Основы физической и коллоидной химии.
Кинетическая теория агрегатного состояния вещества.
Газы. Идеальные и реальные газы. Основные газовые законы. Уравнение Клайперона-Менделеева. Закон Дальтона. Уравнение Ван-дер-Ваальса. Изотермы реальных газов. Принцип соответственных состояний.
Жидкость.
Особенности строения. Давление пара. Парообразование. Поверхностная энергия. Вязкость.
Твердое тело.
Особенности строения. Кристаллическое состояние. Основные типы кристаллических решеток. Монокристаллы.
Плазма.
Химическая термодинамика
Первый закон термодинамики
Внутренняя энергия. Теплота и работа. Теплоемкость. Термодинамические функции в основных обратимых процессах. Открытая термодинамическая система. Энтальпия.
Термохимия.
Тепловой эффект реакции. Соотношение между изобарным и изохорным тепловыми эффектами реакции. Закон Гесса и следствие из него.00 (термодинамический потенциал). Тепловая машина. Тепловая машина Карно. Коэффициент полезного действия тепловой машины. Приведенная теплота процесса. Энтропия. Изменение энтропии в основных термодинамических процессах.
Р-V-Диаграмма, Р-V-Диаграмма обычных веществ (воды).
Влажный пар. Т-S-Диаграмма. Т-S-Диаграмма воздуха. Т-S-Диаграмма воды. Н - S-Диаграмма. Н - S-Диаграмма воды.
Влажный воздух.
Термодинамическое равновесие
Поверхностные явления. Адсорбция. Типы адсорбции. Применение адсорбции.
Химическое равновесие. Уравнение изотермы реакции. Химическое сродство. Константа химического равновесия. Особенности химического равновесия в гетерогенных системах.
Принцип Ле Шателье-Брауна.
Химическая кинетика и катализ
Общая теория протекания реакций.
Основной закон химической кинетики. Определение константы скорости и порядка реакции. Влияние температуры на скорость реакции.
Катализ.
Механизм действия катализаторов. Автокатализ. Особенности каталитических процессов. Управление каталитическими процессами.
Цепные реакции
Механизм цепных реакций. Критические параметры. Фотохимические и радиационно-химические реакции.
Физико-химическое равновесие.
Фазовое равновесие.
Основные понятия и определения. Правило фаз. Фазовая диаграмма воды. Уравнение Клаузиса-Клайперона. Фазовая диаграмма двухкомпонентной смеси.
Кинетические свойства растворов.
Строение растворов. Термодинамика растворения. Растворы электролитов. Осмос и осмотическое давление. Давление пара над раствором. Зависимость температуры фазового перехода от состава раствора. Практическое применение закона Рауля. Идеальные бинарные растворы. Состав пара над идеальным бинарным раствором. Первый закон Коновалова. Перегонка и ректификация. Реальные растворы. Второй закон Коновалова. Особенности ректификации реальных растворов. Взаимная растворимость жидкостей. Перегонка с водяным паром. Вакуумная перегонка. Растворимость газов в жидкостях. Закон Генри. Закон Генри-Дальтона. Закон распределения. Экстракция.
Электрохимия.
Элемент Даниэля. Электродный потенциал. Уравнение Нернста. Электрохимический ряд напряжений. Электродвижущая сила и принцип действия гальванического элемента. Измерение э. д.с. гальванического элемента. Измерение электродного потенциала. Электроды сравнения. Потенциометрия. Электролиз. Законы электролиза. Применение электролиза. Химические источники электрического тока. Топливный элемент. Электрохимическая коррозия. Проводники электрического тока и их особенности. Измерение электрической проводимости раствора. Эквивалентная (молярная) электропроводность. Закон Кольрауша. Кондуктометрия.
Ультрамикрогетерогенные и микрогетерогенные системы низкомолекулярных веществ.
Классификация дисперсных систем. Получение дисперсных систем.
Очистка и концентрирование дисперсных систем. Кинетические свойства дисперсных систем. Оптические свойства дисперсных систем. Электрические свойства дисперсных систем. Строение дисперсных систем. Устойчивость дисперсных систем. Эмульсии. Суспензии. Пены. Аэрозоли
Растворы высокомолекулярных соединений (ВМС)
Общая характеристика растворов полимеров. Растворение полимеров.
Пластификация. Вязкость растворов полимеров. Желатинирование.
Определение молярной массы полимеров
Тема1.Кинетическая теория агрегатного состояния вещества.
Теоретические основы.
Агрега́тное состоя́ние вещества (лат. aggrego 'присоединяю') — состояние одного и того же вещества в определённом интервале температур и давлений, характеризующееся определёнными, неизменными в пределах указанных интервалов, качественными свойствами:
- способностью (твёрдое тело) или неспособностью (жидкость, газ, плазма) сохранять объём и форму, наличием или отсутствием дальнего (твёрдое тело) и ближнего порядка (жидкость), и другими свойствами.
Изменение агрегатного состояния может сопровождаться скачкообразным изменением свободной энергии, энтропии, плотности и других физических величин.[1]
Традиционно выделяют три агрегатных состояния: твёрдое тело, жидкость и газ. К агрегатным состояниям принято причислять также плазму[2], в которую переходят газы при повышении температуры и фиксированном давлении. Существуют и другие агрегатные состояния, например, жидкие кристаллы или конденсат Бозе — Эйнштейна.
Отличительной особенностью является отсутствие резкой границы перехода к плазменному состоянию.
Определения агрегатных состояний не всегда являются строгими. Так, существуют аморфные тела, сохраняющие структуру жидкости и обладающие небольшой текучестью и способностью сохранять форму; жидкие кристаллы текучи, но при этом обладают некоторыми свойствами твёрдых тел, в частности, могут поляризовать проходящее через них электромагнитное излучение.
Для описания различных состояний используется более широкое понятие термодинамической фазы. Явления, описывающие переходы от одной фазы к другой, называют критическими явлениями.

Газообразное состояние
Газы (французское gaz; название предложено голландским учёным Я. Б.
Гельмонтом), агрегатное состояние вещества, в котором его частицы не
связаны или весьма слабо связаны силами взаимодействия и движутся свободно,
заполняя весь предоставленный им объём. Газы обладают рядом характерных
свойств. В отличие от твёрдых тел и жидкостей, объём газы существенно зависит
от давления и температуры.
Изопроцессы. Законы Бойля-Мариотта, Гей-Люссака, Шарля. |
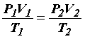
Изопроцесс, протекающий при постоянной температуре, называется изотермическим. Бойлем и Э. Мариоттом было установлено, что при постоянной температуре произведение давления газа на объем для данной массы газа есть величина постоянная (закон Бойля–Мариотта): Р1/V1= Р2/V2
Графически этот закон в координатах РV изображается линией, называемой изотермой (рис.1). |
Изопроцесс, протекающий в идеальном газе, в ходе которого давление остается постоянным, называется изобарным. Зависимость объема газа от его температуры при постоянном давлении была установлена Л. Гей-Люссаком, который показал, что объем газа данной массы при постоянном давлении возрастает линейно с увеличением температуры (закон Гей-Люссака): V1/Т1= V2/Т2 V = V0·(1 + a·t), где V – объем газа при температуре t, °С; V0 – его объем при 0°С. Величина V = V0·(1 +1/273·t). Графически зависимость объема от температуры изображается прямой линией – изобарой (рис. 2). При очень низких температурах (близких к – 273°С) закон Гей–Люссака не выполняется, поэтому сплошная линия на графике заменена пунктиром.
