведена проверка адекватности модели трафика АСОУП.
Практическая ценность диссертационной работы заключается в разработке программного обеспечения по каждому из созданных теоретических алгоритмов, применении рассмотренных теоретических методов к отраслевой информационной системе АСОУП. Достигнуты следующие практические результаты:
- разработан программный комплекс по оценке качества автоматизированной системы;
- разработана программа для анализа телетрафика;
- проведены экспериментальные исследования имеющейся статистики трафика АСОУП;
- разработанные автором программы применены для оценки качества отраслевой системы АСОУП.
Достоверность научных и практических результатов работы. Полученные в диссертационной работе выводы и результаты строго аргументированы. Разработанные алгоритмы основываются на известных методах теории вероятности, теории массового обслуживания, фрактальной теории. Экспериментальные исследования и имитационные эксперименты, проведенные в работе, позволяют подтвердить достоверность достигнутых теоретических результатов и выводов.
Реализация результатов работы. Результаты работы прошли успешную апробацию в центре специальных перевозок на Северо-Кавказской железной дороге (СКЖД), получено свидетельство об отраслевой регистрации разработки программы для анализа трафика.
Диссертационная работа и её отдельные разделы докладывались и обсуждались на семинарах кафедр «Информатика», «Вычислительная техника и автоматизированные системы управления» Ростовского государственного университета путей сообщения (РГУПС), на Всероссийских научно-практических конференциях «Транспорт-2005», «Транспорт-2008» (г. Ростов-на-Дону); Восьмой Международной научно-практической конференция «Моделирование. Теория, методы и средства» (г. Новочеркасск, 2008 г.); Седьмой Международной научно-технической конференции «Информационно-вычислительные технологии и их приложения» (г. Пенза, 2008 г.). По результатам теоретических исследований диссертационной работы издано учебное пособие.
Публикации. По материалам диссертации опубликовано 14 работ, из них 4 в изданиях, рекомендованных ВАК. Программное обеспечение зарегистрировано в отраслевом фонде алгоритмов и программ (ОФАП).
Структура и объем работы. Диссертация состоит из введения, 5 глав, заключения, приложения, списка литературных источников.
СОДЕРЖАНИЕ РАБОТЫ
Во введении обоснована актуальность темы работы, обозначены цель и задачи исследования, научная новизна и практическая ценность.
В главе 1 произведен анализ современного состояния автоматизации, информатизации железнодорожного транспорта. Разработана система показателей качества функционирования АСУЖТ и выявлены наиболее значимые для исследования факторы. Дано описание объекта исследования, рассмотрена теоретическая база систем массового обслуживания и фрактальной теории. Выявлены особенности построения алгоритмов.
Объектом исследования настоящей работы являются АСУЖТ, в качестве частного случая выступает АСОУП.
Комплекс АСОУП содержит данные обо всех основных эксплуатационных событиях с грузами, вагонами, поездами, локомотивами и локомотивными бригадами. Ресурс был создан в 1983 году и в настоящее время постоянно обновляется, пополняется новыми данными.
Структурная схема АСОУП представлена на рис. 1.
АСОУП является центром всей системы управления перевозками на дороге и обеспечения оперативной и достоверной информации аппарата .
По понятным причинам качество АСУЖТ во многом зависит от того, насколько грамотно были отслежены возможные дефекты на этапе проектирования системы. Все «упущения» проявляются в дальнейшем в процессе эксплуатации – в результате комплексной работы технических и программных средств, персонала. Развитием иерархического подхода является представленная на рис. 2 обобщенная структура показателей качества АСУЖТ.

Рис. 1. Структурная схема АСОУП

Рис. 2. Обобщенная структура показателей качества АСУЖТ
В рамках проводимой работы нет необходимости для детального рассмотрения существующих различных способов классификации информации. Выделим только те признаки информации, которые существенно влияют на эффективность управленческих решений: своевременность, надежность, эффективность работы телекоммуникационных каналов. Наличие этих признаков обусловливает, как правило, и эффективность АСУ в целом.
