Муниципальное образовательное учреждение
Средняя общеобразовательная школа № 000
Ленинского района города Н. Новгорода
Научное общество учащихся
«Исследование неньютоновской жидкости на примере крахмала»
Выполнил: Голубев Иван
Ученик 10 а класса
Научный руководитель:
учитель химии
Н. Новгород
2011
Содержание:
Стр.
Введение. ….
ГЛАВА 1: Теоретическая часть
1.1 Что такое неньютоновские и ньютоновские жидкости? ….
1.2 Раствор крахмала (неньютоновская жидкость) – как полисахарид ….
1.2.1 Полисахариды ….
1.2.2 Крахмал ….
1.2.3 Качественная реакция ….
1.2.4 Модификации крахмала ….
1.2.5 Значение крахмала ….
1.2.6 Другие неньютоновские жидкости ….
1.3 Применение ….
ГЛАВА 2: Практическая часть
2.1 Доказательство, что исследуемая жидкость – крахмал ….
2.2 Исследование свойств неньютоновской жидкости ….
Заключение ….
Приложение ….
Список литературы ….
Рецензия ….
Введение
На кухне, помимо приготовления еды, можно ставить и всяческие интересные эксперименты. Один из них - свойства неньютоновской жидкости. Скажу кратко, что такая жидкость ведет себя по-разному в зависимости от воздействия. Если на нее воздействовать резко, сильно, быстро - она проявляет свойства, близкие к свойствам твердых тел, а при медленном воздействии становится жидкостью. Наверняка вы сталкивались с такой жидкостью, когда готовили овсяный кисель. При загущении киселя крахмал размешивается с небольшим количеством жидкости и, возможно, вы замечали, что такая штука как-то плохо размешивается, ощущение, что остаются комочки и крахмал все время оседает. Это особенно заметно, если мешать быстро, чувствуется сопротивление. А если мешать медленно, то жидкость однородная. О том, насколько это ново и актуально в современном мире, предлагаю узнать из моей работы.
1.1 Что такое неньютоновские и ньютоновские жидкости?
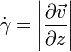
Неньютоновской жидкостью называют жидкость, при течении которой её вязкость зависит от градиента скорости. Обычно такие жидкости сильно неоднородны и состоят из крупных молекул, образующих сложные пространственные структуры.
Реологические модели жидкостей
Классификация производится по зависимости вязких напряжений от скорости сдвига (градиента скорости)
, где
— скорость течения.
Ньютоновская жидкость — линейный закон: ![]()
Степенная жидкость — нелинейная, закон степенной: ![]()
Псевдопластик — n < 1, при медленных движениях вязкость велика, затем убывает.
Дилатантная жидкость — n > 1, вязкость растёт с увеличением скорости.
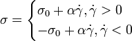
Бингамовский пластик — модель Бингама подобна модели сухого трения:
Хорошим примером бингамовской жидкости является краска — за счёт действия связующих веществ возникает порог для напряжения сдвига, и она способна образовывать неподвижные слои на вертикальных поверхностях. Любые другие жидкости будут стекать вниз. Для неньютоновских жидкостей возможно наблюдение и других эффектов, связанных с нелинейностью либо существованием порога. Стоит отметить, что усложнение зависимости вязких напряжений заставляет отказаться от «традиционного» уравнения Навье — Стокса для ньютоновской жидкости путём усложнения модели вязкого тензора.
Отдельным случаем неньютоновских жидкостей являются тиксотропные и реопексные жидкости, вязкость которых изменяется с течением времени.