|
Изопроцесс, протекающий в газе, при котором объем остается постоянным, называется изохорным. Исследования зависимости давления данной массы газа от температуры при неизменном объеме были впервые проведены французским физиком Шарлем. Им было установлено, что давление газа данной массы при постоянном объеме возрастает линейно с увеличением температуры (закон Шарля): P = P0(1+ Здесь P – давление газа при температуре t, °С; P0 – его давление при 0 °С. Величина P = P0(1 +1/273·t). Графическая зависимость давления от температуры изображается прямой линией – изохорой (Рис. 3). |
Еще один важный закон, которому подчиняются лишь идеальные газы был открыт Авогадро. Закон Авогадро: при одинаковых давлениях и одинаковых температурах и равных объемах различных идеальных газов содержится одинаковое число молекул; или, что то же самое: при одинаковых давлениях и одинаковых температурах грамм-молекулы различных идеальных газов занимают одинаковые объемы. Абсолютная шкала температур. Если изохору продолжить в область отрицательных температур, то в точке пересечения с осью абсцисс имеем Отсюда температура, при которой давление идеального газа обращается в нуль, t = –273°С (точнее,–273,16°С). Эта температура выбрана в качестве начала отсчета термодинамической шкалы температур, которая была предложена английским ученым Кельвиным. Эта температура называется нулем Кельвина (или абсолютным нулем). Температура, отсчитанная по термодинамической шкале температур, обозначается Т. Ее называют термодинамической температурой. Так как точка плавления льда при нормальном атмосферном давлении, принятая за 0°С, равна 273,16 К–1, то Т = 273,16 + t. Уравнение Клайперона. Получим другую форму уравнений, описывающих изобарный и изохорный процессы, заменив в уравнениях (18) и (20) температуру, отсчитанную по шкале Цельсия, термодинамической температурой: Т=V0*Т/273,16=const*T Обозначив объемы газа при температурах Т1 и Т2, как V1 и V2, запишем
Аналогично получим новую форму закона Шарля : P/T= const; P1/Т1= P2/Т2; Законы Шарля и Гей-Люссака можно объединить в один общий закон, связывающий параметры P, V и T при неизменной массе газа. Действительно, предположим, что начальное состояние газа при m = const характеризуется параметрами V1, Р1, Т1, а конечное – соответственно V2, Р2, Т2. Пусть переход из начального состояния в конечное состояние происходит с помощью двух процессов: изотермического и изобарического. В ходе первого процесса изменим давление с Р1 на Р2. Объем, который займет газ после этого перехода, обозначим V, тогда по закону Бойля–Мариотта, Р1V1 = Р2V, откуда
На втором этапе уменьшим температуру с Т1 до Т2, при этом объем изменится от значения V до V2; следовательно по закону Шарля V /V2= Т1/Т2 |откуда
В уравнениях равны левые части; следовательно, равны и правые, тогда
т. е. можно записать, что
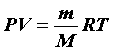
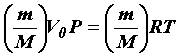
Это выражение называют уравнением Клапейрона или объединённым газовым законом. Уравнение состояния идеального газа – уравнение Менделеева-Клапейрона. Значение входящей в уравнение Клайперона константы, которая обозначается как R, для одного моля любого газа одинаково, поэтому эта константа получила название универсальной газовой постоянной. Найдем числовое значение R в СИ, для чего учтем, что, как следует из закона Авогадро, один моль любого газа при одинаковом давлении и одинаковой температуре занимает один и тот же объем. В частности при Т0 = 273K и давлении Р0 = 105 Па объем одного моля газа равен V0 = 22,4·10–³ м³. Тогда R == 8,31 Дж/(моль· К). Уравнение (28) для одного моля газа можно записать в виде
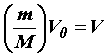
Из уравнения (29) легко получить уравнение для любой массы газа. Газ массой m займет объем V = V0(m/M), где М – масса 1 моль, m/M – число молей газа. Умножив обе части уравнения (29) на m/M, получим Так как
Уравнение называется уравнением Менделеева – Клапейрона и является основным уравнением, связывающим параметры газа в состоянии теплового равновесия. Поэтому его называют уравнением состояния идеального газа Пример решения задачи1. В колбе объемом 2,6 л находится кислород при давлении 2,3 атм и температуре 26 оС. Вопрос: сколько молей O2 содержится в колбе? Из газового закона найдем искомое число молей n:
Не следует забывать преобразовывать температуру из градусов Цельсия в кельвины: (273 оС + 26 оС) = 299 K. Вообще говоря, чтобы не ошибиться в подобных вычислениях, нужно внимательно следить за размерностью величин, подставляемых в уравнение Клапейрона-Менделеева. Если давление дается в мм ртутного столба, то нужно перевести его в атмосферы, исходя из соотношения: 1 атм = 760 мм рт. ст. Давление, заданное в паскалях (Па), также можно перевести в атмосферы, исходя из того, что 101325 Па = 1 атм. ** Можно проводить вычисления и в системе СИ, где объем измеряется в м3, а давление - в Па. Тогда используется значение газовой постоянной для системы СИ: R = 8,314 Дж/K·моль. П ример решения задачи 2. Газообразный хлор массой 0,01 г, находящийся в запаянной ампуле объемом 10 см3, нагревают от 0 до 273oС. Чему равно начальное давление хлора при 0oС и при 273oС? Решение. Мr(Сl2) =70,9; отсюда 0,01 г хлора соответствует 1,4
аналогично находим давление хлора (р2) при 273oС: р2 = 0,62 атм. Пример решения задачи 3. Чему равен объем, который занимают 10 г оксида углерода (II) при температуре 15oС и давлении 790 мм рт. ст.? Решение.
Задачи для самостоятельной работы. 1. Какой объем (при н. у.) занимает 0,5 моль кислорода? |
Выполнить задание
№ | Вопрос | ответ |
1 | Как называют процессы, протекающие при неизменном значении одного из параметров? | |
2 | Какими тремя макроскопическими параметрами характеризуется состояние данной массы газа? | |
3 | Какой процесс называют изотермическим? | |
4 | Какой процесс называют изобарным? | |
5 | Какой процесс называют изохорным? | |
6 | Как называют количественные зависимости между двумя параметрами газа при фиксированном значении третьего параметра? | |
7 | Сформулируйте закон Бойля-Мариотта. | |
8 | Сформулируйте закон Шарля. | |
9 | Сформулируйте закон Гей-Люссака. | |
10 | . Какой из приведенных ниже графиков соответствует изобарному расширению? |
|
11 | . Какой из приведенных ниже графиков соответствует процессу изотермического расширения? |
|
12 | Какое значение температуры по шкале Кельвина соответствует температуре 1000С? | 273. К, 373. К, 473К. |
13 | В сосуде объемом 8,3м3 находится 0,04 кг гелия при температуре 1270С. Определить его давление. | |
14 | Газ занимает объем 2м3 при температуре 546К Каким будет его объем при температуре 819К? | |
15 | Определите массу водорода, находящегося в баллоне вместимостью 20 м3 под давлением 830 Па при температуре 17 0С. |
Закон Дальтона.
В обычных условияхразличные газы при смешивании друг с другом в произвольных соотношениях образуют однородные смеси. Молекулы идеального газа двигаются независимо друг от друга. Если в ограниченном объеме смешать несколько газов, то каждый газ сохраняет в смеси теже свойства, которые он имел в данном объеме в отсутствие других газов. Это следует из того, что молекулы идеальных газов не взаимодействуют друг с другом. Так, каждый газ будет оказывать свое собственное давление, называемое парциальным давлением, такое, как если бы он занимал один весь объем.
Закон Дальтона — Давление смеси газов, не взаимодействующих друг с другом химически, равно сумме парциальных давлений этих газов.
Для того чтоб понять, что представляет из себя закон Дальтона , рассмотрим для этого воздух в комнате. Он представляет собой смесь нескольких газов: азота (80%), кислорода (20%). Парциальное давление каждого из этих газов — это давление, которое имел бы газ, если бы он один занимал весь объем. К примеру, если бы все газы, кроме азота, удалили из комнаты, то давление того, что осталось, и было бы парциальным давлением азота. Закон Дальтона утверждает, что общее давление всех газов вместе взятых равно сумме парциальных давлений каждого газа в отдельнсти. (Строго говоря, закон применим только к идеальным газам, но с достаточно хорошим приближением он описывает также и реальные газы.)
Так же, закон Дальтона описывает связь растворимости компонентов газовой смеси, которая пропорциональна их парциальному давлению.
В Формуле мы использовали :
— Давление смеси газов
— Масса растворимого газа
— Давление окружающей среды
Пример решения задачи1.
Камеру объемом V = 10 л наполнили при температуре t1 = 0 °C сухим воздухом, ввели в нее m = 3 г воды, закрыли, а затем нагрели до t2 = 100 °C. Какое давление установится в камере, если первоначальное давление было p1 = 105 Па?
Решение:
Искомое давление по закону Дальтона равно сумме давлений водяного пара и сухого воздуха. Давление сухого воздуха, первоначально находившегося в камере, найдем по закону Шарля:
pв = p1T2/T1 ≈ 136,6 кПа.