Задержка в поступлении информации к конкретному пользователю приводит к потере основного ее свойства – ценности. Более того, несвоевременно полученная информация может оказаться не только бесполезной, но и привести к принятию неверных решений. Важным качеством функционирования любой системы является её надежность. Очевидно, что недостаточно надежно работающая система не может качественно выполнять свои функции, особенно в задачах управления перевозочными процессами.
Эффективная работа телекоммуникационных каналов напрямую обусловливает качество информационного обмена и во многом – качество функционирования системы в целом.
Глава 2 посвящена разработке адекватных алгоритмов для оценки качества информационной системы. Созданы алгоритмы для оценки своевременности представления информации (включая анализ абонентских задержек) и оценки надежности функционирования сетей передачи данных на транспорте.
Своевременность представления запрашиваемой информации – свойство информационной системы обеспечить представление требуемой информации в заданные сроки, гарантирующие выполнение соответствующей функции согласно целевому назначению системы.
Для оценки своевременности представления информации предлагается в общем виде процессы информационного обслуживания формализовать как процессы массового обслуживания со следующими предположениями:
1. Поток заявок на обслуживание является пуассоновским.
2. Буфер имеет бесконечное число мест для ожидания (не переполняется).
3. Система функционирует надежно (безотказно).
Каждое из данных предположений может быть обосновано.
Предположение 1 объясняется тем, что среди потоков типа Пальма пуассоновский поток ставит систему обслуживания в наиболее жесткие условия функционирования и для показателей времени ожидания заявок в очередях дает верхние оценки. Более того, потоки заявок одного типа представляют собой, как правило, сумму большого числа потоков от различных источников. Интенсивность каждого из слагаемых потоков мала по сравнению с интенсивностью суммарного потока – в такой ситуации действует предельная теорема Хинчина, согласно которой суммарный поток будет пуассоновским. Приведенные выше соображения, а также результаты статистических исследований, проводимые в ходе анализа реальных АСУЖТ, свидетельствует о возможности использования допущения о пуассоновости потоков заявок на обслуживание в некоторых типах задач.
Предположение 2 легко обосновать тем, что в современных условиях развития вычислительной техники и информационных технологий выделение памяти буферов и баз данных, которые гарантируют отсутствие потерь информации из-за их вероятного переполнения, не составит особого труда. В частности, для рассматриваемой нами информационной системы объём буфера в 10 гигабайт уже позволяет не задумываться о его переполнении.
Предположение 3 обосновывается тем, что, оценивая характеристики своевременности, мы будем говорить об условной вероятности своевременного представления информации, то есть информация представляется пользователями при условии, что система выполняет все свои функции надёжно (безотказно).
Пусть заданы необходимые требования по своевременному предоставлению информации: Tзад.i – допустимое время обработки запросов i-го типа (время реакции системы); Рзад.i – минимально допустимая вероятность своевременной обработки запросов i-го типа.
Введём обозначения: Тобщ.i – среднее время реакции системы на запрос i-го типа (полное время обработки, включающее время ожидания в очереди и самой обработки); Робр.i – вероятность своевременной обработки запросов i-го типа за заданное время Tзад.i.
Запрашиваемая информация i-го типа считается представленной своевременно в соответствии с критерием среднего времени обработки, если
– критерий 1.
Запрашиваемая информация i-го типа считается представленной своевременно в соответствии с вероятностным критерием, если
, где
– реальное время реакции системы на запросы i-го типа – критерий 2.
Вероятность своевременной обработки для любой (приоритетной и бесприоритетной) технологии аппроксимируется следующим образом:
(1)
где гамма-функция:
(2)
Значение
рассчитывается по формуле:
. (3)
Здесь i – условный тип запросов на обработку;
,
– 1-й и 2-й моменты времени пребывания запросов на обслуживании в системе с учетом ожидания.
