Динамика вращательного движения
![]()
![]()
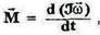
Основной закон динамики вращательного движения: ![]()

![]()
или M=Je , где М - момент силы M=[ r · F ] , J - момент инерции •-момент импульса тела.
-
если М(внешн)=0 - закон сохранения момента импульса.
- кинетическая энергия вращающегося тела.
работа при вращательном движении.
Теорема Штейнера. Момент инерции тела относительно произвольной оси J

где J0 - момент инерции этого тела относительно оси, проходящей через центр тяжести тела параллельно заданной оси,
d - расстояние между осями,
m - масса тела.
Задачи для самостоятельного решения
Два маленьких шарика массой m = 10 г каждый скреплены тонким невесомым стержнем длиной L = 20 см. Определить момент инерции J системы относительно оси, перпендикулярной стержню и проходящей через центр масс.
(J= 2-10-4 кг·м2)
Тонкий однородный стержень длиной L = 50 см и массой m = 400 г. вращается с угловым ускорением ε = 3 рад/с2, около оси, проходящей перпендикулярно стержню через его середину. Определить вращающий момент
( 0, 025 Н-м ).
Через блок, имеющий форму диска, перекинут шнур. К концам шнура привязали грузики массой m1 = 100 г и m2; = 110 г. С каким ускорением а будут двигаться грузики, если масса m блока равна 400 г? Трение при вращении блока ничтожно мало.(0,24м/с2)
Шар массой m=10кг и радиусом R=20см вращается вокруг оси, проходящей через его центр. Уравнение вращения шара имеет вид:
j = А + Bt2+Ct3, где В = 4 рад/с2. С = -1 рад/с3.
Найти закон изменения момента сил, действующих на шар. Определить момент сил М в момент времени t = 2 с. (- 0,64 Н м ).
Якорь мотора вращается с частотой n= 1500 мин-1. Определить вращающий момент М, если мотор развивает мощность N = 500 вт.
(3,18 Н×м).
Обруч и сплошной цилиндр, имеющие одинаковую массу m = 2кг, катятся без скольжения с одинаковой скоростью V = 5 м/с. Найти
кинетические энергии W1 и W2; этих тел.
(500ДЖ, 37,5 Дж).
Определить линейную скорость v центра шара. скатившегося без скольжения с наклонной плоскости высотой h=1 м.
(3,74 м/с).
Карандаш длиной l=15 см, поставленный вертикально, падает на стол. Какую угловую w и линейную скорость V будет иметь в конце падения середина карандаша? Считать, что трение настолько велико, что нижний конец карандаша не проскальзывает.
(14 Рад/с, 2,1 м/с).
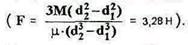
25°. Вращение от двигателя к ведущим колесам автомобиля передается через ряд устройств, одно из которых, называемое сцеплением, позволяет в случае надобности отключить двигатель от остальных устройств. Сцепление, в принципе, состоит из двух одинаковых фрикционных накладок, прижимаемых друг к другу сильными пружинами. В автомобиле "Жигули” фрикционные накладки имеют форму колец с внутренним диаметром d1 = 142 мм и наружным диаметром d2 =203 мм. Коэффициент трения прокладки по прокладке m = 0,35. Найти наименьшую силу F, с которой нужно прижимать накладки, чтобы передавать вращательный момент М=100Нм.
![]()
26*.
На шероховатой доске на расстоянии S от её левого конца находится сплошной цилиндр. Доску начинают двигать с ускорением a0 вправо. С какой скоростью относительно доски будет двигаться центр инерции цилиндра
в тот момент, когда он будет находиться над краем доски? Движение цилиндра относительно доски происходит без скольжения.
![]()