Прежде чем дать окончательное заключение о давлении пара, выясним, будет ли он насыщенным при t2 = 100 °C. Предположив, что вся вода испарилась, оценим возможное парциальное давление пара:
pп = mRT2/(MV) ≈ 51,7 кПа.
Давление же насыщенного водяного пара при данной температуре почти в два раза больше (100 кПа). Значит, наше предположение правильное, и для полного давления в камере получим
p = pв + pп ≈ 188,3 кПа.
· Если бы давление пара при оценке получилось большим, чем 100 кПа, то отсюда следовало бы, что пар еще насыщенный и его давление 100 кПа, а полное давление в камере p ≈ 236,6 кПа.
Ответ: p = ≈ 188,3 кПа.
Пример решения задачи2.
А10. В двух сосудах, соединенных тонкой трубкой с закрытым краном, при одинаковых температурах находится гелий. Вместимость сосуда V1 = 2,0 л, давление в нем p1 = 4,0×105 Па. Давление во втором сосуде p2 = 2,0×105 Па. После открытия крана в сосудах установилось давление p = 0,28 МПа. Если температура гелия не изменяется, то вместимость V2 второго сосуда равна:
Решение.
Давление, производимое смесью газов, по закону Дальтона равно сумме парциальных давлений газов: p' = p1' + p2'. Парциальное давление — давление, производимое газом в предоставленном ему объеме при отсутствии других газов.
p1V1 = p1'(V1 + V2), |
отсюда:
p1' = | V1 | p1. |
V1 + V2 |
Аналогично:
p2' = | V2 | p2, |
V1 + V2 |
тогда:
p = | V1 | p1 + | V2 | p2. |
V1 + V2 | V1 + V2 |
Выразим искомый V2:
V2 = | p1 − p | V1. |
p − p2 |
Вычислим:
V2 = | 4,0×10−5 − 0,28×10−6 | 2 = 3 (л). |
0,28×10−6 − 2,0×105 |
Задачи для самостоятельной работы
1. Сосуд содержащий 6 л воздуха при давлении 100 кПа, соединяют с пустым сосудом вместимостью 4 л. Какое давление установится в сосудах, если температура не меняется?
2. Два сосуда с газом вместимостью 2л и 5л соединяют между собой. В первом сосуде газ находится под давлением 100 кПа, во втором – 30 кПа. Найдите давление, под которым будет находиться газ, если температура в сосудах одинакова и постоянна.
3. Какова плотность смеси, состоящей из 40г кислорода и 20г углекислого газа при температуре 00С и нормальном давлении?
4. Открытую стеклянную колбу вместимостью 300 см3 нагрели до 1270С, после чего её горлышко опустили в керосин (плотность 800кг/м3). Сколько граммов жидкости войдёт в колбу, если она охладится до 170С? Давление в колбе считать постоянным.
Реальные газы
Как мы видели, идеальный газ — это упрощенная модель реальных газов. В этой модели не учитываются объем молекул и силы взаимодействия между ними. Между тем молекулы реальных газов занимают определенный объем и взаимодействуют между собой. При больших давлениях и низких температурах становится заметным влияние собственных объемов молекул и сил взаимодействия между ними. При этих условиях уравнение Клапейрона—Менделеева и законы Бойля—Мариотта, Гей-Люссака, Шарля непригодны для описания состояния реальных газов.
В 1873 г. голландский физик И. Ван дер-Ваальс ввел в уравнение Клапейрона—Менделеева поправки на размер молекул и на действие сил притяжения между ними. И. Ван-дер-Ваальс предложил модель реального газа, в которой молекулы принимаются за твердые шарики диаметром d и занимают хоть малый, но некоторый объем. Молекулы не только отталкиваются при соударениях, но еще и притягиваются друг к другу сравнительно слабыми силами на расстояниях, сравнимых с размерами молекул.
Запишем уравнение Клапейрона—Менделеева для одного моля идеального газа (m = M)
pVM=RT
, где VM — молярный объем газа.
Учет собственного объема молекул приводит к тому, что фактический свободный объем, в котором могут двигаться молекулы реального газа, будет не VM, a (VM - b), где постоянная b равна приблизительно учетверенному собственному объему молекул.
Действие сил притяжения между молекулами реального газа приводит к появлению дополнительного давления на газ. При приближении некоторой молекулы к стенке сосуда все остальные молекулы оказываются по одну сторону от нее и равнодействующая сил притяжения, действующих на эту молекулу, оказывается направленной от стенки сосуда внутрь газа. Это приводит к тому, что уменьшается импульс, передаваемый молекулой стенке сосуда. В результате давление газа p на стенки сосуда уменьшается по сравнению с тем pid, каким оно было бы в отсутствие сил притяжения
p=pid−p′⇒pid=p+p′
. Как показывают расчеты, это дополнительное давление обратно пропорционально квадрату объема газа, т. е.
p′=aV2M,
где а — постоянная.
Вводя эти поправки, получим уравнение Ван-дер-Ваальса для одного моля газа (уравнение состояния реальных газов)
(p+aV2M)(VM−b)=RT.
Если газ произвольной массы m занимает объем V, то его молярный объем VM=Vν , где количество газа ν=mM. Подставив значение молярного объема, получим уравнение Ван-дер-Ваальса для произвольного числа ν молей газа:
(p+m2M2aV2)(V−mMb)=mMRT.
Постоянные для каждого газа поправки a и b находят экспериментально. Коэффициенты a и b в уравнении состояния Ван-Дер-Ваальса
|
Так как молекулы идеального газа не имеют объема и не взаимодействуют между собой, то идеальный газ при любых изменениях его параметров остается газом.
Совсем иначе ведут себя реальные газы. Чтобы убедиться в этом, исследуемый газ помещают в прозрачный цилиндр с подвижным поршнем (рис. 1), который помещают в термостат.
Рис. 1
При медленном сжатии газа температура его не изменяется (процесс изотермический) и давление газа увеличивается в соответствии с законом Бойля—Мариотта. На графике эта стадия опыта изображена кривой 1-2. Но, начиная с некоторого объема, дальнейшее уменьшение объема газа уже не приводит к увеличению давления, а на стенках цилиндра появляются капельки жидкости. При этом находящиеся одновременно газ и жидкость имеют одинаковую температуру и находятся под одинаковым давлением, т. е. находятся в термодинамическом равновесии.
Газ, находящийся в термодинамическом равновесии со своей жидкостью, называется насыщенным паром.
Таким образом, участок изотермы 2-3 соответствует насыщенному пару над жидкостью (двухфазная среда). Когда весь газ превратится в жидкость, дальнейшее уменьшение объема приводит к резкому возрастанию давления (участок кривой 3-4), поскольку молекулы в жидкости упакованы достаточно плотно и ее сжимаемость мала. Вся кривая 1-2-3-4 называется изотермой реального газа.
Таким образом, изотермы реального газа заметно отличаются от изотерм идеального газа наличием у них горизонтальных участков, соответствующих области существования двухфазной системы.
Следовательно, основное отличие реальных газов от идеального состоит в том, что реальный газ может быть превращен в жидкость.
Итак, характерным свойством реальных газов является их способность при определенных условиях превращаться в жидкость. Понижая температуру и увеличивая давление, реальные газы можно превратить в жидкость. Однако оказалось, что для каждого газа имеется предельная температура выше которой он не может быть превращен в жидкость, как бы сильно не увеличивали давление. Эта температура получила название критической. При температуре ниже критической приложенное для сжижения газа давление должно быть тем меньше, чем меньше температура..Давление, которое нужно приложить к газу для его сжижения при критической температуре называют критическим давлением, а объем газа при этой температуре - критическим объемом. Состояние отвечающее критическому давлению. критической температуре и критическому объему называют критическим состоянием или критической точкой.
Если критическая температура значительно ниже комнатной, то приходится применять специальные методы. Одним из таких методов является дросселирование. Дросселирование - расширение жидкости, пара или газа при прохождении через дроссель - местное гидродинамическое сопротивление (сужение трубопровода, вентиль, кран и другие), сопровождающиеся изменением температур.
Дросселирование широко применяется для измерения и регулирования расхода жидкостей газов. (Дроссельэффект) заключается в изменении температуры газа при его адиабатическом (без теплообмена с окружающей средой) дросселировании, т. е. протекании через пористую перегородку, диафрагму или вентиль. Эффект называется положительным, если температура газа при адиабатическом дросселировании понижается, и отрицательным, если она повышается.