Относительная доля своевременно обработанных в системе запросов всех типов (D) определяется по формуле:
(4)
где λi – интенсивность запросов i-го типа на обработку в системе.
Относительная доля своевременно обработанных запросов только тех типов, для которых выполняется требование заказчика (K), рассчитывается по формуле:
(5)
= (для i-го типа используется критерий 1 и
);
= (для i-го типа используется критерий 2 и
).
Алгоритм для оценки своевременности предоставления информации
1. Задаем количество потоков информации I.
2. Начало цикла для
.
2.1 Ввод исходных данных
,
(среднее время обработки запроса i-го типа в свободной системе), Tзад.i , Рзад.i .
2.2 Выбираем критерий к своевременности: по среднему времени пребывания запроса на обработке, по вероятности своевременной обработки.
2.3 По формуле (2) производим расчет
.
2.4 Рассчитываем значение
по формуле (3).
2.5 Вычисляем
(1).
2.6 Рассчитываем D по формуле (4).
2.7 Рассчитываем K по формуле (5).
3. Конец цикла для i.
Существенную роль при оценке своевременности представления информации может играть время передачи в обе стороны (абонентские задержки).
Анализ абонентских задержек может быть проведен согласно следующему алгоритму, описывающему функционирование базовой сети, которая включает N каналов передачи данных и К узлов коммутации пакетов.
Введем ряд упрощающих предположений. Предположим, что времена обслуживания в каналах независимы, то есть длина пакета, поступающего в i-й канал, выбирается независимо в соответствии с плотностью распределения
, где 1/l – средняя длина пакета, байт.
Процесс поступления пакетов в сеть является пуассоновским, где
– интенсивность поступления пакетов, пакетов/с, a – номер пары узлов источник-адресат.
Пары упорядочены по номерам от 1 до A. Маршрут пакетов, передаваемых в а-й паре источник-адресат, задается матрицей
. Здесь
– вероятность того, что по окончании обслуживания в i-м канале пакет пары а поступит в j-й канал (
).
Задавая различными способами матрицу
, определяют тип маршрутизации пакета в сети (например, если используются постоянные виртуальные соединения и фиксированная маршрутизация, то соответствующие элементы
принимают только два значения: 0 и 1). Предположим также, что объем буфера не ограничен, и подтверждение об успешной доставке пакета передается мгновенно.
Таким образом, имеем разомкнутую неоднородную сеть массового обслуживания, моделирующую работу базовой сети передачи данных, в которую поступают a пар пуассоновских потоков пакетов с интенсивностями
. Маршрут каждого из них характеризуется матрицей
. Функция распределения длительности обслуживания пакетов a-й пары в i-м центре сети массового обслуживания (
), который моделирует соответствующий канал передачи данных, является экспоненциальной с параметром
(пакетов/с), где Wi – пропускная способность i-го канала (бит/с); 1/la – средняя длина пакета.
Исходя из сделанных предположений, получаем следующий алгоритм:
1. Задаем число каналов связи N.
2. Функция формирования матрицы
.
3. Начало цикла для a.
3.1 Вводим
.
3.2 Упорядочиваем пары по номерам от 1 до A.
3.3 Начало цикла для
.
3.3.1 Задаем Wi.
3.3.2 Рассчитываем интенсивность потока пакетов, поступающих в i-й канал
.
3.3.3 Находим общий поток пакетов, поступающих в i-й канал
,
и поток пакетов, идущих в сеть извне:
.
3.3.4 Вычисляем загрузку i-го канала пакетами класса a, 
и общую загрузку канала i:
.
3.3.5 Определяем среднее количество пакетов в сети (в целом)
и среднее число пакетов a-го класса в i-м канале
.
3.3.6 Получаем среднюю задержку пакетов a-го класса в i-м канале, используя формулу Литтла:
.