Другая классификация — по зависимости вязкости η от величины скорости сдвига γ:
соответствует случаю дилатантной жидкости;
соответствует случаю псевдопластической жидкости.
Типичными примерами дилатантных жидкостей являются концентрированные суспензии твёрдых частиц; псевдопластических — полимерные расплавы и растворы.
Перед вами – очень интересное видео, которое демонстрирует, что происходит со смесью крахмала и воды на металлическом листе, расположенном на работающем сабвуфере. А происходит с ним нечто очень интересное, и все потому, что сочетание «крахмал + вода» является так называемой «не-Ньютоновой жидкостью», т. е. жидкостью, на которую не действуют законы Ньютона.
Про неньютоновские жидкости уже писали, ведь до недавних пор считалось, что только они могут вести себя странно, но на самом деле обычные жидкости так же иногда дают непредсказуемый результат. В далеком 1963 году ученый Артур Кайе проводил эксперименты с жидкостями и обнаружил, что тонкая струйка одного вещества падающая вертикально на такое же вещество отскакивает от него так, как будто какая–то сила выталкивает ее обратно от поверхности. Ранее этот эффект приписывали только неньютоновским жидкостям
Ньютоновская жидкость (названная так в честь Исаака Ньютона) это вязкая жидкость, подчиняющаяся в своём течении закону вязкого трения Ньютона, то есть касательное напряжение и градиент скорости линейно зависимы. Коэффициент пропорциональности между этими величинами известен как вязкость
Простое уравнение, описывающее поведение Ньютоновской жидкости:
,
где
τ — касательное напряжение, вызываемое жидкостью («Лобовое сопротивление») [Па]
μ — динамический коэффициент вязкости — коэффициент пропорциональности [Па·с]
— градиент скорости перпендикулярно направлению сдвига [с−1]
Более правильно: дифференциал вектора силы трения равен коэффициенту вязкости, умноженному на векторное произведение дифференциала вектора площади соприкасающихся слоев жидкости и ротора скорости.
![]()
Простыми словами, это означает, что жидкость продолжает течение вне зависимости от сил, действующих на нее. Например, вода является Ньютоновской жидкостью, потому что она продолжает демонстрировать свойства жидкости вне зависимости от скорости перемешивания, в противоположность Неньютоновским жидкостям, вязкость которых изменяется в зависимости от скорости тока жидкости — к примеру, перемешивание может оставлять «дыру» позади (которая понемногу заполняется со временем — такое поведение наблюдается в таких веществах, как пудинг, суспензия крахмала в холодной воде и, в менее строгих рамках — песок), а при уменьшении толщины слоя жидкости происходит скачок вязкости из-за изменения скорости течения жидкости (это наблюдается у некоторых неподтекающих красок, которые легко наносятся, но становятся более вязкими на стенах).
Для Ньютоновской жидкости вязкость, по определению, зависит только от температуры и давления (а также от химического состава, если жидкость не является беспримесной) и не зависит от сил, действующих на нее.
Если жидкость несжимаема и вязкость — константа по всему объему жидкости, то уравнением, выражающим касательное напряжение в прямоугольной системе координат, будет:

