3
Лекция 1. КИНЕМАТИКА
Предмет кинематики; радиус-вектор и перемещение; скорость; ускорение;
обратная задача кинематики; движение по окружности
|
1. Предмет кинематики
Механика — раздел физики, где изучается
простейший вид движения материи —
механическое движение тел в пространстве и во
времени.
Движение тел в механике рассматривается
относительно выбранной системы отсчета.
Система отсчета (СО) — это тело, условно
считающееся неподвижным, относительно
которого рассматривается движение исследуемого
тела, плюс часы, по которым отсчйтывается время.
С выбранным в качестве СО телом жестко
связана система координат (чаще всего
прямоугольная декартова система XYZ).
В механике важную. роль играют два
абстрактных идеальных понятия: материальная
точка (частица) и абсолютно твердое тело.
Материальная точка — это тело, размерами
которого можно пренебречь в условиях данной
конкретной задачи. Абсолютно твердое тело —
это тело, форма и размеры которого не меняются
под воздействием других тел. Абсолютно твердое
тело можно рассматривать как совокупность
жестко связанных между собой материальных
точек, т. е. как систему материальных точек,
расстояния между которыми не изменяются в
процессе движения тела.
Если движение тел происходит со скоростями,
значительно меньшими скорости света в вакууме
с = 3108 м/с (движение ракет, спутников, планет
и т. д.), то такое движение с практически
стопроцентной точностью описывается
нерелятивистской ньютоновской механикой,
основные законы которой были сформулированы
еще Ньютоном.
Законы Ньютона перестают работать, когда
скорость тела становится сравнимой со скоростью
света (например, при движении частиц в
современных ускорителях заряженных частиц). В
этом случае движение материальной точки
описывается релятивистской механикой
Эйнштейна. Следует помнить, что ньютоновская
механика вытекает из релятивистской при
скоростях v « с. В этом семестре мы будем
изучать основные законы ньютоновской механики
применительно к движению материальных точек
и абсолютно твердого тела и попытаемся усвоить
основные положения механики Эйнштейна.
Позже мы узнаем, что механика Ньютона
оказывается бессильной и при рассмотрении
движения микрочастиц в областях, размеры
которых ~10~10 м (движение электрона в атоме).
Такое движение подчиняется законам
квантовой механики, которые Вы узнаете в
третьем семестре.
Изучение механики Ньютона мы начинаем с
кинематики материальной точки — раздела
механики, в котором рассматривается движение
материальной точки без выяснения причин,
вызывающих то или иное ее движение.
2. Радиус-вектор и перемещение
Положение материальной точки (частицы) в
пространстве в данный момент времени t
однозначно определяется в выбранной СО
заданием ее трех координат. Поэтому и говорят,
что частица обладает тремя степенями свободы.
Вообще говоря, число степеней свободы — это
минимальное число независимых координат, с
помощью которых можно однозначно определить
положение тела в пространстве. Так, например,
ясно, что положение в пространстве абсолютно
твердого тела произвольной формы нельзя
однозначно задать лишь с помощью трех
координат. Обычно поступают следующим
образом. С твердым телом связывают систему
координат O'X'Y'Z', и положение тела в
пространстве в неподвижной системе координат
OXYZ определяют заданием трех координат х0, Уо(
z0 начала отсчета О' системы, связанной с телом, и
трех углов а, Р, у между осями ОХ и О'Х', OY и
O'Y', OZ и O'Z'. Следовательно, абсолютно твердое
тело произвольной формы обладает шестью
степенями свободы.
Положение материальной точки в
пространстве удобно задавать не только ее тремя
координатами х, у, z, но и ее радиус-вектором —
вектором г, проведенным из начала координат к
материальной точке. Ясно, что проекции радиус-
вектора на оси OX, OY, OZ совпадают с
координатами частицы х, у, z, т. е.