3.3.7 Абонентская задержка пакетов a-го класса определяется как сумма задержек в каждом канале маршрута
:
.
3.3.8 Находим второй момент длительности задержки
:
.
3.4 Конец цикла для i.
3.5 Определяем среднюю задержку пакетов в сети как взвешенную сумму абонентских задержек по всем маршрутам:
.
4. Конец цикла для а.
Как уже отмечалось выше, АСОУП является неотъемлемой частью информационной среды железной дороги, функционирующей в сети передачи данных. Очевидно, данная сеть является сложным программно-аппаратным объектом с разветвленной инфраструктурой и большим числом узлов и абонентов. В настоящее время сеть передачи данных дороги постоянно модернизируется и расширяется. Естественно, что от того, насколько надежна данная система, зависит не только работа АСОУП, но и всей отрасли в целом. Поэтому одним из ключевых вопросов являются методы, применяемые при расчете надежности.
Точный расчет надежности сети с произвольной структурой по существу сводится к полному перебору возможных состояний каналов связи, то есть даже для сравнительно небольших сетей становится громоздким. Поэтому для расчета надежности сетей обычно используют приближенные методы, в частности, метод минимальных путей и минимальных сечений, который позволяет рассчитывать двусторонние оценки показателей надёжности.
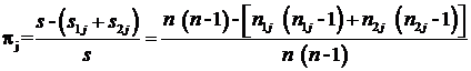
Если каким-либо образом удаётся оценить потери pj из-за отсутствия связи между абонентов при отказе j-го минимального сечения, то в качестве показателя надёжности целесообразно использовать математическое ожидание потерь от отказов
(6)
Например, если объем обмена информацией между любыми двумя абонентами примерно одинаков, то потери в обмене информацией пропорциональны количеству разорванных связей. В полностью связанном графе, состоящем из n узлов, имеет место s = n (n-1)/2 связей. Любой разрез графа делит его на две несвязанные между собой части, внутри которых связи сохраняются, то есть получается два подграфа из n1 и n2 узлов, n1+n2=n. При этом остаются целыми
и
связей. Доля потерянных связей
j для j-го минимального сечения равна
,
и математическое ожидание относительных потерь от нарушения связности сети легко рассчитывается по формуле (6).
Следует отметить, что метод минимальных путей и минимальных сечений рассчитан для информационных сетей «условной» структуры. На практике широко известны сети, объединенные посредством топологий кольцо, звезда, общая шина и т. д. Произведем расчет для сети с кольцевой топологией.
Пусть сеть имеет структуру, показанную на рис. 3. То есть сеть состоит из n – узлов и m – абонентов. Для данного примера n=6, m=3 у каждого узла (для простоты расчета). В состав сети включен сервер, отказ которого приводит к невозможности доступа к сетевой информации и соответственно к отказу всей сети.

Рис. 3. Структура сети с кольцевой топологией
Декомпозиция нашей надёжностной структуры сети с кольцевой топологией представлена на рис. 4.


Рис. 4. Декомпозиция надёжностной структуры сети с кольцевой
топологией с абонентами во всех узлах методом минимальных сечений
Оценка вероятности отказа для схемы рис.4. равна
![]()

При отказе сервера происходит отказ всей сети, то есть
, при отказе одного узла из строя выходят 3 компьютера, а при отказе двух узлов, соответственно, 6.
Так как данная система восстанавливаемая, то в сечении имеем Марковский процесс, и коэффициент простоя вычисляется по формуле (7)
. (7)
Тогда для данной структуры (рис.4) формула (6) примет вид:

Обобщенный показатель – математическое ожидание потерь от отказов при использовании метода декомпозиции по минимальным сечениям позволяет оценивать надёжность информационных сетей при самых общих предпосылках, например, учесть реальный объем обмена информацией между абонентами, ограничения на размеры транзита, симплексной связи и т. п.