с сопутствующим тензором напряжения
(также обозначаемым как
)
![]()
где, согласно традиционным обозначениям тензора,
τij — касательное напряжение на i-ой грани элемента жидкости в j-ом направлении
ui — скорость в i-ом направлении
xj — j-ая координата направления
Если жидкость не подчиняется этим отношениям, то ее называют Неньютоновской жидкостью, коими являются, к примеру, растворы полимеров, ряд твердых суспензий и большинство очень вязких жидкостей.
Ньютоновская жидкость, вязкая жидкость, жидкость, подчиняющаяся при своём течении закону вязкого трения Ньютона. Для прямолинейного ламинарного (слоистого) течения этот закон устанавливает наличие линейной зависимости (прямой пропорциональности) между касательным напряжением t в плоскостях соприкосновения слоев жидкости и производной от скорости течения u по направлению нормали n к этим плоскостям, т. е.
, где h — динамический коэффициент вязкости. В общем случае пространственного течения для Ньютоновская жидкость имеет место линейная зависимость между тензорами напряжений и скоростей деформаций. Свойствами Ньютоновская жидкость обладают большинство жидкостей (вода, смазочное масло и др.) и все газы. Течение Ньютоновская жидкость изучается в гидроаэромеханике. Жидкости, для которых указанные выше зависимости не являются линейными [например, при прямолинейном течении
, где k ¹ 1], называются неньютоновскими. К ним относится ряд суспензий и растворов полимеров. Такие течения изучает реология.
.
Из-за высокой концентрации частиц дисперсной фазы наблюдается сильное взаимодействие между оными. Как результат - динамическая вязкость системы зависит от сдвигового напряжения.
Это если на пальцах объяснять.
Реология (от греч. rhéos — течение, поток и... логия), наука о деформациях и текучести вещества. Реология рассматривает процессы, связанные с необратимыми остаточными деформациями и течением разнообразных вязких и пластических материалов (неньютоновских жидкостей, дисперсных систем и др.), а также явления релаксации напряжений, упругого последействия и т. д.
Термин «реология» ввёл американский учёный Ю. Бингам, которому принадлежат ценные реологические исследования жидкостей и дисперсных систем. Официально термин «реология» принят на 3-м симпозиуме по пластичности (1929, США), однако отдельные положения реологии были установлены задолго до этого. Реология тесно переплетается с гидромеханикой, теориями упругости, пластичности и ползучести; в ней широко пользуются методами вискозиметрии. В основу реологии легли законы И. Ньютона о сопротивлении движению вязкой жидкости, Навье — Стокса уравнения движения несжимаемой вязкой жидкости, работы Дж. Максвелла, У. Томсона и др. Значительный вклад внесён русскими учёными: , , и советскими учёными , , и др.
С проблемами реологии приходится встречаться в технике: при разработке технологии разнообразных производственных процессов, при проектных работах и конструкторских расчётах, относящихся к самым различным материалам: металлам (особенно при высоких температурах), композиционным материалам, полимерным системам, нефтепродуктам, глинам и другим грунтам, горным породам, строительным материалам (бетонам, силикатам и др.), пищевым продуктам и т. д.
В реологии существует несколько подразделов. Теоретическая реология (феноменологическая реология, или макрореология) может рассматриваться как часть механики сплошных сред, она занимает промежуточное положение между гидромеханикой и теориями упругости, пластичности и ползучести. Она устанавливает зависимости между действующими на тело механическими напряжениями, вызываемыми деформациями, и их изменениями во времени. При обычных в механике сплошных сред допущениях об однородности и сплошности материала теоретическая реология решает разные краевые задачи деформирования и течения твёрдых, жидких и иных тел. Основное внимание обращается на сложное реологическое поведение вещества, например когда одновременно проявляются вязкие и упругие свойства или вязкие и пластические. Общее реологическое уравнение состояния вещества пока не установлено, имеются уравнения лишь для отдельных частных случаев. Для описания реологического поведения материалов пользуются механическими моделями, для которых составляют дифференциальные уравнения, куда входят различные комбинации упругих и вязких характеристик. Реологическими моделями пользуются при изучении механических свойств полимеров, внутреннего трения в твёрдых телах и др. свойств реальных тел.
Экспериментальная реология (реометрия) определяет различные реологические свойства веществ с помощью специальных приборов и испытательных машин.
Микрореология исследует деформации и течение в микрообъёмах, например в объёмах, соизмеримых с размерами частиц дисперсной фазы в дисперсных системах или с размерами атомов и молекул.
Биореология исследует течение разнообразных биологических жидкостей (например, крови, синовиальной, плевральной и др.), деформации различных тканей (мышц, костей, кровеносных сосудов) у человека и животных.
Реология дисперсных систем — раздел реологии, изучающий деформации и текучесть дисперсных систем (суспензий, паст, аэрозолей и других коллоидных систем). Реология дисперсных систем включает в себя также гемореологию, реологию почв. Свойства дисперсных систем (вязкость, текучесть, предел текучести, устойчивость и т. д.) в значительной степени зависят от свойств межфазных границ, дисперсности, наличия ПАВ. Законы реологии дисперсных систем играют важную роль в промышленности (в производстве керамики, цемента), пищевой промышленности, медицине.