Для каждого реального газа существует точка инверсии - значение температуры при которой измеряется знак эффекта. Для воздуха и многих других газов точка инверсии лежит выше комнатной температуры и они охлаждаются в процессе Джоуля-Томсона.
Пример решения задачи1.
Давление р кислорода равно 7 МПа, его плотность р=100 кг/м3. Найти температуру Т кислорода.

Пример решения задачи 2.
Определить давление р водяного пара массой m=1 кг, взятого при температуре Т=380 К и объеме V:л;л; 3) 2 л.

Пример решения задачи 3.
Вычислить постоянные а и b в уравнении Ван-дер-Ваальса для азота, если известны критические температуры Tкр=126 К и давление ркр=3,39 МПа.

Пример решения задачи 4.
Вычислить критические температуру Ткр и давление ркр.: 1) кислорода; 2) воды.

Пример решения задачи 5.
Критическая температура Tкр аргона равна 151 К и критическое давление ркр=4,86 МПа. Определить по этим данным критический молярный объем Vm кр аргона.

Задачи для самостоятельной работы.
1.Запаянная стеклянная колба объемом V = 5,0 л, заполненная азотом в
количестве n = 3,0 моль, оказалась в космическом пространстве. Колба
лопнула, и газ стал неограниченно расширяться. Рассматривая азот как
реальный газ, определите изменение его температуры ΔТ. Константа Ван-
дер-Ваальса а = 0,137 Н·м4/моль2 .
Ответ: ΔТ = – 6,6 К.
2. Один моль углекислого газа находится при температуре Т = 300 К. Определить относительную погрешность δ=∆P/ P, которая будет допущена при вычислении давления, если вместо уравнения Ван–дер–Ваальса воспользоваться уравнением Менделеева – Клапейрона. Вычисления выполнить для двух значений объема: 1) V = 5 л; 2) V = 0,5 л. Постоянные Ван–дер– Ваальса для углекислого газа а = 0,361 Па м 6 /моль2 , b = 4,28 10–5 м 3 /моль.
3.10 г гелия занимают объем 100 см3 при давлении 100 МПа. Определить внутреннее давление и температуру газа, пользуясь уравнениями Ван-дер-Ваальса и Менделеева - Клапейрона.
Жидкое агрегатное состояние вещества
Жидкость — самое необычное состояние вещества. И главное его своеобразие заключается в том, частицы жидкости испытывают взаимное отталкивание, но продолжают оставаться вместе. Поэтому для стабильного существования вещества в жидком состоянии необходимо внешнее давление не ниже определённой величины, определяемой составом вещества и температурой, в противном случае жидкость сразу превратится в пар! Кстати, этой же причине многие аспекты испарения и конденсации придётся рассматривать уже здесь, а не в посвящённом им разделе — ведь жидкость почти никогда не существует отдельно от своих паров.
Механизм обеспечения жидкого состояния
Каков же механизм, обуславливающий в условиях атмосферы сохранение жидкого состояния? Почему взаимно отталкивающиеся частицы жидкости не разлетаются в разные стороны немедленно? Потому, что с частицами окружающей их газовой среды они испытывают ещё большее отталкивание, чем между собой, так что держаться вместе, рядом друг с другом, им энергетически выгодно. Сжимаемые внешней средой, они находятся на очень близких расстояниях друг от друга, — эти расстояния лишь ненамного отличаются от межмолекулярных расстояний в твёрдых кристаллах. Поэтому молекулы жидкости ориентированы не хаотически, а с учётом формы и ориентации своих соседей, а те, в свою очередь, — соседей соседей и так далее, образуя те самые псевдокристаллы с достаточно строгим внутренним «ближним порядком», существование которых в жидкостях уже давно стало общепризнанным. Однако в отличии от «твёрдых» кристаллов, где атомы связаны силами взаимного притяжения, в жидкостных псевдокристаллах элементы испытывают слабое взаимное отталкивание. Поэтому достаточно любого более-менее значимого повода, чтобы частицы жидкости «проскользнули» друг по другу — жидкость течёт. Да и взаимное отталкивание даёт больше степеней свободы в плане возможной ориентации частиц жидкости по сравнению с притяжением. Образно говоря, «твёрдый» кристалл можно сравнить со стенкой, сложенной из кирпичей, скреплённых цементом, которая все внешние воздействия воспринимает как единое целое, а «жидкий» псевдокристалл — с такой же стенкой, но сложенной «всухую», без раствора — она менее прочная, но зато кирпичики в ней имеют бóльшую свободу, и до определённого предела она даже может изгибаться и колебаться без разрушения.
При повышении температуры усиливается и «тепловое дрожание» молекул, расстояния между ними увеличиваются, а межмолекулярные силы отталкивания внутри жидкости возрастают. Этому способствуют и всё менее тесные ограничения свободы со стороны ближайших соседей. Плотность жидкости уменьшается. Наконец, когда силы межмолекулярного отталкивания внутри жидкости сравняются с силой отталкивания между частицами жидкости и атмосферы, происходит массовое испарение жидкости, то есть кипение.
,
Вязкость, жидкостное трение и сверхтекучесть
Хотя взаимное отталкивание и обеспечивает подвижность жидкости, её молекулы не могут двигаться свободно и независимо друг от друга. Наоборот, малое расстояния между частицами жидкости обуславливает их весьма сильное взаимовлияние, по своей эффективности близкое к прямому механическому контакту. В результате движение любой частицы жидкости неизбежно сопровождается расталкиванием и вовлечением в своё движение ближайших соседей, а вынужденное движение этих соседей вовлекает в процесс и более удалённые частицы — так что заметно возмущённой оказывается достаточно обширная область окрестностей инициатора движения. Однако отсутствие жёстких связей между частицами обеспечивает постепенное затухание этого возмущения по мере удаления от его центра, поэтому в движение вовлекается лишь часть объёма жидкости, а не вся жидкость независимо от её объёма, как это имеет место в случае твёрдых веществ с жёсткими связями между молекулами.
Очевидно, что подобное возмущение соседних частиц требует затрат энергии, которые вызывают потери кинетической энергии инициатора движения и его торможение. Таков основной механизм вязкости — главной причины жидкостного трения Вя́зкость (вну́треннее тре́ние) — одно из явлений переноса, свойство текучих тел (жидкостей и газов) оказывать сопротивление перемещению одной их части относительно другой. В результате происходит рассеяние в виде тепла работы, затрачиваемой на это перемещение. Механизм внутреннего трения в жидкостях и газах заключается в том, что хаотически движущиеся молекулы переносят импульс из одного слоя в другой, что приводит к выравниванию скоростей — это описывается введением силы трения. Вязкость твёрдых тел обладает рядом специфических особенностей и рассматривается обычно отдельно. Различают динамическую вязкость (единицы измерения: Па·с = 10 Пуаз) и кинематическую вязкость (единицы измерения: Стокс, м²/с, внесистемная единица — градус Энглера). Кинематическая вязкость может быть получена как отношение динамической вязкости к плотности вещества и своим происхождением обязана классическим методам измерения вязкости, таким как измерение времени вытекания заданного объёма через калиброванное отверстие под действием силы тяжести. Прибор для измерения вязкости называется вискозиметром. Величину, обратную вязкости, называют текучестью. На вязкость и текучесть влияют силы притяжения между молекулами жидкости, их молекулярная масса и другие факторы. Однако когда жидкость состоит из больших молекул сложной формы, они могут «переплетаться» между собой, и для взаимного движения им надо не просто «растолкать» соседей, но ещё и «разогнуть» часть своих и чужих изгибов. При этом жёсткость формы молекулы очень сильно зависит от межатомного расстояния, определяемого текущей температурой вещества — уже небольшое увеличение межатомной дистанции резко уменьшает усилия, необходимые для «разгибания» молекулы. Поэтому вязкость таких жидкостей зависит от температуры гораздо сильнее, чем у жидкостей с простыми молекулами, — вплоть до перехода к почти твёрдому состоянию при температурах, когда молекулы ещё не притягиваются друг к другу — лишь за счёт «отвердения» формы молекул (например, если в диапазоне от 10 до 70°С вязкость бензола падает в 2.2 раза, воды — в 3.2 раза, анилина — в 5.1 раза, то трансформаторного масла — в 11 раз, а касторового масла — в 50 раз). Для жидкостей с простыми молекулами, типа воды, главным фактором падения вязкости с температурой является увеличение межмолекулярных расстояний, вызванное тепловым расширением — «расталкивать» уже можно не так сильно, и энергии на это тратится меньше.