В главе 3 выполнен анализ факторов неоднородности трафика, влияющих на модель самоподобного процесса, предложены алгоритмы для анализа трафика при наличии свойства долговременной зависимости и тяжелого хвоста распределения. Рассмотрен подкласс субэкспоненциального распределения. На основе описанных методов и разработанной автором программы TrafficManager исследованы информационные потоки АСУЖТ. Произведено формирование и агрегирование исходных данных, выполнен графический анализ путем построения функции распределения и проверка по различным критериям согласия на соответствие нормальному закону.
Особенностью транспортных систем является использование периодически повторяющейся (однотипной) информации, связанной со спецификой перевозочного процесса. Так наблюдается сезонная, суточная, квартальная периодичность данных. Другая особенность АСУЖТ – циклически возникающие перегрузки сети (например, вследствие окончаний отчетных периодов, во время проведения видеоконференцсвязи и т. п.). Целью дальнейших исследований является исследование указанных закономерностей информационных процессов АСУЖТ.
В качестве исследуемых исходных данных выступают информационные потоки системы АСОУП. В основе экспериментальной проверки свойств информационных потоков лежат параметрические методы статистической оценки выборочных характеристик, дополненные методами, предназначенными для работы с телекоммуникационным трафиком. В качестве выборочных значений случайного процесса измерялись следующие характеристики сетевого трафика исследуемой системы:
1) межпакетное время прибытия дейтаграмм на сетевой интерфейс сервера системы;
2) размер файлов, передаваемых сервером в ответ на запросы пользователей.
Выполним построение функции распределения. Упорядоченные по возрастанию данные из экспериментальной выборки
наносятся на ось абсцисс, и строится ступенчатая функция, возрастающая скачками величины
в каждой точке, так что
. Для выборок первого и второго вида,
показаны, соответственно, на рис. 5 и 6.


Рис. 5.Функция распределения времени прибытия дейтаграмм


Рис. 6. Эмпирическая функция распределения размеров файлов
Сравнивая их с функциями распределений для выборок нормальных и экспоненциальных случайных величин (рис. 7) можно заметить существенные отличия.
Виды функций на рис. 5 и 6 показывают, что эмпирические распределения времени прибытия дейтаграмм и размера файлов имеют вид, отличный от нормального и экспоненциального распределений.
Обратим внимание, что функция на рис. 6 имеет вид функции распределения с тяжелым хвостом, что отслеживается по оси абсцисс (величина масштаба представляемых значений по оси абсцисс имеет порядок 106, и такие значения встречаются достаточно редко, в хвосте распределения). Однако и на рис. 5 хвост распределения убывает медленнее, чем экспоненциальный.
![]()


Рис. 7. Функции распределений для выборок нормальных
и экспоненциальных случайных величин
Применение различных критериев согласия показывает, что исследуемые выборки не соответствуют нормальному закону распределения.
Важным параметром, характеризующим «степень» самоподобия случайного процесса является оценка показателя Харста. Параметр Харста находится в интервале 0,5<H<1. Для процессов, не обладающих свойством самоподобия, параметр Харста равен величине в 0,5. А для фрактальных процессов с долгосрочной (долговременной) зависимостью данный параметр изменяется в пределах от 0,7–0,9, что означает проявление зависимости между событиями через достаточно большие промежутки времени.
Самая известная из таких оценок основывается на следующих рассуждениях. Рассматривается выборка величиной n анализируемых данных
, для которой определяется выборочное среднее

и выборочное стандартное отклонение
.
Обозначив
, получаем нормированные порядковые статистики
, которые в случае наличия в данных свойства автомодельности будут эквивалентны ![]()
, с=const,
. Рассматривая выборку из n значений и разбивая ее на k неперекрывающихся блоков, можно построить график зависимости
от
, где
, …,
По углу наклона прямой относительно оси абсцисс можно оценить величину показателя Харста.