1.2 Раствор крахмала (неньютоновская жидкость) - как полисахарид
1.2.1 Полисахари́ды — общее название класса сложных высокомолекулярных углеводов, молекулы которых состоят из десятков, сотен или тысяч мономеров — моносахаридов.
Полисахариды необходимы для жизнедеятельности животных и растительных организмов. Они являются одним из основных источников энергии, образующейся в результате обмена веществ организма. Они принимают участие в иммунных процессах, обеспечивают сцепление клеток в тканях, являются основной массой органического вещества в биосфере.
Классификация полисахаридов:
К полисахаридам относятся вещества, построенные из большого числа остатков моносахаридов или их производных. Если полисахарид содержит остатки моносахарида одного вида, его называют гомополисахаридом. В том случае, когда полисахарид составлен из моносахаридов двух видов или более, регулярно или нерегулярно чередующихся в молекуле, его относят к гетерополисахаридам.
К полисахаридам относятся, в частности:
декстрин — полисахарид, продукт гидролиза крахмала;
крахмал — основной полисахарид, откладываемый как энергетический запас у растительных организмов;
гликоген — полисахарид, откладываемый как энергетический запас в клетках животных организмов, но встречается в малых количествах и в тканях растений;
целлюлоза — основной структурный полисахарид клеточных стенок растений;
хитин — основной структурный полисахарид экзоскелета насекомых и членистоногих, а также клеточных стенок грибов;
галактоманнаны — запасные полисахариды некоторых растений семейства бобовых, такие как гуаран и камедь рожкового дерева;
глюкоманнан — полисахарид, получаемый из клубней конняку, состоит из чередующихся звеньев глюкозы и маннозы, растворимое пищевое волокно, уменьшающее аппетит;
амилоид — применяется при производстве пергаментной бумаги.
Структурные полисахариды придают клеточным стенкам клеток прочность.
Водорастворимые полисахариды не дают клеткам высохнуть.
Резервные полисахариды по мере необходимости расщепляются на моносахариды и используются организмом.
Общие: Альдозы | Кетозы | Пиранозы | Фуранозы
Геометрия: Аномеры | Мутаротация
Пентозы: Рибоза | Дезоксирибоза | Арабиноза | Ксилоза | Ликсоза | Рибулоза | Ксилулоза
Гексозы: Глюкоза | Галактоза | Манноза | Гулоза | Идоза | Талоза | Аллоза | Альтроза | Фруктоза | Сорбоза | Такатоза | Псикоза | Фукоза | Рамноза
Дисахариды: Сахароза | Лактоза | Трегалоза | Мальтоза | Целлобиоза | Аллолактоза | Гентиобиоза | Ксилобиоза | Мелибиоза
Полисахариды: Гликоген | Крахмал | Целлюлоза | Хитин | Амилоза | Амилопектин | Стахилоза | Инулин | Декстрин | Пектины | Галактоманнаны | Агароза
Гликозаминогликаны: Гепарин | Хондроитин-сульфат | Гиалуроновая кислота | Гепаран-сульфат | Дерматан-сульфат | Кератан-сульфат | Пептидогликан
1.2.2 Крахма́л — полисахариды амилозы и амилопектина, мономером которых является альфа-глюкоза. Формула крахмала:(C6H10O5)n. Крахмал, синтезируемый разными растениями в хлоропластах, под действием света при фотосинтезе, несколько различается по структуре зёрен, степени полимеризации молекул, строению полимерных цепей и физико-химическим свойствам.
Физические и химические свойства
Безвкусный, аморфный порошок белого цвета, нерастворимый в холодной воде. Под микроскопом видно, что это зернистый порошок; при сжатии порошка крахмала в руке он издаёт характерный «скрип», вызванный трением частиц.
В горячей воде набухает (растворяется), образуя коллоидный раствор — клейстер; с раствором йода образует соединение-включение, которое имеет синюю окраску. В воде, при добавлении кислот (разбавленная H2SO4 и др.) как катализатора, постепенно гидролизуется с уменьшением молекулярной массы, с образованием т. н. «растворимого крахмала», декстринов, вплоть до глюкозы.
Молекулы крахмала неоднородны по размерам. Крахмал представляет собой смесь линейных и разветвлённых макромолекул.
При действии ферментов или нагревании с кислотами подвергается гидролизу. Уравнение:(C6H10O5)n + nH2O—H2SO4→ nC6H12O6.
Крахмал (польск. krochmal, от нем. Kraftmehl), основной резервный углевод растений; образуется в клеточных органеллах (хлоропластах и амилопластах) и накапливается главным образом в семенах, луковицах и клубнях, а также в листьях и стеблях. К. откладывается в клетках в виде зёрен, в состав которых входит небольшое количество белков и липидов. у разных видов растений различаются по размерам (наиболее крупные — у картофеля, их средний диаметр около 33 мкм. наиболее мелкие у риса — около 15 мкм) и форме и имеют слоистую структуру (рис. 1 и 2). При микроскопическом исследовании по виду зёрен К. можно определить их происхождение. К. представляет собой смесь двух полисахаридов: линейного — амилозы и разветвленного — амило-пектина, общая формула которых: (C6H10O5)n,. Как правило, содержание амилозы в К. составляет 10—30%, а амилопектина 70—90% . построены из остатков глюкозы, соединённых в амилозе и в линейных цепях амилопектина a-1,4-глюкозидными связями, а в точках ветвления — межцепочечными a-1,6-глюкозидными связями (см. формулы).