где i, j, k — единичные векторы (орты) вдоль осей
OX, OY, OZ.
При движении материальной точки ее
координаты изменяются со временем, а конец
радиус-вектора описывает в пространстве
некоторую линию, которая называется
траекторией.
|
которой эквивалентны три уравнения: x = x(t); y = y(t); z = z(t). (1.1) |
Уравнением траектории в векторной форме называется зависимость радиус-вектора г
материальной точки от времени:
4
Для получения уравнения траектории частицы
в явном виде из системы (1.1) необходимо
исключить время t. Если при своем движении
материальная точка находится все время в одной
плоскости, то такое движение называется
плоским.
Пусть за время At частица переместилась из
точки М(х, у, z), где она находилась в момент
времени t, в точку М'(х', у', z'), пройдя вдоль
траектории отрезок пути As (рис. 1.1).
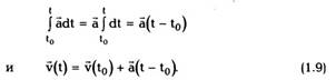
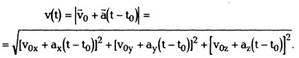
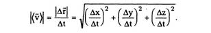
Вектор скорости (мгновенной) материальной
точки v(t) в данный момент времени t
определяется как предел, к которому стремится
вектор средней скорости (v) за время от t до
t + At при безграничном уменьшении промежутка
времени At:
![]()
|
|
Здесь точка сверху означает производную по
времени, которую принято записывать в виде:
![]()
где dr = dxi + dyj + dzk — бесконечно малый
вектор перемещения частицы за бесконечно
малый промежуток времени dt. Заметим, что при
At -» О вектор Аг -> dr и направлен по
касательной к траектории частицы в момент
времени t в сторону движения, а по абсолютной
![]()
не
|
|
отличается от бесконечно малого отрезка пути
частицы ds за время dt, т. е. |dr| = ds. Итак,
Таким образом, вектор скорости частиц v(t)
направлен по касательной к траектории в момент
времени t в сторону движения, его проекции на
оси OX, OY, OZ определяются соотношениями
(1.26), а абсолютная величина — соотношением
(1.3).
4. Ускорение
|
|
|
5
|
|
|
|
|
|
|
|
|
|
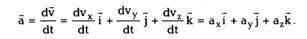
Вектор ускорения частицы a(t) в момент
времени t определяется как предел отношения Av
к At при At->0:
![]()
где dv — бесконечно малое изменение вектора
скорости за бесконечно малый промежуток
времени dt. Выражение (1.4) можно записать в
виде:
![]()
|
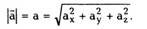
а модуль вектора ускорения |
|
Следовательно, проекции вектора ускорения
на координатные оси (с учетом (1.2))
Если движение материальной точки плоское
(будем в дальнейшем считать, что траектория
частицы лежит в плоскости ХОУ), то вектор
ускорения а всегда можно разложить на две
взаимно перпендикулярные составляющие (см.
рис. 1.3):

б
|
|
При равноускоренном движении
![]()
Откуда
![]()
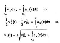
5. Обратная задача кинематики
Задача кинематики бывает прямой и обратной.
В прямой задаче задается закон движения г (t), из
которого требуется получить все кинематические
характеристики движения материальной точки:

Обратная задача гораздо сложнее прямой. Это
связано не только с тем, что при ее решении
необходимо овладеть навыками интегрирования
(интегрировать всегда сложней, чем вычислять
производную), но, в основном, с тем, что заданное
ускорение а зависит, как правило, не только от
времени t, но и от координат и скорости
движущейся частицы. В результате решение
подобной задачи сводится, как правило, к
решению дифференциальных уравнений. В
простейшем случае, когда заданное ускорение а
зависит лишь от времени, решение обратной
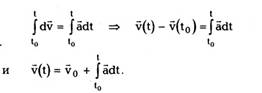
задачи выглядит следующим образом. Из (1.4)
dv = adt, следовательно,

|
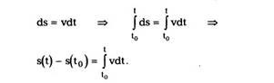
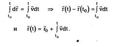
Далее из (1.2а) следует, что dr = vdt, поэтому |
|
Результат интегрирования правой части
зависит от конкретного вида зависимости а от t.
В частности, при равноускоренном движении,
когда а = const
Путь, пройденный за время t, находится с
помощью формулы (1.3), записанной в виде

Так как s(t0) = 0, следовательно,
![]()
|
|
|
|
|
|
|
|
|
|
где под интегралом (не следует забывать!)
а затем интегрируют
7
|
|
|
|
Интеграл
в принципе вычисляется.
|
|
6. Движение по окружности
Рассмотрим теперь дополнительные
кинематические характеристики частицы,
удобные при изучении движения последней по
окружности.
Пусть за время dt частица, двигаясь по
окружности радиусом R, повернулась на
бесконечно малый угол d<p, пройдя путь ds = Rd(p