Смачиваемость и поверхностное натяжение.
Всем известно, что одна и та же жидкость может хорошо смачивать одни поверхности, обволакивая их и даже поднимаясь на значительную высоту против силы тяжести, и очень плохо смачивать другие, отказываясь растекаться по ним и собираясь в крупные капли. Этот эффект зависит от сочетания жидкости с материалом поверхности. В чём же дело?
. Примером поверхности, которую очень сложно смочить водой, является тефлон (политетратфторэтилен, ПТФЭ). Это свойство позволило использовать тефлон для изготовления антипригарных покрытий соусниц и сковородок. При попадании воды на поверхность тефлона, она образует шарики, которые не растекаются по поверхности материала. Такое свойство материала называется плохой смачиваемостью. На Рис. 1.10.3 представлены возможные варианты смачивания поверхности материала.

Взаимодействие между субстратом и адгезивом происходит под действием движущей силы, которая распределяет адгезив по поверхности субстрата. Этой движущей силе противодействует сила сопротивления растеканию адгезива по поверхности субстрата, которая зависит от вязкости адгезива, степени шероховатости поверхности твердого материала и присутствия загрязнений. Движущая сила обеспечивается поверхностной энергией адгезива и субстрата. В массе твердого вещества или жидкости, молекулы подвержены действию сил притяжения во всех направлениях. Таким образом, каждая молекула находится в состоянии динамического равновесия с окружающими ее молекулами. Однако на поверхности вещества этот тонкий баланс нарушается, что приводит к притяжению молекулы внутрь, в направлении огромного числа молекул в массе материала. Действие сил притяжения внутрь материала создает энергию на поверхности материала, называемую поверхностной энергией. У жидкостей поверхностную энергию называют поверхностным натяжением. Под действием поверхностного натяжения жидкость стремится принять сферическую форму. Это происходит потому, что в отличие от других форм, сфера обладает наименьшей площадью поверхности, и, следовательно, минимальной поверхностной энергией для данного объема жидкости, что позволяет свести к минимуму суммарную энергию жидкости. В то время, как поверхностное натяжение жидкости представляет собой реальное напряжение на ее поверхности, в случае твердого тела поверхностная энергия связана с работой по растяжению его поверхности, а не с приданием этой поверхности определенной формы. Измерить поверхностную энергию твердого вещества намного сложнее, чем жидкости. Один из создателей учения о смачиваемости материалов, Зисман, предложил подход, который в настоящее время широко используется для оценки поверхностной энергии твердого вещества. Он разработал концепцию, называемую концепцией критической энергии поверхности. При контакте жидкости с твердым телом, угол, образованный между твердой и жидкой поверхностями, называют контактным углом. Контактный угол зависит от поверхностного натяжения жидкости и поверхностной энергии твердого вещества.

Измерение контактного угла между твердым телом и жидкостью позволяет оценить способность жидкости смачивать поверхность определенного субстрата. Для идеального смачивания, обеспечивающего идеальные условия для адгезии, угол между твердой поверхностью и жидкостью должен быть равным нулю. В этом случае жидкость полностью покроет твердую поверхность, что позволит создать максимальную прочность связи между адгезивом и субстратом. Движущая сила этого процесса, или, иными словами, растекание жидкости по твердой поверхности, зависит от поверхностного натяжения жидкости и поверхностной энергии твердого тела. Величина поверхностного натяжения, при которой косинус контактного угла равен 1, называется критической поверхностной энергией твердого тела. Критическая поверхностная энергия твердого тела равна поверхностному натяжению жидкости, полностью растекшейся по твердой поверхности. Таким образом, жидкость с низкой поверхностной энергией будет легко растекаться по поверхности субстрата с высокой поверхностной энергией, поскольку поверхность субстрата будет замещена поверхностью с более низкой энергией
Абсорбция и диффузия газов
Растворение газов в жидкости называется абсорбцией. Этот процесс аналогичен растворению твёрдых веществ — молекулы таких газов испытывают притяжение к молекулам жидкости и потому поглощаются ею в больших количествах, — вплоть до того, что из-за поглощения газа давление в газовой среде может упасть во много раз (именно на этом основана работа абсорбционных холодильников). Обратное разделение, как правило, происходит при нагревании полученного раствора, когда в первую очередь разрушаются связи между молекулами газа и жидкости, а не их внутримолекулярные связи.
Диффузия газов в жидкость принципиально отличается от «истинной» абсорбции — между молекулами жидкости и газа при этом не возникает притяжения, а сохраняется взаимное отталкивание. Оно может быть меньше взаимного отталкивания частиц жидкости, а может быть и больше. В первом случае газ растворяется в жидкости достаточно хорошо, во втором — плохо. Однако попадание газа в жидкость возможно почти всегда — вследствие относительно высокой скорости его молекул в обычных условиях, они могут «пробить» не только поверхностный энергетический барьер жидкости, но и несколько углубиться в неё, а затем их может увлечь глубже тепловое движение в жидкости — то самое, что вызывает всем известное «броуновское движение». Вероятность такого захвата растёт с ростом температуры, а значит, скоростей молекул газа и обусловленной этим вероятности врезаться в жидкость достаточно глубоко, чтобы затем быть увлечённым в глубину. Повышение давления газа также способствует увеличению его растворимости (точнее, диффузии в жидкость) — по мере сближения частиц газа и вызванного этим роста взаимного отталкивания разность между силой отталкивания молекул газа с молекулами жидкости и между собой уменьшается, и вдруг может оказаться более выгодным вообще погрузиться в жидкость, нежели оставаться в газообразном виде. Примером тому является самый обычный углекислый газ — если при комнатных условиях его растворимость в воде весьма мала, то при относительно небольшом повышении давления она возрастает во много раз — именно поэтому в шампанском и газировке, полученной в сифоне с помощью баллончика с углекислым газом, образуется столько пузырьков, а то, что находится в сифоне, является уже не водой, а раствором угольной кислоты с ощутимо кислым вкусом!
Кипение. Испарение. Конденсация.
Кипе́ние — процесс парообразования в жидкости (переход вещества из жидкого в газообразное состояние), с возникновением границ разделения фаз. Температура кипения при атмосферном давлении приводится обычно как одна из основных физико-химических характеристик химически чистого вещества.
Испарение – это переход вещества из жидкого состояния в газообразное, т. е. образование пара, происходящее со свободной поверхности жидкости (рис. 2). Вследствие теплового движения молекул испарение возможно при любой температуре. При этом с поверхности жидкости вылетают наиболее быстрые молекулы. Их кинетическая энергия превышает работу сил молекулярного сцепления жидкости. В процессе испарения жидкость охлаждается, поскольку средняя кинетическая энергия молекул, оставшихся в жидкости, понижается.
Скорость испарения зависит от типа жидкости. Она увеличивается с возрастанием температуры жидкости и площади ее свободной поверхности, а также при наличии ветра, который уносит вылетевшие из жидкости молекулы, не давая им вернуться обратно в жидкость.
Конденсация – это переход вещества из газообразного состояния в жидкое (конденсированное), например, пара в жидкость. Конденсация может наблюдаться при охлаждении или сжатии газа.
Удельная теплота парообразования – это скалярная физическая величина, численно равная количеству теплоты, которое необходимо для превращения жидкости массой 1 кг в пар при постоянной температуре. Единицей удельной теплоты парообразования в СИ является Дж/кг. Удельная теплота парообразования r заносится в справочные таблицы. Таким образом, для перевода жидкости массой m в пар требуется количество теплоты
Q = rm
При конденсации определенной массы вещества выделяется такое же количество теплоты, которое поглощается при испарении той же массы.
Кипение отличается от испарения, тем, что может происходить при определённой температуре и давлении. Кипение, как и испарение, является одним из способов парообразования.
Кипение является фазовым переходом первого рода. Кипение происходит гораздо более интенсивно, чем испарение с поверхности, из-за образования очагов парообразования, обусловленных как достигнутой температурой кипения, так и наличием примесей.