(В амилозе связано в среднем около 1000 остатков глюкозы; отдельные линейные участки молекулы амилопектина состоят из 20—30 таких единиц.) Характерное синее окрашивание К. раствором иода (йодная реакция) используется для его обнаружения. При частичном кислотном гидролизе К. образуются полисахариды меньшей степени полимеризации — декстрины, при полном гидролизе — глюкоза. Ферментативный распад К. может осуществляться различными путями. В присутствии неорганического фосфата растительная фосфорилаза расщепляет a-1,4-связи с образованием глюкозо-1-фосфата, тем самым переводя К. из запасной формы в метаболически активную. Широко распространённые в природе ферменты a - и b-амилазы также расщепляют только a-1,4-связи: b-амилаза — до мальтозы и декстринов, a-амилаза способна «обходить» точки ветвления и полностью расщеплять К. до низкомолекулярных продуктов (мальтоза, глюкоза). Распад a-1,6-связей с образованием свободной глюкозы катализирует амило-1,6-глюкозидаза. У плесневых грибов существует фермент, расщепляющий К. до глюкозы — глюкоамилаза. Конечные продукты ферментативного расщепления К. — глюкоза и глюкозо-1-фосфат — важнейшие субстраты как энергетического обмена, так и процессов биосинтеза. Биосинтез неразветвлённых цепей К. осуществляется с помощью глюкозилтрансфераз, катализирующих перенос остатка глюкозы от нуклеозиддифосфатглюкозы к растущей углеводной цепи. «Ветвящий» Q-фсрмент переносит концевой глюкозный остаток из основной цепи в боковую с образованием a-1,6-связи в амилопектине. Исходным субстратом при биосинтезе К. у растений может быть сахароза. К. составляет основную часть важнейших продуктов питания (в муке 75— 80%, в картофеле 25%), легко переваривается в желудочно-кишечном тракте и обладает высокой калорийностью — 16,75 кдж/г (ок. 4 ккал/г). К. и его производные применяются при производстве бумаги, текстильных изделий, клеев, в литейном производстве и др. отраслях промышленности.
Являясь многоатомным спиртом, крахмал образует простые и сложные эфиры. Характерной качественной реакцией на крахмал является его реакция с йодом (йодкрахмальная реакция):
При взаимодействии йода с крахмалом образуется соединение включения (клатрат) канального типа. Клатрат – это комплексное соединение, в котором частицы одного вещества («молекулы-гости») внедряются в кристаллическую структуру «молекул-хозяев». В роли «молекул-хозяев» выступают молекулы амилозы, а «гостями» являются молекулы йода. Молекулы йода располагаются в канале спирали диаметром ~1 нм, создаваемой молекулой амилозы, в виде цепей ×××I×××I×××I×××I×××I×××. Попадая в спираль, молекулы йода испытывают сильное влияние со стороны своего окружения (ОН-групп), в результате чего увеличивается длина связи I–I до 0,306 нм (в молекуле йода длина связи 0,267 нм). Причем эта длина едина для всех атомов йода в цепи. Данный процесс сопровождается изменением бурой окраски йода на сине-фиолетовую (lмакс 620–680 нм). Амилопектин, в отличие от амилозы, дает с йодом красно-фиолетовое окрашивание (lмакс 520–555 нм). Декстрины, образующиеся при термической обработке крахмала, кислотном или ферментативном гидролизе, также реагируют с йодом. Однако цвет комплекса сильно зависит от молярной массы полимера (см. таблицу).
Низкомолекулярные декстрины начинают проявлять внешние признаки реакций альдегидной формы глюкозы, т. к. по мере уменьшения полимерной цепи растет доля восстанавливающих терминальных остатков глюкозы.
(C6H10O5)n + nH2O --(H2SO4,t)--> nC6H12O6