(рис. 1.5). Вводим вектор бесконечно малого
поворота dcp, модуль которого |dcp| = d(p, a
направление совпадает с осью поворота OZ
(причем так, что направление поворота отвечает
правилу правого винта по отношению к
направлению dcp). Отношение dcp к dt
называется вектором угловой скорости частицы
вектором скорости частицы v (направленным по
касательной к окружности) и вектором угловой
скорости со (направленным по оси вращения)
дается выражением
![]()
где квадратные скобки обозначают векторное
произведение со на г.
Вектором углового ускорения 8 называется
величина
![]()
|
|
|
тангенциальное ускорение |
|
и полное ускорение |
|
где dco — изменение вектора со за бесконечно
малый промежуток времени dt. Если в процессе
движения частицы ось вращения OZ остается
фиксированной в пространстве, то
8
Лекция 2. ДИНАМИКА
1 закон Ньютона; 2 закон Ньютона; 3 закон Ньютона; силы; закон сохранения
импульса; закон сохранения момента импульса.
1. Первый закон Ньютона
Динамика — раздел механики, изучающий
движение тел под действием других тел. Из опыта
известно, что все тела взаимодействуют между
собой (гравитационное, электрическое
взаимодействие и т. д.). Меру взаимодействия тел,
в результате которого тела приобретают
ускорения, называют силой. Сила - векторная
величина, которая характеризуется числовым
значением, направлением и точкой приложения.
Движение любого тела, как мы знаем,
рассматривается всегда относительно какой —либо
выбранной системы отсчета (СО). Различные СО
являются равноправными и одинаково
допустимыми при исследовании движения данного
тела. Однако, ясно, что движение будет выглядеть
по-разному в разных СО. Естественно выбрать
такую СО, чтобы движение выглядело наиболее
просто.
Рассмотрим тело, находящееся настолько
далеко от всех остальных тел во Вселенной, чтобы
можно было пренебречь воздействием последних
на него (из опыта известно, что воздействие
уменьшается с увеличением расстояния между
телами). Такое тело называется свободным. Если
теперь с таким телом связать СО, то в такой
системе движение других свободных тел выглядит
наиболее просто — они движутся с постоянной по
величине и направлению скоростью (v = const),
т. е. равномерно и прямолинейно. Это
утверждение составляет содержание так
называемого закона инерции, впервые
сформулированного Галилеем.
Система отсчета, связанная со свободным
телом, называется инерциальной системой отсчета (ИСО). Закон инерции называют также
первым законом Ньютона. Следует понимать, что
инерциальных систем существует бесчисленное
множество, так как ясно, что любая СО,
движущаяся относительно выбранной ИСО
равномерно и прямолинейно, также будет
инерциальной. В связи с этим возникает вопрос,
можно ли, изучая различные физические явления,
как-то отличить одну ИСО от другой.
Оказывается, это невозможно: все физические
(химические, биологические и т. д.) явления
природы протекают одинаково в различных ИСО.
Этот закон, один из фундаментальных законов
физики, называется принципом относительности.
В дальнейшем, за исключением отдельных,
особо оговоренных случаев, мы будем
формулировать законы механики в инерциальных
системах отсчета.
Следует, конечно, помнить, что фактически
используемые в физических экспериментах
системы отсчета являются инерциальными лишь с
большей или меньшей степенью точности. Так,
чаще всего, СО связывают с Землей. Однако, эта
СО не является строго инерциальной из-за
суточного вращения Земли вокруг собственной
оси, кругового движения Земли вокруг Солнца и
вращения галактики, в состав которой входит
Солнце, вокруг собственной оси вращения. Тем не
менее, в силу сравнительно медленного изменения
скорости при таких движениях, мы фактически
совершаем небольшую ошибку, несущественную
для целого ряда физических экспериментов,
принимая СО, связанную с Землей, в качестве
инерциальной.
2. Второй закон Ньютона
Изучение законов движения естественно
начать с движения наиболее простого тела —
материальной точки, так как при этом мы можем
не рассматривать вращение тела, а также
перемещения различных частей тела друг
относительно друга.
Из 1 закона Ньютона следует, что при
свободном движении частицы, когда она не
взаимодействует с другими телами, скорость ее в
ИСО остается неизменной: v = const и ускорение
|
Если же частица взаимодействует с
другими телами, то ее скорость изменяется и она
приобретает ускорение
|
(2.1)
где m — масса частицы, характеризующая ее
способность изменять скорость под действием
других тел (мера инерции тела), и \ —сила, с
которой какое-то i-e тело действует на частицу.
Уравнение (2.1), записанное в виде
|
(2.2)
называется вторым законом Ньютона. Этот закон
приобретает конкретный смысл только после того,
как установлен явный вид сил \ как функций
координат и скоростей частицы массы т. После
этого второй закон Ньютона позволяет, в
принципе, определить зависимость скорости и
положения частицы в произвольный момент