На процесс образования пузырьков можно влиять с помощью давления, звуковых волн, ионизации и других факторов возникновения центров парообразования. В частности, именно на принципе вскипания микрообъёмов жидкости от ионизации при прохождении заряженных частиц работает пузырьковая камера.
Кипячение — нагревание жидкости (обычно воды) до температуры кипения По мере нагрева жидкости на греющей поверхности образуются пузырьки пара При увеличении температуры жидкости интенсивность испарения увеличивается. Наконец, жидкость начинает кипеть. При кипении по всему объему жидкости образуются быстро растущие пузырьки пара, которые всплывают на поверхность. Температура кипения жидкости остается постоянной. Это происходит потому, что вся подводимая к жидкости энергия расходуется на превращение ее в пар. При каких условиях начинается кипение?
В жидкости всегда присутствуют растворенные газы, выделяющиеся на дне и стенках сосуда, а также на взвешенных в жидкости пылинках, которые являются центрами парообразования. Пары жидкости, находящиеся внутри пузырьков, являются насыщенными. С увеличением температуры давление насыщенных паров возрастает и пузырьки увеличиваются в размерах. Под действием выталкивающей силы они всплывают вверх. Если верхние слои жидкости имеют более низкую температуру, то в этих слоях происходит конденсация пара в пузырьках. Давление стремительно падает, и пузырьки захлопываются. Захлопывание происходит настолько быстро, что стенки пузырька, сталкиваясь, производят нечто вроде взрыва. Множество таких микровзрывов создает характерный шум. Когда жидкость достаточно прогреется, пузырьки перестанут захлопываться и всплывут на поверхность. Жидкость закипит. Понаблюдайте внимательно за чайником на плите. Вы обнаружите, что перед закипанием он почти перестает шуметь.
Зависимость давления насыщенного пара от температуры объясняет, почему температура кипения жидкости зависит от давления на ее поверхность. Пузырек пара может расти, когда давление насыщенного пара внутри него немного превосходит давление в жидкости, которое складывается из давления воздуха на поверхность жидкости (внешнее давление) и гидростатического давления столба жидкости.
Обратим внимание на то, что испарение жидкости происходит при температурах, меньших температуры кипения, и только с поверхности жидкости, при кипении образование пара происходит по всему объему жидкости.
Кипение начинается при температуре, при которой давление насыщенного пара в пузырьках сравнивается с давлением в жидкости.
Чем больше внешнее давление, тем выше температура кипения. Так, в паровом котле при давлении, достигающем 1,6•106 Па, вода не кипит и при температуре 200°С. В медицинских учреждениях в герметически закрытых сосудах - автоклавах (рис.11.2) кипение воды также происходит при повышенном давлении. Поэтому температура кипения жидкости значительно выше 100°С. Автоклавы применяют для стерилизации хирургических инструментов и др.
И наоборот, уменьшая внешнее давление, мы тем самым понижаем температуру кипения. Откачивая насосом воздух и пары воды из колбы, можно заставить воду кипеть при комнатной температуре (рис.11.3). При подъеме в горы атмосферное давление уменьшается, поэтому уменьшается температура кипения. На высоте 7134 м (пик Ленина на Памире) давление приближенно равно 4•104 Па (300 мм рт. ст.). Вода кипит там примерно при 70°С. Сварить мясо в этих условиях невозможно.
У каждой жидкости своя температура кипения, которая зависит от давления ее насыщенного пара. Чем выше давление насыщенного пара, тем ниже температура кипения жидкости, так как при меньших температурах давление насыщенного пара становится равным атмосферному. Например, при температуре кипения 100°С давление насыщенных паров воды равно Па (760 мм рт. ст.), а паров ртути - всего лишь 117 Па (0,88 мм рт. ст.). Кипит ртуть при температуре 357°С при нормальном давлении.
Жидкость закипает, когда давление ее насыщенного пара становится равно давлению внутри жидкости.
Вопросы для самоконтроля
1.В чем особенность внутреннего строения жидкостей?
2.Перечислите основные свойства жидкости.
3.Дайте понятие «вязкость» и «текучесть».
4.Что служит причиной поверхностного натяжения?.
5.Почему температура кипения жидкости зависит от давления на ее поверхности?
6.Дайте понятие абсорбции.
7.Чем кипение отличается от испарения?
8.В чем суть конденсации?
Твердое состояние вещества
В твердом состоянии частицы настолько сближаются друг с другом, что между ними возникают прочные связи, отсутствует поступательное движение и сохраняются колебания около своего положения.
Твердое состояние вещества определяется тем, что энергия взаимодействия его частиц между собой выше кинетической энергии их движения.
Твердые вещества могут находиться в аморфном и кристаллическом состоянии.
Вещества в аморфном состоянии
В аморфном состоянии вещества не имеют упорядоченной структуры.
Главный признак аморфного состояния вещества − отсутствие атомной или молекулярной решетки, то есть трехмерной периодичности структуры, характерной для кристаллического состояния.
При охлаждении жидкого вещества не всегда происходит его кристаллизация. При определенных условиях может образоваться неравновесное твердое аморфное (стеклообразное) состояние. В стеклообразном состоянии могут находиться простые вещества (углерод, фосфор, мышьяк, сера, селен), оксиды (например, бора, кремния, фосфора), галогениды, халькогениды, многие органические полимеры.
В этом состоянии вещество может быть устойчиво в течение длительного промежутка времени, например, возраст некоторых вулканических стекол исчисляется миллионами лет. Физические и химические свойства вещества в стеклообразном аморфном состоянии могут существенно отличаться от свойств кристаллического вещества. Например, стеклообразный диоксид Германия химически более активен, чем кристаллический. Различия в свойствах жидкого и твердого аморфного состояния определятся характером теплового движения частиц: в амор-фном состоянии частицы способны лишь к колебательным и вращательным движениям, но не могут перемещаться в толще вещества.
^ Стеклообразное состояние – твердое аморфное состояние вещества, которое получается в результате глубокого переохлаждения жидкости. Это состояние неравновесно, однако стекла могут существовать длительное время. Размягчение стекла происходит в некотором диапазоне температур – интервале стеклования, границы которого зависят от скорости охлаждения. С увеличением скорости охлаждения жидкости или пара возрастает вероятность получения данного вещества в стеклообразном состоянии.
В конце 60-х годов XX века получены аморфные металлы (металлические стекла). Для этого потребовалось охлаждать расплавленный металл со скоростью 106–108 град/с. Большинство аморфных металлов и сплавов кристаллизуются при нагреве свыше 300 оС. Одно из важнейших применений аморфных металлов – микроэлектроника.
Аморфные вещества изотропны, т. е. имеют одинаковые свойства во всех направлениях. Переход аморфного вещества из твердого состояния в жидкое не сопровождается скачкообразным изменением свойств. Физическая модель аморфного состояния до сих пор не создана.
Вещества в кристаллическом состоянии
Кристаллы (от греч. krystallos, первонач. − лед) – твердые тела, атомы, ионы или молекулы которых образуют упорядоченную периодическую структуру (кристаллическую решетку). Кристалл – равновесное состояние твердых тел: каждому веществу, находящемуся при данных температуре и давлении, в кристаллическом состоянии соответствует определенная кристаллическая структура. При изменении внешних условий структура может измениться.
^ Твердые кристаллические вещества обладают упорядоченной структурой с повторяющимися элементами, что позволяет исследовать их методом дифракции рентгеновских лучей.
Монокристаллы (одиночные соединения) характеризуются анизотропностью – зависимостью свойств от направления в пространстве.
Регулярное расположение частиц в твердом теле изображается в виде кристаллической решетки. Кристаллические вещества плавятся при определенной температуре, называемой температурой плавления.
Кристаллы характеризуются энергией, постоянной кристаллической решетки и координационном числом.
^ Постоянная решетка характеризует расстояние между центрами частиц, занимающих узлы в кристалле, в направлении характеристических осей.
Координационным числом обычно называется число частиц, непосредственно примыкающих к данной частице в кристалле (смотри рисунок 7.1 – координационное число восемь и по цезию и по хлору).
Строение кристалла хлористого цезия ^ CsCl (а)
Энергией кристаллической решетки называют энергию, необходимую для разрушения одного моля кристалла и удаления частиц за пределы их взаимодействия.