1.2.3 Качественные реакции:
Крахмал, в отличие от глюкозы, не даёт реакции серебряного зеркала.
Подобно сахарозе, не восстанавливает гидроксид меди (II).
Взаимодействие с йодом (окрашивание в синий цвет) — качественная реакция;
Биосинтез
Часть глюкозы, образующейся в зелёных растениях при фотосинтезе, превращается в крахмал:
6CO2 + 6H2O → C6H12O6 + 6O2
nC6H12O6(глюкоза) → (C6H10O5)n + nH2O
В общем виде это можно записать как 6nCO2 + 5nH2O → (C6H10O5)n+ 6nO2.
Крахмал в качестве резервного питания накапливается в клубнях, плодах, семенах растений. Так в наиболее часто используемых для производства крахмала растениях, клубнях картофеля содержится до 24 % крахмала, в зёрнах пшеницы — до 64 %, риса — 75 %, кукурузы — 70 %.
1.2.4 Модификация крахмала
В промышленности превращение крахмала в глюкозу (процесс осахаривания) происходит путём кипячения его на протяжении нескольких часов с разбавленной серной кислотой (каталитическое влияние серной кислоты на осахаривание крахмала было обнаружено в 1811 г. ). Чтобы из полученного раствора удалить серную кислоту в него добавляют мел, получая из серной кислоты нерастворимый сульфат кальция. Последний отфильтровывают, и вещество выпаривают. Получается густая сладкая масса — крахмальная патока, которая содержит кроме глюкозы значительное количество остальных продуктов гидролиза крахмала.
Патока используется для приготовления кондитерских изделий и для разнообразных технических целей.
Если нужно получить чистую глюкозу, то кипячение крахмала ведут дольше, чем достигается более полное превращение его в глюкозу. Полученный после нейтрализации и фильтрования раствор сгущают, пока из него не начнут выпадать кристаллы глюкозы. Также в настоящее время гидролиз крахмала производят ферментативно, с использованием альфа-амилазы для получения декстринов различной длины, и глюкоамилазы − для дальнейшего их гидролиза с получением глюкозы.
При нагревании сухого крахмала до 200—250 °C происходит частичное его разложение и получается смесь менее сложных чем крахмал полисахаридов (декстрин и другие).
Физическое изменение позволяет получать крахмал с высокой способностью удерживать влагу, что в свою очередь придает конечному продукту желаемую консистенцию.
1.2.5 Значения крахмала
Пищевое значение
В желудочном тракте человека и животного крахмал поддаётся гидролизу и превращается в глюкозу, которая усваивается организмом. Промежуточными продуктами гидролиза крахмала являются декстрины. Крахмал, как пищевая добавка, используется для загущения многих пищевых продуктов, приготовления киселей, заправок и соусов.
Промышленное значение
В пищевой промышленности крахмал используется для получения глюкозы и патоки, в текстильной — для обработки тканей, в бумажной — в качестве наполнителя.
Биологические свойства
Крахмал, являясь одним из продуктов фотосинтеза, широко распространен в природе. Для растений он является запасом питательных веществ и содержится в основном в плодах, семенах и клубнях. Наиболее богато крахмалом зерно злаковых растений: риса (до 86 %), пшеницы (до 75 %), кукурузы (до 72 %), а также клубни картофеля (до 24 %).
Для организма человека крахмал наряду с сахарозой служит основным поставщиком углеводов — одного из важнейших компонентов пищи. Под действием ферментов крахмал гидролизуется до глюкозы, которая окисляется в клетках до углекислого газа и воды с выделением энергии, необходимой для функционирования живого организма.
Раствор крахмала в воде является неньютоновской жидкостью.
Грязевой крахмал
Грязевой крахмал — побочный продукт при производстве первого сорта крахмала: та часть его которая отлагается вверху при отмывке в осадочных чанах или чанах с мешалкой. Содержит 90-95 % крахмала, перерабатывается вторично на крахмал.
Как лекарственное средство К. входит в состав присыпок, мазей и паст. В качестве индикатора на иод используют 1%-ный раствор К. Применяют также как обволакивающее средство (клейстер, крахмальный отвар). Из смеси К. (или пшеничной муки) и крахмального клейстера изготовляют облатки.
1.2.6 Другие неньютоновские жидкости
Материал d3o, разработанный одноименной американской компанией, тоже относится именно к дилатантным неньютоновским жидкостям. Как и следовало предполагать, он является коллоидной системой типа геля или суспензией, в которой условную роль жидкой фазы играет вискоза – целлюлозный полимер, а твердой фазой служат частицы полимера, защищенного коммерческой тайной – но, скорее всего, кремнийорганического. Фактически, если обратиться к предыдущему примеру, d3o ведет себя как хорошо охлажденная карамель, только еще более чувствительно к нагрузкам.
Согласно модели, частицы полимера легко дрейфуют друг относительно друга благодаря вискозе, играющей роль смазки между частицами. Если нажимать на d3o мягко, то есть с небольшим возрастанием силы нажатия (или изменением, градиентом скорости деформации, говоря научно) – он эластичен, словно латекс, из него можно скатывать шарики и колбаски, как из пластилина. Однако при резком повышении градиента скорости деформации компенсировать трение между частицами и, соответственно, обеспечить дрейф их друг относительно друга не получается, в результате чего в d3o образуется мгновенная жесткая структура, обусловленная уже обычным, сухим трением между частицами – именно она и обеспечивает скачкообразное изменение вязкости, кажущееся затвердевание материала. Кроме того, за счет мгновенного затвердевания нагрузка распределяется по материалу эффективно. Само собой, как только такая резкая нагрузка будет снята, d3o расслабится и будет опять мягким и эластичным.
(см. приложение №5)
1.3 Применение
В военной промышленности: «умная броня» (см. приложение №1)
Спорт. Защита: Наколенники, шлемы и т. п. (см. приложение №2)
Космический молоток (см. приложение №3)
Сфера развлечений (умный пластилин, жвачка для рук и т. п.) (см. приложение №4)
И еще сотни возможных применений, которые можно придумать самому
Практическая часть
2.1 Качественная реакция на крахмал.
В раствор крахмала капнул йод. Появилась сине – фиолетовая окраска.