9
3. Третий закон Ньютона
|
|
Следует помнить, что все силы в (2.2) являются
силами, действующими на частицу со стороны
других тел, т. е. являются силами реальными. Дело
в том, что все реальные силы в природе являются
силами взаимодействия между двумя телами: если
С помощью многочисленных опытов было
показано, что гравитационная масса частицы
совпадает с так называемой ее инертной массой,
входящей во второй закон Ньютона (2.2).
Соотношение (2.4) выражает закон всемирного тяготения, открытый Ньютоном.
2. Сила электрического взаимодействия.

т. е. сила, с которой второе тело действует на
первое должна быть равна по величине и
противоположна по направлению силе, с которой
первое тело действует на второе. Это
утверждение носит название третьего закона Ньютона.
Соотношение (2.3) можно записать в виде
![]()
где г — расстояние между зарядами, е0 = 10 9/36я
Кл2/(Нм2) — электрическая постоянная.
![]()
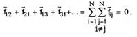
Для системы из N взаимодействующих частиц
Третий закон Ньютона выглядит следующим
образом:

т. е. сумма всех внутренних сил в системе равна
нулю.
4. Силы
Все силы в природе делятся на
фундаментальные и нефундаментальные.
Последние, в конечном итоге, можно всегда
свести к действию фундаментальных сил. К
фундаментальным силам относятся: силы
гравитационного взаимодействия, силы
электрического взаимодействия, ядерные силы,
т. е. силы, с которыми взаимодействуют нуклоны
(протоны и нейтроны), входящие в состав
атомного ядра (сильное взаимодействие), и силы,
возникающие при радиоактивном р-распаде (так
называемое слабое взаимодействие). Последние
два вида фундаментальных сил нами
рассматриваться не будут. К нефундаментальным
силам относятся: силы упругости (сила реакции
опоры и сила натяжения нити), сила Архимеда,
силы трения и др.
1. Сила гравитационного взаимодействия.
|
|
Любые материальные точки притягивают друг
друга с силой
3. Силы упругости.
Эти силы возникают в твердом теле при его
деформировании (изменении его формы).
Простейшим видом деформации тела является его
растяжение или сжатие. Например, оно возникает
в тонком стержне, один конец которого
закреплен, а к другому приложена сила f
перпендикулярно основанию стержня. Упругое
![]()
величиной силы f, отнесенной к площади
поперечного сечения стержня S. Это напряжение
одинаково вдоль всей длины стержня. Если
приложенная сила i не очень велика и можно
пренебречь изменением толщины стержня, то
справедлив закон Гука:
![]()
где 6L — удлинение стержня, Lo — длина стержня
до деформации. Коэффициент Е,
характеризующий упругие свойства материала
стержня, называется модулем Юнга.
|
Применительно к пружине закон Гука
записывается в виде:
|
где
и х = 5L — абсолютное удлинение
пружины. Силами упругости являются и так
называемые силы натяжения нити Т и реакции
опоры N.
5. Закон сохранения импульса
Импульсом материальной точки называется
векторная величина, равная произведению ее
массы m на вектор скорости частицы v :
![]()
Из первого закона Ньютона следует, что
импульс свободной частицы не изменяется ни по
величине, ни по направлению, т. е. р = const. Если
10
|
|
|
|
|
|
|
Переписав (2.11) в виде |
|
(2.8)
|
Из за большого объема этот материал размещен на нескольких страницах:
1 2 3 4 5 |





