Кристаллические структуры. Основой структуры вещества в твердом состоянии является кристалл. На его размеры сильно влияют условия кристаллизации, которую обычно проводят из растворов. Желая получить мелкие кристаллы, заставляют быстро охлаждаться раствор, насыщенный при высокой температуре. Наоборот, желая вызвать образование крупных кристаллов, оставляют раствор стоять при обычной температуре, чтобы кристаллизация медленно протекала по мере испарения растворителя.
Наименьшей структурной единицей кристалла, которая выражает все свойства его симметрии, является элементарная ячейка. При многократном повторении ячейки по трем измерениям получают кристаллическую решетку.
^ Все многообразие кристаллических форм различных веществ может быть сведено к 32 группам симметрии, которые подразделяются на три категории: низшую, среднюю и высшую.
Категории делятся на 7 основных элементарных ячеек (сингоний): кубическая, тетраэдрическая, гексагональная, ромбоэдрическая, орторомбоэдрическая, моноклинная и триклинная. Имеется семь производных от основных элементарных ячеек, например, объемноцентрированная, кубическая гранецентрированная.
Высшая категория − кубическая (правильная) и октаэдрическая системы. Все три оси взаимно перпендикулярны и равны по величине. Наиболее простой формой кубической системы являются куб и октаэдр. Также возможны комбинации куба с октаэдром.

Кубическая и октаэдрическая системы
Слева изображен кристалл каменной соли (NaCl), а справа кристалл октаэдрической формы – кристалл хромокалиевых квасцов.
^ Низшая категория − моноклинная система. Две оси взаимно перпендикулярны, а третья наклонна по отношению к их плоскости, оставаясь перпендикулярной одной из двух первых. На долю этой системы приходится наибольшая часть всех изученных кристаллов – около 42

К этой системе относятся кристаллы никелевого купороса.
Изоморфные вещества – вещества близкой химической природы, образующие одинаковые кристаллические структуры: CaSiO4 и MgSiO4.
Полиморфизм – соединения, существующие в двух и более кристаллических структурах, например SiO2 (в виде гексагонального кварца, ромбического тридимита и кубического кристобаллита.)
^ Аллотропные модификации – полиморфные модификации простых веществ, например, углерод: алмаз, графит, карбин, фуллерен.
По природе частиц в узлах кристаллической решетки и химических связей между ними кристаллы подразделяются:
− молекулярные. В узлах находятся молекулы, между которыми действуют вандерваальсовы силы, имеющие невысокую энергию (кристаллы льда).
Молекулярные кристаллы построены из отдельных молекул, внутри которых атомы соединены ковалентными связями. Между молекулами действуют более слабые межмолекулярные силы. Они легко разрушаются, поэтому молекулярные кристаллы имеют низкие температуры плавления, малую твердость, высокую летучесть. Вещества, образующие молекулярные кристаллические решетки, не обладают электрической проводимостью, их растворы и расплавы также не проводят электрический ток.
Межмолекулярные силы возникают за счет электростатического взаимодействия отрицательно заряженных электронов одной молекулы с положительно заряженными ядрами соседних молекул. На силу межмолекулярного взаимодействия влияет много факторов. Важнейшими среди них является наличие полярных связей, то есть смещения электронной плотности от одних атомов к другим. Кроме того, межмолекулярное взаимодействие проявляется сильнее между молекулами с большим числом электронов.
Большинство неметаллов в виде простых веществ (например, иод I2, аргон Ar, сера S8) и соединений друг с другом (например, вода, диоксид углерода, хлороводород), а также практически все твердые органические вещества образуют молекулярные кристаллы;
− атомно-ковалентные кристаллы. В узлах кристаллов располагаются атомы, образующие друг с другом прочные ковалентные связи, обладают высокой энергией решетки, например, алмаз (углерод), кремний.
Атомные кристаллы состоят из отдельных атомов, объединенных ковалентными связями. Из простых веществ только бор и элементы IVA-группы имеют такие кристаллические решетки. Нередко соединения неметаллов друг с другом (например, диоксид кремния) также образуют атомные кристаллы.
Атомные кристаллы можно считать гигантскими молекулами. Они очень прочные и твердые, плохо проводят теплоту и электричество. Вещества, имеющие атомные кристаллические решетки, плавятся при высоких температурах. Они практически нерастворимы в каких-либо растворителях. Для них характерна низкая реакционная способность;
− ионные кристаллы. Структурными единицами кристаллов этого типа являются положительно и отрицательно заряженные ионы, между которыми происходит электрическое взаимодействие, характеризуемое достаточно высокой энергией, например NaCL, KCL.
Обычно ионные кристаллы твердые, но хрупкие. Их хрупкость обусловлена тем, что даже при небольшой деформации кристалла катионы и анионы смещаются таким образом, что силы отталкивания между одноименными ионами начинают преобладать над силами притяжения между катионами и анионами и кристалл разрушается.
Ионные кристаллы отличаются высокими температурами плавления. В расплавленном состоянии вещества, образующие ионные кристаллы, электропроводны. При растворении в воде эти вещества диссоциируют на катионы и анионы и образующиеся растворы проводят электрический ток. К соединениям с ионной связью относятся большинство солей и небольшое количество оксидов;
− металлические кристаллы. Вещества, которые обладают высокой электропроводимостью, теплопроводимостью, ковкостью, пластичностью, металлическим бликом и высокой отражательной способностью по отношению к свету; связь в кристаллах металлическая, энергия металлической связи является промежуточной между энергиями ковалентных и молекулярных кристаллов.
Для металлов характерна металлическая кристаллическая решетка. В ней имеется металлическая связь между атомами. В металлических кристаллах ядра атомов расположены таким образом, чтобы их упаковка была как можно более плотной. Связь в таких кристаллах является делокализованной и распространяется на весь кристалл. Металлические кристаллы обладают высокой электрической проводимостью и теплопроводностью, металлическим блеском и непрозрачностью, легкой деформируемостью. Металлические решетки образуют простые вещества большинства элементов периодической таблицы − металлы;
− кристаллы со смешанными связями. Между частицами существуют сложные взаимодействия, которые можно описать наложением двух или более видов связей друг на друга, например, клатраты. Они образованы включением молекул (гостей) в полости кристаллического каркаса, состоящего из частиц другого вида (хозяев), например, газовые клатраты метана CH4.∙∙6H2O, клатраты мочевины.
Классификация кристаллических решеток отвечает предельным случаям. Большинство кристаллов неорганических веществ принадлежит к промежуточным типам − ковалентно-ионным, молекулярно-ковалентным и т. д. Например, в кристалле графита внутри каждого слоя связи ковалентно-металлические, а между слоями − межмолекулярные. Во многих неорганических соединениях, например, BeO, ZnS, CuCL, связь между частицами, находящимися в узлах решетки, является частично ионной и частично ковалентной.
Зонная теория кристаллов. Общий подход к рассмотрению ионных, ковалентных и металлических кристаллов дает зонная теория кристаллов, которая рассматривает твердое тело как единый коллектив взаимодействующих частиц.
Эта теория представляет собой теорию молекулярных орбиталей с очень большим числом атомов.
При образовании кристаллов в химические связи вступает огромное число частиц (N) и соответственно образуется огромное число молекулярных орбиталей (МО), охватывающих весь кристалл, разность между энергетическими уровнями МО чрезвычайно мала. В результате образуются энергетические зоны, состоящие из огромного числа подуровней. Разность между верхней и нижней энергиями зоны называется шириной зоны. Заполнение зон электронами происходит согласно принципу Паули и правилу Гунда. Зона, полностью заполненная электронами, называется валентной. Зона, свободная от электронов и находящаяся по энергии выше валентной зоны, называется зоной проводимости. Валентная зона и зона проводимости могут либо перекрываться, либо не перекрываться друг с другом.
Если зоны не перекрываются, то между ними существуют запрещенная зона Е. Ширина зоны определяет тип кристалла:Dс шириной
^ 1) металлы – валентная и зона проводимости перекрываются;
2) полупроводники – ширина запрещенной зоны <4 эВ;
3) диэлектрики – ширина запрещенной зоны > 4 эВ.
Зонная теория позволяет объяснить электрические, тепловые свойства металлов, полупроводников, полупроводников и диэлектриков.
Плавление и кристаллизация, температура плавления
Переход вещества из кристаллического твердого состояния в жидкое называется плавлением. При плавлении кристаллического тела температура системы «жидкость–кристалл» не меняется и называется температурой плавления (рис. 7).