Далее рассмотрены самоподобные модели, проявляющие свойство долговременной зависимости. Во многих вопросах, касающихся работы с сетями, присутствие или отсутствие долговременной зависимости играет определяющую роль в поведении, предсказанном аналитическими моделями.
Выполнен анализ трафика при наличии хвоста распределения. При построении модели распределения с «тяжелым хвостом» необходимо воспользоваться надежным методом оценки параметра, определяющего степень тяжести хвоста. Одной из таких оценок является оценка Хилла.
Под распределением с тяжелым хвостом понимается распределение F, удовлетворяющее следующему условию F(x)~x-αL(x) x®∞, α>0, где L – медленно меняющаяся функция, такая что
,
.
Пусть
– стационарная последовательность с одномерным распределением F. Основной задачей является оценка необходимого параметра
, которую можно выполнить при помощи названной оценки Хилла, следующим образом.
Пусть
– независимые одинаково распределенные случайные величины с функцией распределения F.
– порядковые статистики. Предположим, что F имеет тяжелый хвост.
Функция
, k<n , – оценка Хилла.
В данном случае используется только k порядковых статистик, так как лучше производить выборку из той части распределения, которая приблизительно выглядит как Парето. Объясним подробнее: набор
распределен как порядковые статистики из выборки размера k, и хвост распределения имеет вид
,
. Если
большое, то
~x- α.
Если
,
, а
, то
. (8)
Из условия, накладываемого на номера порядковых статистик, не ясно, как получить результат (8). Здесь можно выбрать оптимальное k, минимизирующее среднеквадратическую ошибку.
Далее выполнен анализ статистических данных по потокам информации с применением графических методов, а также – разработанной программы «TrafficManager», на основании которого сделаны выводы о наличии пиковых нагрузок в подсистемах телекоммуникаций, их периодичности, наличии свойств самоподобия и сильного последействия.
Глава 4 содержит описание созданного автором на основе разработанных алгоритмов программного комплекса по оценке качества АСУЖТ. Проиллюстрированы основные модули по оценке своевременности и надежности, приведены элементы интерфейса и дано руководство по эксплуатации. Также рассмотрена авторская программа для анализа трафика и изложены рекомендации по работе с ней.
Программный комплекс разработан с использованием объектного языка программирования Object Pascal и реализован в среде программирования DELPHI. В состав комплекса включен набор алгоритмов, рассмотренных в главах 2 и 3 диссертационной работы, и состоит из соответствующих модулей и окон для необходимых расчетов. К достоинствам комплекса следует отнести удобный пользовательский интерфейс, который позволяет эксплуатировать комплекс любому пользователю (без специальной подготовки). В основе расчетов лежит ряд математических функций, используемых при построении алгоритмов глав 2 и 3, есть возможность сохранить все полученные результаты (включая графики) в файл, с именем и местом расположения заданным пользователем. Например, программный модуль построения схемы для оценки надежности моделируемой системы показан на рис. 8.

Рис. 8. Интерфейс программного модуля построения схемы для оценки
надежности моделируемой системы
При выборе вариантов построения модели системы пользователь получает обоснованные решения.
В главе 5 выполнено практическое применение полученных в предыдущих главах результатов к отраслевой информационной системе АСОУП. Произведена оценка своевременности на примере заявок АСОУП, а также оценка надежности и всесторонний анализ трафика указанной системы. Согласно описанному методу была проведена комплексная оценка своевременности представления информации АСОУП пользователям системы.
Минимальная вероятность своевременного получения информации в течение суток наблюдается с 6 до 7 часов утра и с 16 до 18 часов вечера (график значений исходящего трафика АСОУП при разбиении статистики по суткам представлен на рис. 9).