2.2 Опыты, доказывающие, что раствор крахмала проявляет свойства неньютоновской жидкости.

Для эксперимента смешали примерно равные количества крахмала и воды (воды даже чуть меньше), вылив воду на крахмал и размешивая. Получилась белая жидкость, налили ее на ладонь.

Быстрыми движениями попробовали скатать колбаску или шарик.

Или медленно опустили палец в миску.

А другим пальцем ударили по жидкости резко - почувствовали, что она упругая, а палец остался чистым.

Медленно опустили в жидкость большой и указательный пальцы.

Быстро сжали их, и мы увидели между пальцами твердый комочек. Это не крахмал застыл, это неньютоновская жидкость проявляет свои свойства.

Попробовали окунуть все пальцы, а потом резко дернуть (чашку не разбейте!)

Переливали крахмал из одной чашки в другую - поднимали повыше, и увидели, что сверху жидкость льется, а ниже становится тверже!

Чтобы жидкость оставалась твердой, на нее непрерывно надо воздействовать, месить.

Вот шарик.

Но как только воздействие прекратилось, он утекает сквозь пальцы.
Заключение:
Раствор крахмала – неньютоновская жидкость
Крахмал - полисахарид
Реактивом на крахмал является йод (признак – сине - фиолетовое окрашивание)
Когда жидкость неоднородна, например, состоит из крупных молекул, образующих сложные пространственные структуры, то при её течении вязкость зависит от градиента скорости. Такие жидкости называют неньютоновскими.
Неньютоновская жидкость имеет большое практическое значение в будущем
Приложение
№1 Умная броня




№2 Спорт




№3 Молоток для работ в космосе


№4 Развлечение




№5 D3O (структура)


Список литературы
Были использованы статьи и материалы:
Астарита Д ж., Марруччи Д ж., Основы гидромеханики неньютоновских жидкостей, пер. с англ., М., 1978 — 312 с.
Виноградов полимеров. М.: Химия, 1977. — 440c.
, Исаев . Концепции, методы, приложения Изд-во: Профессия, 2007. — 560 с. ISBN -139-1, -X
Реология, пер. с англ., М., 1965 — 224 с.
Текучесть, Реология полимеров. Пер. с англ. М.: Химия, 1966. — 200с.
Уилкинсон жидкости. Гидромеханика, перемешивание и теплообмен. Пер с англ., М.: Мир, 1964. — 216c.
Физическая энциклопедия». В 5-ти томах. М.: «Советская энциклопедия», 1988
Шульман 3. П. Беседы о реофизике. Минск: Наука и техника, 1976. — 96с.
http://ru. wikipedia. org/wiki/%D0%9D%D0%B5%D0%BD%D1%8C%D1%8E%D1%82%D0%BE%D0%BD%D0%BE%D0%B2%D1%81%D0%BA%D0%B0%D1%8F_%D0%B6%D0%B8%D0%B4%D0%BA%D0%BE%D1%81%D1%82%D1%8C
http://ru. wikipedia. org/wiki/%D0%A0%D0%B5%D0%BE%D0%BB%D0%BE%D0%B3%D0%B8%D1%8F
http://*****/club6932592