Рис. 7
Процесс образования кристаллов из веществ, находящихся в жидком (или аморфном) состоянии, называется кристаллизацией. Во время кристаллизации упорядочивается движение частиц вещества, которое постепенно преобразуется в тепловые колебания около некоторых средних положений равновесия – узлов кристаллической решетки. Для любой химически чистой жидкости этот процесс идет при постоянной температуре – температуре кристаллизации, которая совпадает с температурой плавления данного кристалла.
Изменение внутренней энергии при плавлении и кристаллизации
При плавлении кристаллов происходит разрушение кристаллической решетки, что требует передачи телу определенного количества энергии:
Q = lm,
ПЛАЗМА
Плазма (греч. πλάσμα, «изображение, вымысел»). Плазмой в физике и химии называют ионизированный, электрически квазинейтральный газ. Плазма считается четвертым (после твердого, жидкого и газообразного) агрегатным состоянием вещества. Слово «ионизированный» означает, что от значительной части атомов или молекул отделен по крайней мере один электрон. Слово «квазинейтральный» означает, что несмотря на наличие свободных зарядов (электронов и ионов) суммарный электрический заряд плазмы равен нулю. Присутствие свободных электрических зарядов делает плазму проводящей средой, что обуславливает ее заметно большее (по сравнению с другими агрегатными состояниями вещества) взаимодействие с магнитным и электрическим полями. Четвертое состояние вещества было открыто У. Круксом в 1879 г. и названо «плазмой» И. Ленгмюром в 1928 г.
Типичные примеры плазмы
Плазма является самым распространенным агрегатным состоянием вещества. Из плазмы состоит более 99 % наблюдаемой вселенной. Общеизвестными являются следующие формы плазмы:
- Лабораторные и промышленные
- Пламя Электрическая дуга Люминесцентные лампы Выхлоп ракет Плазма для управляемого термоядерного синтеза
- Молнии Ионосфера Северное сияние Солнечный ветер Солнце и другие звезды (образуются за счет термоядерного синтеза) Межзвездные туманности Межзвездный газ
Классификация
Плазма обычно разделяется на низкотемпературную и высокотемпературную, равновесную и неравновесную, при этом довольно часто холодная плазма бывает неравновесной, а горячая равновесной.
Температура
В неравновесных плазмах электронная температура существенно превышает температуру ионов. Это происходит из-за различия в массах иона и электрона, которое затрудняет процесс обмена энергией. Такая ситуация встречается в газовых разрядах, когда ионы имеют температуру около сотен, а электроны около десятков тысяч градусов.
В равновесных плазмах обе температуры равны. Поскольку для осуществления процесса ионизации необходимы температуры, сравнимые с потенциалом ионизации, равновесные плазмы обычно являются горячими (с температурой больше нескольких тысяч градусов).
Понятие высокотемпературная плазма употребляется обычно для плазмы термоядерного синтеза, который требует температур в миллионы градусов.
Степень ионизации
Степень ионизации определяется как отношение числа ионизованных частиц к общему числу частиц. Для низкотемпературных плазм характерны малые степени ионизации (<1 %). Так как такие плазмы довольно часто употребляются в плазменных технологиях их иногда называют технологичными плазмами. Чаще всего их создают при помощи электрических полей, которые ускоряют электроны, которые в свою очередь ионизуют атомы. Электрические поля вводятся в газ посредством индуктивной или емкостной связи. Типичные применения низкотемпературных плазм включают плазменную модификацию свойств поверхности (алмазные пленки, нитридирование металлов, изменение смачиваемости), плазменное травление поверхностей (полупроводниковая промышленность), очистка газов и жидкостей (озонирование воды и сжигание частичек сажи в дизельных двигателях).
Горячие плазмы почти всегда полностью ионизованы (степень ионизации ~100 %). Обычно именно они понимаются под «четвертым агрегатным состоянием вещества». Примером может служить Солнце.
Плотность
Помимо температуры, которая имеет фундаментальную важность для самого существования плазмы, вторым наиболее важным свойством плазмы является плотность. Слово плотность плазмы обычно обозначает плотность электронов, то есть число свободных электронов в единице объема (строго говоря, здесь, плотностью называют концентрацию — не массу единицы объема, а число частиц в единице объема).
Квазинейтральность
Так как плазма является очень хорошим проводником, электрические свойства имеют важное значение. Потенциалом плазмы или потенциалом пространства называют среднее значение электрического потенциала в данной точке пространства. В случае если в плазму внесено какое-либо тело, его потенциал в общем случае будет меньше потенциала плазмы вследствие возникновения дебаевского слоя. Такой потенциал называют плавающим потенциалом. По причине хорошей электрической проводимости плазма стремится экранировать все электрические поля. Это приводит к явлению квазинейтральности — плотность отрицательных зарядов с хорошей точностью равна плотности положительных зарядов В силу хорошей электрической проводимости плазмы разделение положительных и отрицательных зарядов невозможно на расстояниях больших дебаевской длины и временах больших периода плазменных колебаний.
Примером неквазинейтральной плазмы является пучок электронов. Однако плотность не-нейтральных плазм должна быть очень мала, иначе они быстро распадутся за счет кулоновского отталкивания.
ВОПРОСЫ ДЛЯ САМОКОНТРОЛЯ
1.Сравните строение твердого вещества с жидким и газообразным.
2.Чем отличается аморфные вещества от кристаллических?
3.Дайте определение понятию «аллотропные модификации.
4..Дайте определение понятию «анизотропия»
5. Почему химические реакции с участием твердых веществ протекают с бóльшим трудом, чем с участием газов и жидкостей?
6.Объясните, почему алмаз имеет исключительно высокую твердость, а другая аллотропная разновидность углерода, графит, достаточно мягкое вещество?
7.Привести примеры кристаллов с различными видами химической связи.
8.Дайте характеристику агрегатного состояния-плазма.
Вопросы и задачи к зачету по теме.
Что называется идеальным газом? Каким законам подчиняется идеальный газ? Какой физический смысл имеет газовая постоянная? Как определяется относительная молекулярная масса газового вещества? Каковы отклонения реальных газов от законов идеального газа? Дайте общую характеристику жидкого состояния? Какова структура жидкости? Какие силы действуют в жидкости? Что такое поверхностное натяжение? Объясните его возникновение. Что такое вязкость и коэффициент вязкости жидкости? В каких единицах они выражаются? Какие виды твердых веществ вам известны? Дайте характеристику свойств твердого вещества. Чем различается строение вещества в твердом, жидком и газообразном состоянии? Виды кристаллических решеток и их характеристика. Характеристика агрегатного состояния-плазма и ее распространение в природе.Задачи к зачету
─ При нормальных условиях плотность оксида углерода (II) равна 1,25 г/л. Какому давлению надо подвергнуть газ, чтобы плотность его при 0 0С была равна 4 г/л?
─ В воздухонагревателях в доменном процессе воздух нагревается до 750 0С. Во сколько раз увеличивается объем воздуха при выходе из воздухонагревателя, если он поступает в него с начальной температурой 17 0С.
─ На сколько градусов надо нагреть газ, находящейся в замкнутом сосуде при 27 0С, чтобы давление его увеличилось вдвое?
─ При нормальных условиях плотность метана равна 0,7168 г/л. Какова будет плотность газа при -10 0С?
─ Смесь, состоящая из 1 объема метана и 4 объемов кислорода, находиться в замкнутом сосуде при 150 0С и давлении 1 · 105 Па. Как измениться давление после взрыва и приведении сосуда к первоначальной температуре?
─ Какой объем занимает хлор массой 5 кг при нормальных условиях?
─ При температуре 17 0С и давлении 2 · 105 Па объем газа равен 350 см3. Каков объем займет этот газ при температуре -130С и давлении 933,1 Па?
─ Какой объем занимает 1 моль азота при температуре 57 0С и давлении 3,03 ·105 Па?
─ Определите массу кислорода, находящегося в колбе вместительностью 2 л, при температуре 10 0С и давлении 93,31 кПа.
─ Определите объем занимаемый углекислым газом массой 2 кг при температуре 10 0С и давлении 1,5 · 105 Па.






, или
,
.
.
, то окончательно получаем
. 