Если рассмотреть загруженность системы по дням недели, то обнаруживается, что по средам анализировать своевременность представления информации часто вообще не представляется возможным (из-за проведения технического часа и соответственно временного отказа доступа пользователям к АСОУП). Очередь может накапливаться также из-за проблем со связью (линией) на отправляющей стороне, неправильных настроек и т. п. В технический час (по средам с 11 часов до 11 часов 40 мин.) администратор системы удаляет такие сообщения из очереди – «чистит очередь». Встречаются случаи, когда программа телеобработки не может найти начало и конец очереди. При этом она будет пытаться устранить данную проблему, постоянно читая заголовочные файлы, что существенно тормозит всю систему. Проблема решается «чисткой» этих сообщений и установкой количества дней хранения.

Рис. 9. Анализ исходящего трафика АСОУП при разбиении
статистики по суткам
В качестве примера для оценки надежности рассмотрим функционирование отраслевой сети (с точки зрения пользователя, работающего в одной из ЛВС). В каждой из ЛВС функционирует АСОУП, при этом ввод-вывод данных происходит из АРМа отправителя либо получателя.
Проведенные исследования показывают, что вероятность безотказной работы данной сети в течение указанного срока составит: за сутки – 0,99; за неделю – 0,94; за месяц – 0,77-0,8. Данные значения говорят о достаточной надежности исследуемой системы. Однако если принять во внимание вероятность безотказной работы в течение месяца (результаты расчетов при работе системы за месяц представлены на рис.10), то показатель на уровне 0,8 свидетельствует о возможных неполадках в соединении либо в сбоях при передаче информации за указанный период.

Рис. 10. Результаты расчетов при работе системы за месяц
На основе анализа трафика АСОУП, были сделаны следующие выводы:
1. Трафик в системе АСОУП является фрактальным процессом с долгосрочной зависимостью.
2. Показатель Харста изменяется в пределах от 0,597 до 0,934.
3. При росте интенсивности трафика растет и коэффициент самоподобия.
В заключении приведены основные теоретические и практические результаты работы.
В приложении приведены акты о внедрении результатов диссертационного исследования и классификаторы сообщений АСОУП.
ОСНОВНЫЕ РЕЗУЛЬТАТЫ РАБОТЫ
В диссертационной работе решена задача создания комплекса алгоритмов и программ по оценке качества АСУЖТ с применением математического аппарата теории телетрафика, теории очередей, а также адаптации данного комплекса к АСОУП. Основные результаты работы могут быть сформулированы в виде следующих теоретических и практических выводов:
1. Выявлены показатели качества автоматизированных информационно-управляющих систем.
2. Разработаны математические методы и алгоритмы, позволяющие оценить качество функционирования АСУЖТ с позиций технологических процессов информационного обмена с учетом его своевременности и надежности.
3. Разработаны методы экспериментальной проверки указанных алгоритмов.
4. Разработан, внедрен и адаптирован программный комплекс по оценке качества АСУЖТ.
5. С использованием созданного программного комплекса произведен анализ АСОУП, позволяющий оценить качество указанной системы и выявить существующие недостатки.
6. Произведен комплексный анализ трафика АСОУП, на основании которого сделаны выводы о наличии пиковых нагрузок в подсистемах телекоммуникаций, их периодичности, наличии свойств самоподобия и сильного последействия.
Разработанные в диссертационной работе методы и алгоритмы позволяют оценить, насколько качественно функционирует та или иная АСУЖТ, выявить её слабые стороны, а также построить модели «идеальной» АСУ (с заданными характеристиками) на этапе её проектирования.
ОСНОВНЫЕ ПУБЛИКАЦИИ ПО ТЕМЕ ДИССЕРТАЦИИ
Публикации в периодических изданиях, рекомендованных ВАК РФ
для изложения результатов кандидатских диссертаций:
1. Вероятностный анализ своевременности предоставления информации в автоматизированных системах управления железнодорожным транспортом. // Вестник Ростовского государственного университета путей сообщения, 2008.– № 4. – С. 87 – 94.
2. , Исследование свойства сильного последствия в телекоммуникационном трафике. Обозрение прикладной и промышленной математики. – М.: Т. 15. Вып. 5. – 2008. – С. 863 – 864.
3. , , А. Расчет надежности функционирования отраслевых информационных сетей. // Известия вузов. Сев.-Кав. регион. Сер. Техн. науки, 2009. – № 5. – С. 32 – 37.
4. , , Модели оценки параметров телекоммуникационного трафика в автоматизированных информационно-управляющих системах // Вопросы современной науки и практики. Ун-т им. . – 2010. – № 4-6(29). – С. 71 – 87.
В других изданиях:
5. Математическая модель корпоративного Web-портала // Актуальные проблемы развития железнодорожного транспорта. Сборник научных трудов молодых учёных, аспирантов и докторантов. – Ростов н/Д: РГУПС, 2005. – С. 76 – 82.
6. Обзор современных многопроцессорных систем. // Труды Всероссийской научно-практической конференции «Транспорт–2005». Ч. 1. – Ростов н/Д: РГУПС, 2005. С. 81 – 82.
7. Рекуррентный поток отказов-восстановлений информационных систем // Труды Всероссийской научно-практической конференции «Транспорт–2005». Ч. 1. – Ростов н/Д: РГУПС, 2005. С. 83 – 84.
8. , Анализ работы разводного железнодорожного моста в Ростове-на-Дону // Труды РГУПС, 2008. – № 3(7). – С. 72 – 76.
9. Моделирование телекоммуникационного трафика в автоматизированной системе оперативного управления перевозочным процессом железнодорожного транспорта. // Восьмая Международная научно-практическая конференция «Моделирование. Теория, методы и средства». Ч. 2. – Новочеркасск, 2008. – С. 82 – 91.
10. Расчет показателя Харста в самоподобных (фрактальных) моделях трафика // Седьмая международная научно-техническая конференция «Информационно-вычислительные технологии и их приложения». – Пенза, 2008. – С. 32 – 34.
11. Статистические характеристики автоматизированной системы оперативного управления перевозочным процессом Северо-Кавказской железной дороги // Труды Всероссийской научно-практической конференции «Транспорт–2008». Ч. 1. – Ростов н/Д: 2008. – С. 65 – 66.
12. Статистические характеристики файлового сервера локальной вычислительной сети РГУПС // Труды РГУПС, 2009. – № 1(8). – С. 76 – 80.
13. Информационные системы железнодорожного транспорта. Учебное пособие. – Ростов н/Д, 2009. – 55 c.
14. Программа для анализа трафика TraficManager. Отраслевой фонд алгоритмов и программ Госкоорцентра информационных технологий Министерства образования РФ. № гос. регистрации 11274. – М.: ВНТИЦ, 2008.
Личный вклад автора в работах, выполненных в соавторстве
/2/ – анализ трафика; /3/ – расчет надежности сетей с реальной структурой; /4/ – алгоритмы анализа трафика, вычислительные эксперименты; /8/ – сбор и анализ статистических данных.
ПРОГРАММНО-АЛГОРИТМИЧЕСКОЕ ОБЕСПЕЧЕНИЕ ОЦЕНКИ КАЧЕСТВА ИНФОРМАЦИОННОГО ОБМЕНА В АВТОМАТИЗИРОВАННЫХ СИСТЕМАХ УПРАВЛЕНИЯ ЖЕЛЕЗНОДОРОЖНЫМ ТРАНСПОРТОМ
Автореферат диссертации на соискание ученой
степени кандидата технических наук
Подписано к печати 17.09.2010 г. Формат бумаги 60x84/16
Бумага офсетная. Ризография. Усл. печ. л. 1,0.
Тираж 100. Заказ № 000
Ростовский государственный университет путей сообщения.
Ризография РГУПС.
Адрес университета: Ростов н/Д, пл. Ростовского Стрелкового Полка
Народного Ополчения, 2.



